/75
0 votes, 0 avg
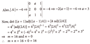
3

Your time starts now

Time out !!!


IIT-JEE 2026

LTL JEE MAIN FT-9

Greetings from LEARN TO LEAD ACADEMY !!!

The number of attempts remaining is 1

Greetings from LEARN TO LEAD ACADEMY !!! All the best !!!!

1 / 75

PHYSICS

  1. A cord of negligible mass is would around the rim of a wheel supported by spokes with negligible mass. The mass of wheel is 10 kg and radius is 10 cm and it can freely rotate without any friction. If a steady pull of 20 N is applied on the cord, the angular velocity of the wheel, after the cord is unwound by 1 m, would be

2 / 75

2. In an adiabatic process, which of the following statements is true ?

3 / 75

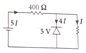
3. A zener diode with 5 V zener voltage is used to regulate an unregulated dc voltage input of 25 V. For a 400 Ω resistor connected in series, the zener current is found to be 4 times load current. The load current (I_L) and load resistance (R_L) are

4 / 75

4. A river is flowing from west to east direction with speed of 9 km h^-1. If a boat capable of moving at a maximum speed of 27 km h-¹ in still water, crosses the river in half a minute, while moving with maximum speed at an angle of 150° to direction of river flow, then the width of the river is

5 / 75

5. A light wave is propagating with plane wave fronts of the type x + y + z = constant. The angle made by the direction of wave propagation with the x-axis is

6 / 75

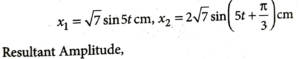
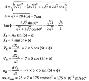
6. A particle is subjected to two simple harmonic motions as: x_1 = √7 sin 5t cm and x_2 = 2√7 sin (5t+π/3) cm where x is displacement and t is time in seconds. The maximum acceleration of the particle is x × 10-² ms-². The value of x is

7 / 75

7. A small bob of mass 100 mg and charge + 10 µC is connected to an insulating string to of length 1 m. It is brought near an infinitely long non-conducting sheet of charge density 'σ' as shown in figure. If string subtends an angle of 45° with the sheet at equilibrium the charge density of sheet will be (Given, ε_0 = 8.85 × 10-¹² F/m and acceleration due to gravity, g = 10 m/s²)

8 / 75

8. A square Lamina OABC of length 10 cm is pivoted at 'O'. Forces act at Lamina as shown in figure. If lamina remains stationary, then the magnitude of F is

9 / 75


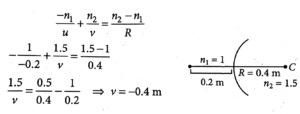
9. A spherical surface separates two media of refractive indices 1 and 1.5 as shown in figure. Distance of the image of an object 'O', is

(C is the center of curvature of the spherical surface and R is the radius of curvature)

10 / 75

10. Moment of inertia of a rod of mass 'M' and length 'L' about an axis passing through its center and normal to its length is 'α'. Now the rod is cut into two equal parts and these parts are joined symmetrically to form a cross shape. Moment of inertia of cross about an axis passing through its center and normal to plane containing cross is

11 / 75

11. A slanted object AB is placed on one side of convex lens as shown in the diagram. The image is formed on the opposite side. Angle made by the image with principal axis is

12 / 75

12. A monochromatic light is incident on a metallic plate having work function Φ. An electron, emitted normally to the plate from a point A with maximum kinetic energy, enters a constant magnetic field, perpendicular to the initial velocity of electron. The electron passes through a curve and hits back the plate at a point B. The distance between A and B is

(Given: The magnitude of charge of an electron is e and mass is m, h is Planck's constant and c is velocity of light. Take the magnetic field exists throughout the path of electron)

13 / 75

13. Considering Bohr's atomic model for hydrogen atom:

(A) the energy of H atom in ground state is same as energy of He^+ ion in its first excited state

(B) the energy of H atom in ground state is same as that for Li^++ ion in its second excited state.

(C) the energy of H atom in its ground state is same as that of He^+ ion for its ground state.

(D) the energy of He^+ ion in its first excited state is same as that for Li^++ ion in its ground state.

Choose the correct answer from the options given below.

 

14 / 75

14.  A point charge +q is placed at the origin. A second point charge + 9q is placed at (d, 0, 0) in Cartesian coordinate system. The point in between them where the electric field vanishes is

15 / 75

15. The equation for real gas is given by (P + a/V²) (V-b) = RT, where P, V, T and R are the pressure, volume, temperature and gas constant, respectively. The dimension of ab-² is equivalent to that of

16 / 75

16. Match List - I with List - II.

List - I List -II
(A) Coefficient of viscosity [MLº T-³]
(B) Intensity of wave  

[ML-² T-²]

(C) Pressure gradient [M-¹LT²]
(D) Compressibility [ML-¹T-¹]

Choose the correct answer from the options given below.

17 / 75

17. Let B₁ be the magnitude of magnetic field at center of a circular coil of radius R carrying current I. Let B₂ be the magnitude of magnetic field at an axial distance 'x' from the center. For x : R = 3:4, B_2/B_1 is

18 / 75

18. Consider two infinitely large plane parallel conducting plates as shown below. The plates are uniformly charged with a surface charge density +σ and -2σ. The force experienced by a point charge +q placed at the mid point between two plates will be

19 / 75

19.  The relationship between the magnetic susceptibility (χ) and the magnetic permeability (μ) is given by: (μ_0) is the permeability of free space and μ_r is relative permeability)

20 / 75

20. The battery of a mobile phone is rated as 4.2 V, 5800 mAh. How much energy is stored in it when fully charged ?

21 / 75

21. ϒ_A is the specific heat ratio of monoatomic gas A having 3 translational degrees of freedom.ϒ_B is the specific heat ratio of polyatomic gas B having 3 translational, 3 rotational degrees of freedom and 1 vibrational mode. If  ϒ_A/ϒ_B = (1 + 1/n), then the value of n is __________.

22 / 75

22. If the measured angular separation between the second minimum to the left of the central maximum and the third minimum to the right of the central maximum is 30° in a single slit diffraction pattern recorded using 628 nm light, then the width of the slit is _________μm.

23 / 75

23. A person travelling on a straight line moves with a uniform velocity v_₁ for a distance x and with a uniform velocity v_₂ for the next 3/2x distance. The average velocity in this motion is 50/7 m/s. If v_₁ is 5 m/s then v2 = ____________m/s.

24 / 75

24. A vessel with square cross-section and height of 6 m is vertically partitioned. A small window of 100 cm² with hinged door is fitted at a depth of 3 m in the partition wall. One part of the vessel is filled completely with water and the other side is filled with the liquid having density 1.5 × 103 kg/m³. What force one needs to apply on the hinged door so that it does not get opened? (Acceleration due to gravity = 10 m/s²)

25 / 75

25. A steel wire of length 2 m and Young's modulus 2.0 x 10¹¹ N m² is stretched by a force. If Poisson ratio and transverse strain for the wire are 0.2 and 10-3 respectively, then the elastic potential energy density of the wire is ___________×105 (in SI units).

26 / 75

1.Given below are two statements :

Statement I: In octahedral complexes, when Δ_0< P high spin complexes are formed. When Δ_0 > P low spin complexes are formed.

Statement II: In tetrahedral complexes because of Δ_t < P, low spin complexes are rarely formed. In the light of the above statements, choose the most appropriate answer from the options given below.  

27 / 75

2. Given below are two statements

Statement I: The metallic radius of Al is less than that of Ga.

Statement II: The ionic radius of Al^3+ is less than that of Ga^3+ In the light of the above statements,

choose the most appropriate answer from the options given below.

28 / 75

3. Designate whether each of the following compounds is aromatic or not aromatic.

29 / 75

4. Consider the following molecules

 

The correct order of rate of hydrolysis is

30 / 75

5. Choose the correct tests with respective observations.

(A) CuSO_4 (acidified with acetic acid) + K4[Fe(CN)_6] → Chocolate brown precipitate

(B) FeCl3 + K4[Fe(CN)_6]→ Prussian blue precipitate

(C) ZnCl2 + K4[Fe(CN)_6], neutralized with NH4OH → White or bluish white precipitate

(D) MgCl2 + K4[Fe(CN)_6] → Blue precipitate

(E) BaCl2 + K4[Fe(CN)_6], neutralized with NaOH → White precipitate

Choose the correct answer from the options given below.

31 / 75

6. Consider the following compound (X):

The most stable and least stable carbon radicals, respectively produced by homolytic cleavage of corresponding C-H bond are

32 / 75

7. An optically active alkyl halide C_4H_9Br[A] reacts with hot KOH dissolved in ethanol and forms alkene [B] as major product which reacts with bromine to give dibromide [C]. The compound [C] is converted into a gas [D] upon reacting with alcoholic NaNH_2. During hydration 18 gram of water is added to 1 mole of gas [D] on warming with mercuric sulphate and dilute acid at 333 K to form compound [E]. The IUPAC name of compound [E] is

33 / 75

8. Two vessels A and B are connected via stopcock. The vessel A is filled with a gas at a certain pressure. The entire assembly is immersed in water and is allowed to come to thermal equilibrium with water. After opening the stopcock the gas from vessel A expands into vessel B and no change in temperature is observed in the thermometer. Which of the following statement is true?

34 / 75

9. Identity the correct statement among the following.

35 / 75

10. CaCO_3(s) + 2HCl_(aq) → CaCl_2(aq) + CO_2(g) + H₂O_(l) Consider the above reaction, what mass of CaCl₂ will be formed if 250 mL of 0.76 M HCl reacts with 1000 g of CaCO3?

(Given: Molar mass of Ca, C, O, H and Cl are 40, 12, 16, 1 and 35.5 g mol^-1, respectively)

36 / 75

11. The property/properties that show irregularity in first four elements of group -17 is/are:

(A) Covalent radius

(B) Electron affinity

(C) Ionic radius

(D) First ionization energy

Choose the correct answer from the options given below.

37 / 75

12. A solution is made by mixing one mole of volatile liquid A with 3 moles of volatile liquid B. The vapour pressure of pure A is 200 mm Hg and that of the solution is 500 mm Hg. The vapour pressure of pure B and the least voltaile component of the solution, respectively, are

38 / 75

13. The correct order of basic nature in aqueous solution for the bases. NH3, H2N-NH2, CH3CH2NH2, (CH3CH2)2NH and (CH3CH2)N is

39 / 75

14. A molecule with the formula AX_4 Y has all it's elements from p-block. Element A is rarest, monoatomic, non- radioactive from its group and has the lowest ionization enthalpy value among A, X and Y. Elements X and Y have first and second highest electronegativity values respectively among all the known elements. The shape of the molecule is

40 / 75

15. On complete combustion 1.0 g of an organic compound (X) gave 1.46 g of CO2 and 0.567 g of H2O. The empirical formula mass of compound (X) is ___________g (Given molar mass in g mol^-1 C: 12, H: 1, O: 16)

41 / 75

16. If equal volumes of AB₂ and XY (both are salts) aqueous solutions are mixed, which of the following combination will give a precipitate of AY2 at 300 K? (Given: K_sp (at 300 K) for AY₂ = 5.2 x 10^-7)

42 / 75

17. Given below are two statement:

 

In the light of the above statements, choose the most appropriate answer from the options given below:

43 / 75

18. Which of the following graph correctly represents the plots of K_H at 1 bar for gases in water versus temperature?

44 / 75

19. Among SO2, NF3, NH3, XeF2, CIF_3 and SF4, the hybridisation of the molecule with non-zero dipole moment and highest number of lone-pairs of electrons on the central atom is

45 / 75

20. According to Bohr's model of hydrogen atom, which of the following statement is incorrect?

46 / 75

21. A transition metal (M) among Mn, Cr, Co and Fe has the highest standard electrode potential (M^3+/M^2+). It forms a metal complex of the type [M(CN)_6]^4-. The number of electrons present in the e_g orbital of the complex is _________________

47 / 75

22. Consider the following electrochemical cell at standard condition

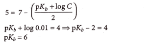
The pK_b  value of the ammonium halide salt (NH_4X) used here is ___________ (nearest integer)

48 / 75

23. For the reaction A→ products,

The concentration of A at 10 minutes is______________× 10^-3 mol L-¹ (nearest integer). The reaction was started with 2.5 mol L^-¹ of A.

49 / 75

24. Consider the following equilibrium.

0.1 mol of CO along with a catalyst is present in a 2 dm³ flask maintained at 500 K. Hydrogen is introduced into the flask until the pressure is 5 bar and 0.04 mol of CH3OH is formed. The K^°_p is______ ×10^-3

Given: R = 0.08 dm³ bar K^-¹ mol^-1

Assume only methanol is formed as the product and the system follows ideal gas behaviour.

50 / 75

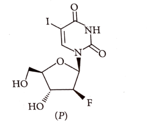
25. 0.1 mol of the following given antiviral compound (P) will weigh __________× 10^-1 g

(Given: molar mass in g mol^-1 H: 1. C :12, N :14, O: 16, F: 19, I: 127)

51 / 75

MATHEMATICS

52 / 75

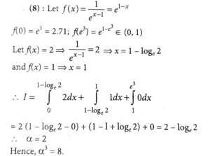
2.

53 / 75

3.

54 / 75

4. Let the vertices Q and R of the triangle PQR lie on the line x+3/5 = y-1/2 = z+4/3 , QR = 5 and the coordinates of the point P be (0, 2, 3). If the area of the triangle PQR is m/n then:

55 / 75

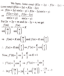
5. Let f: R → R be a twice differentiable function such that (sin x cos y)(f(2x + 2y) - f(2x-2y)) = (cos x sin y) (f(2x+2y)+f(2x - 2y)), for all x, y ∈ R. If f'(0) = 1/2, then the value of 24 f" ( 5π/3)' is:

56 / 75

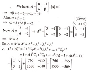
6.

57 / 75

7. If the system of linear equations

3x + y + βz = 3

2x + αy - z=-3

x+2y+z=4

has infinitely many solutions, then the value of 22β - 9α is:

58 / 75

8. The number of sequences of ten terms, whose terms are either 0 or 1 or 2, that contain exactly five 1s and exactly three 2s, is equal to:

59 / 75

9.

60 / 75

10. Let the focal chord PQ of the parabola y² = 4x make an angle of 60° with the positive x-axis, where P lies in the first quadrant. If the circle, whose one diameter is PS, S being the focus of the parabola, touches the y-axis at the point (0, α), then 5α² is equal to:

61 / 75

11.  The largest n∈ N such that 3^n divides 50! is:

62 / 75

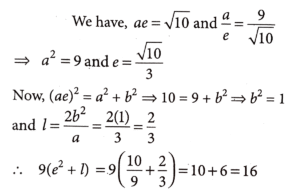
12. Let one focus of the hyperbola H: x^2/a^2 - y^2/b^2 = 1 be at (√10,0) and the corresponding directrix be x = 9 /√10. If e and l respectively are the eccentricity and the length of the latus rectum of H, then 9(e² + l) is equal to:

63 / 75

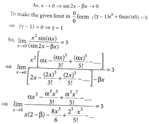
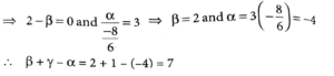
13. For α, β, γ ∈ R, if lim_x→0  x² sinαx+(γ-1)e^x²/ sin 2x -βx = 3, then  β + γ- α is equal to

64 / 75

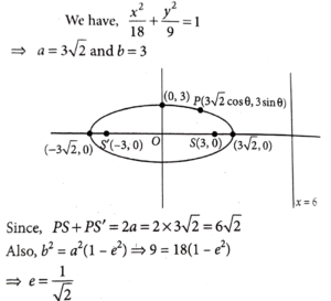
14. If S and S' are the foci of the ellipse x²/18 + y²/9 =1 and P be a point on the ellipse, then min(SP.S'P) + max(SP.S'P) is equal to:

65 / 75

15. Let A be the set of all functions f: Z → Z and R be a relation on A such that R = {(f, g) : f(0) = g(1) and f(1) = g(0)}. Then R is:

66 / 75

16.

67 / 75

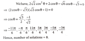
17. If θ∈ [-2π, 2π], then the number of solutions of 2√2 cos² θ + (2-√6) cosθ - √3= 0, is equal to :

68 / 75

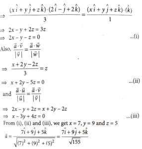
18. Let ABCD be a tetrahedron such that the edges AB, AC and AD are mutually perpendicular. Let the areas of the triangles ABC, ACD and ADB be, 5, 6 and 7 square units respectively. Then the area (in square units) of the ΔBCD is equal to:

69 / 75

19. If the function f(x) = 2x³ - 9ax² + 12a²x + 1, where a > 0, attains its local maximum and local minimum values at p and q, respectively, such that p² = q, then f(3) is equal to:

70 / 75

20.Let P_n = α^n + β^n, n ∈ N. If P_10 = 123, P_9 = 76, P_8 = 47 and P_₁ = 1, then the quadratic equation having roots 1/α and 1/β is:

71 / 75

21. 

 

72 / 75

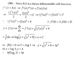
22.  Let f: R→R be a thrice differentiable odd function satisfying f'(x) ≥ 0, f''(x) = f(x), f'(0) = 0, f'(0) = 3. Then 9f(log_e 3) is equal to________.

73 / 75

23.

74 / 75

24. The absolute difference between the squares of the radii of the two circles passing through the point (-9, 4) and touching the lines x + y = 3 and x - y = 3, is equal to _____________

75 / 75

25.  Three distinct numbers are selected randomly from the set {1, 2, 3,..., 40). If the probability, that the selected numbers are in an increasing G.P., is m/n, gcd(m, n) = 1, then m + n is ____________.

Your score is

The average score is 16%