/75
0 votes, 0 avg
2

Your time starts now

Time out !!!


IIT-JEE 2026

LTL JEE MAIN FT-8

Greetings from LEARN TO LEAD ACADEMY !!!!

The number of attempts remaining is 1

Greetings from LEARN TO LEAD ACADEMY !!! All the best !!!!!

1 / 75

PHYSICS

  1. The  pressure of a gas changes linearly with volume from A to B as shown in figure. If no heat is supplied to or extracted from the gas then change in the internal energy of the gas will be

2 / 75

2. The correct relation between γ = C_p/C_v and temperature T is

3 / 75

3. A free neutron decays into a proton but a free proton does not decay into neutron. This is because

4 / 75

4. The drift velocity of electrons for a conductor connected in an electrical circuit is V_d. The conductor is now replaced by another conductor with same material and same length but double the area of cross section. The applied voltage remains same. The new drift velocity of electrons will be

5 / 75

5. Which of the following correctly represents the variation of electric potential (V) of a charged spherical conductor of radius (R) with radial distance (r) from the center?

6 / 75

6. Spherical insulating ball and a spherical metallic ball of same size and mass are dropped from the same height. Choose the correct statement out of the following (Assume negligible air friction)

7 / 75

7. If R, X_L and X_C represent resistance, inductive reactance and capacitive reactance. Then which of the following is dimensionless?

8 / 75

8. The amplitude of 15 sin (1000πt) is modulated by 10 sin (4πt) signal. The amplitude modulated signal contains frequency (ies) of

A. 500 Hz

B. 2 Hz

C. 250 Hz

D. 498 Hz

E. 502 Hz

Choose the correct answer from the options i-given below:

9 / 75

9. A bar magnet with a magnetic moment 5.0 Am² is placed in parallel position relative to a magnetic field of 0.4T. The amount of required work done in turning the magnet from parallel to antiparallel position relative to the field direction is

10 / 75

10. If a source of electromagnetic radiation having power 15 kW produces 10^16 photons per second, the radiation belongs to a part of spectrum is

(Take Plank constant h = 6×10^-34 Js)

11 / 75

11. The maximum potential energy of a block executing simple harmonic motion is 25 J. A is amplitude of oscillation. At A/2, the kinetic energy of the block is

12 / 75

12. As shown in figure, a 70 kg garden roller is pushed with a force of F^→ = 200N at an angle of 30° with horizontal. The normal reaction on the roller is (Given g = 10 ms-²)

13 / 75

13. The initial speed of a projectile fired from ground is u. At the highest point during its motion, the speed of projectile is √3/2 u. The time of flight of the projectile is

14 / 75

14. The effect of increase in temperature on the number of electrons in conduction band (n_e) and resistance of semiconductor will be as

15 / 75

15. In the figure given below, a block of mass M =490 g placed on a frictionless table is connected with two springs having same spring constant (K = 2 N m-¹). If the block is horizontally displaced through 'X' m then the number of complete oscillations it will make in 14 π seconds will be _____.

16 / 75

16. A solid sphere of mass 1 kg rolls without slipping on a plane surface. Its kinetic energy is 7 × 10-³ J. The speed of the centre of mass of the sphere is ________cm s-¹

17 / 75

17. Expression for an electric field is given by E^→ =4000 x² i V/m. The electric flux through the cube of side 20 cm when placed in electric field (as shown in the figure) is ________V cm.

18 / 75

18. In a medium the speed of light wave decreases to 0.2 times to its speed in free space. The ratio of relative permittivity tot the refractive index of the medium is x:1. The value of x is ________.

(Given speed of light in free space = 3 × 10^8 ms^-1 and for given medium μ_r =1).

19 / 75

19. The speed of a swimmer is 4 km h^-1 in still water. If the swimmer makes his strokes normal to the flow of river of width 1 km, he reaches a point 750 m down the stream on the opposite bank. The speed of the river water is ___________km h^-1.

20 / 75

20. A lift of mass M =500 kg is descending with speed of 2 ms^-1. Its supporting cable begins to slip thus allowing it to fall with a constant acceleration of 2 ms^-2. The kinetic energy of the lift at the fall through to a distance of 6m will be ______kJ.

21 / 75

21. For hydrogen atom, λ_1 and λ_2 are the wavelengths corresponding to the transitions 1 and 2 respectively as shown in figure, the ratio of λ_1 and λ_2 is x/32. The value of x is______.

22 / 75

22. An inductor of 0.5 mH, a capacitor of 20 μF and resistance of 20 Ω are connected in series with a 220 V ac source. If the current is in phase with the emf, the amplitude of current of the circuit is √x A. The value of x is ______.

23 / 75

23. A thin rod having a length of 1 m and area of cross-section 3 x 10^-6 m² is suspended vertically from one end. The rod is cooled from 210°C to 160°C. After cooling, a mass M is attached at the lower end of the rod such that the length of rod again becomes 1 m. Young's modulus and coefficient of linear expansion of the rod are 2 x 10¹¹ N m-² and 2 x 10^-5 K^-1, respectively. The value of M is __________kg (Take g = 10 ms-²).

24 / 75

24. Two identical cells, when connected either in parallel or in series gives same current in an external resistance 5 Ω. The internal resistance of each cell will be ________Ω.

25 / 75

25. Match list I with List II.

List I List II
(A)   Angular momentum (I)      [ML² T-²]
(B)   Torque (II)     [ML-² T-²]
(C)   Stress (III)    [ML² T-¹]
(D)   Pressure gradient (IV)    [ML-¹ T-²]

Choose the correct answer from the options given below:

26 / 75

CHEMISTRY

  1. Concentrated nitric acid labelled as 75%  by mass. The volume in mL of the solution which contains 30 g of nitric acid is ____________.  (Given: Density of nitric acid solution is 1.25 g/mL .)

27 / 75

2. For bacterial growth in a cell culture, growth law is very similar to the law of radioactive decay. Which of the following graphs is most suitable to represent bacterial colony growth?

Where N - Number of Bacteria at any time, N_0 - Initial number of Bacteria.

28 / 75

3. Given below are two statements:

Statement (I): According to the Law of Octaves, the elements were arranged in the increasing order of their atomic number.

Statement (II): Meyer observed a periodically repeated pattern upon plotting physical properties of certain elements against their respective atomic numbers.

In the light of the above statements, choose the correct answer from the given below:

29 / 75

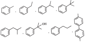
4. The total number of compounds from below when treated with hot KMnO_4 giving benzoic acid is:

30 / 75

5. Match List I with List II.

List I (Saccharides) List II (Glycosidic-linkages found)
(A)   Sucrose (I)  α 1 - 4
(B)   Maltose (II) α 1 - 4  and α 1 - 6
(C)   Lactose (III) α 1 - β 2
(D)   Amylopectin (IV) β 1 - 4

Choose the correct answer from the options given below:

31 / 75

6. Identify correct statements:

(A) Primary amines do not give diazonium salts when treated with NaNO2 in acidic condition.

(B) Aliphatic and aromatic primary amines on heating with CHCl3 and ethanolic KOH form carbylamines.

(C) Secondary and tertiary amines also give carbylamine test.

(D) Benzenesulfonyl chloride is known as Hinsberg's reagent.

(E) Tertiary amines reacts with benzenesulfonyl chloride very easily.

Choose the correct answer from the options given below:

32 / 75

7. Identify correct conversion during acidic hydrolysis from the following:

(A) starch gives galactose.

(B) cane sugar gives equal amount of glucose and fructose.

(C) milk sugar gives glucose and galactose.

(D) amylopectin gives glucose and fructose.

(E) amylose gives only glucose.

Choose the correct answer from the options given below:

33 / 75

8. Consider an elementary reaction:

A (g) +B (g)  →  C (g) +D (g)

If the volume of reaction mixture is suddenly reduced to 1/3 of its initial volume, the reaction rate will become 'x' times of the original reaction rate. The value of x is

34 / 75

9.

35 / 75

10.

Choose the correct answer from the options given below:

36 / 75

11.

37 / 75

12. Identify the inorganic sulphides that are yellow in colour:

(A) (NH_4)_2 S

(B) PbS

(C) CuS

(D) As_2 S_3

(E) As_2 S_5

Choose the correct answer from the options given below:

38 / 75

13.

39 / 75

14.

40 / 75

15.

41 / 75

16. Arrange the following in increasing order of solubility product:

Ca(OH)_2, AgBr, PbS, HgS

42 / 75

17. Which of the following is/are not correct with respect to energy of atomic orbitals of hydrogen atom?

(A) 1s < 2p <3d < 4s (B) 1s < 2s = 2p <3s = 3p (C) 1s < 2s < 2p < 3s < 3p (D) 1s < 2s < 4s < 3d Choose the correct answer from the options given below:

43 / 75

18. The amphoteric oxide among V_2 O_3, V_2 O_4 and V_2 O_5, upon reaction with alkali leads to formation of an oxide anion. The oxidation state of V in the oxide anion is

44 / 75

19. Assume a living cell with 0.9% (w/w) of glucose solution (aqueous). This cell is immersed in another solution having equal mole fraction of glucose and water.

(Consider the data up to first decimal place only)

The cell will :

45 / 75

20.

46 / 75

21. A group 15 element forms dπ – dπ bond with transition metals. It also forms hydride, which is a strongest base among the hydrides of other group members that form dπ– dπ bond. The atomic number of the element is_______.

47 / 75

22. Consider the following data:

Heat of formation of CO_2(g) = -393.5 kJ mol-¹

Heat of formation of H_2 O(l) = -286.0 kJ mol-¹

Heat of combustion of benzene = -3267.0 kJ mol-¹

The heat of formation of benzene is__________ kJ mol-¹.(Nearest integer)

48 / 75

23. The spin only magnetic moment (μ) value (B.M.) of the compound with strongest oxidizing power among Mn_2 O_3, TiO and VO is ___________B.M. (Nearest integer).

49 / 75

24. Electrolysis of 600 mL aqueous solution of NaCl for 5 min changes the pH of the solution to 12. The current in Amperes used for the given electrolysis is _________. (Nearest integer).

50 / 75

25.

51 / 75

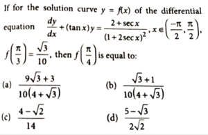
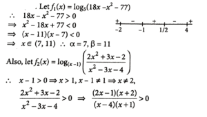
MATHS

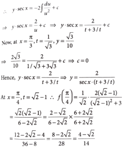
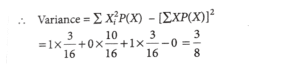
  1. Let A = [a_ij] be a 2×2 matrix such that a_ij ∈ {0,1} for all i and j. Let the random variable X denote the possible values of the determinant of the matrix A. Then, the variance of X is:

52 / 75

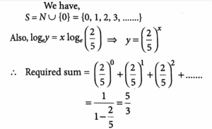
2.

53 / 75

3. Let a circle C pass through the points (4, 2) and (0, 2), and its centre lie on 3x + 2y + 2 = 0. Then the length of the chord, of the circle C, whose mid-point is (1, 2), is :

54 / 75

4. The remainder, when 7^103 is divided by 23, is equal to:

55 / 75

5.

56 / 75

6. Bag 1 contains 4 white balls and 5 black balls, and Bag 2 contains n white balls and 3 black balls. One ball is drawn randomly from Bag 1 and transferred to Bag 2. A ball is then drawn randomly from Bag 2. If the probability, that the ball drawn is white, is 29/45, then n is equal to :

57 / 75

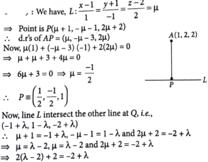
7.

58 / 75

8. Let the area enclosed between the curves |y| = 1 - x² and x² + y² = 1 be α. If 9α = βπ + γ; β, γ are integers, then the value of |β – γ| equals

59 / 75

9.

60 / 75

10. Let the function f(x) = (x² - 1)|x² - ax + 2| + cos|x| be not differentiable at the two points x = α = 2 and x =β. Then the distance of the point (α, β) from the line 12x + 5y + 10 = 0 is equal to :

61 / 75

11.

62 / 75

12. If all the words with or without meaning made using all the letters of the word "KANPUR" are arranged as in a dictionary, then the word at 440th position in this arrangement, is :

63 / 75

13. If αx + βy = 109 is the equation of the chord of the ellipse  x²/9 + y²/4 = 1, whose mid point is (5/2, 1/2), then  α + β is equal to :

64 / 75

14. Let the line x + y = 1 meet the axes of x and y at A and B, respectively. A right angled triangle AMN is inscribed in the triangle OAB, where O is the origin and the points M and N lie on the lines OB and AB, respectively. If the area of the triangle AMN is 4/9 of the area of the triangle OAB and AN : NB =λ : 1 then the sum of all possible value(s) of λ is :

65 / 75

15. Let A=[a_ij ] be a matrix of order 3×3 with a_ij =(√ 2)^i+j. If the sum of all the elements in the third row of A² is α + β √2, α,β ∈ Z, then α + β is equal to :

66 / 75

16.

67 / 75

17.

68 / 75

18.

69 / 75

19.

70 / 75

20.

71 / 75

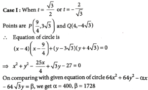
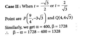
21. Let y² = 12x be the parabola and S be its focus. Let PQ be a focal chord of the parabola such that (SP) (SQ) = 147 /4.  Let C be the circle described taking PQ as a diameter. If the equation of a circle C is 64x²+ 64y²- αx -64 √3y = β, then β – α is equal to

72 / 75

22.

73 / 75

23.

74 / 75

24.

75 / 75

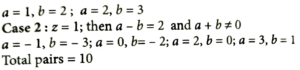
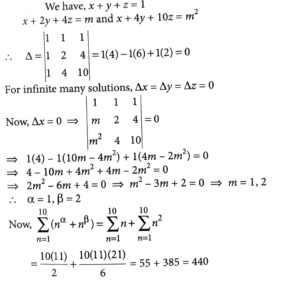
25. Let a_1, a_2, ..., a_2024 be an Arithmetic Progression such that a_₁ + (a_5 + a_10 + a_15 + ... + a_2020) + a_2024 = 2233. Then a_1 + a_2 + a_3 + ... + a_2024 is equal to __________.

Your score is

The average score is 38%