/75
0 votes, 0 avg
2

Your time starts now

Time out !!!!


IIT-JEE 2026

LTL JEE MAIN 2026 FT6

Greetings from LEARN TO LEAD ACADEMY !!!!!

The number of attempts remaining is 1

Greetings from LEARN TO LEAD ACADEMY !!! All the best !!!!!

1 / 75

PHYSICS :

  1. Two isolated metallic solid spheres of radii R and 2R are charged such that both have same charge density σ. The spheres are then connected by a thin conducting wire. If the new charge density of the bigger sphere is σ′.The ratio σ′/σ is

2 / 75

2. In a series LR circuit with XL = R, power factor is P₁. If a capacitor of capacitance C with XC = XL is added to the circuit the power factor becomes P2. The ratio of P₁ to P2 will be

3 / 75

3.

 

Choose the correct answer from the options given below.

4 / 75

4. The height of liquid column raised in a capillary tube of certain radius when dipped in liquid A vertically is, 5 cm. If the tube is dipped in a similar manner in another liquid B of surface tension and density double the values of liquid A, the height of liquid column raised in liquid B would be ____________________m.

5 / 75

5.  The magnetic moments associated with two closely wound circular coils A and B of radius rA = 10 cm and rB = 20 cm respectively are equal if (Where NA, IA and NB, IB are number of turn and current of A and B respectively)

6 / 75

6. Heat is given to an ideal gas in an isothermal process.

A. Internal energy of the gas will decrease.

B. Internal energy of the gas will increase.

C. Internal energy of the gas will not change.

D. The gas will do positive work.

E. The gas will do negative work.

Choose the correct answer from the options given below.

7 / 75

7.  A ball of mass 200 g rests on a vertical post of height 20 m. A bullet of mass 10 g, travelling in horizontal direction, hits the centre of the ball.  After collision both travels independently. The ball hits the ground at a distance 30 m and the bullet at a distance of 120 m from the foot of the post. The value of initial velocity of the bullet will be (if g = 10 m/s²)

8 / 75

8. As per the given figure, a small ball P slides down the quadrant of a circle and hits the other ball Q of equal mass which is initially at rest. Neglecting the effect of friction and assume the collision to be elastic, the velocity of ball Q after collision will be (g = 10 m/s²)

9 / 75

9. Electric field in a certain region is given by E^→ = ( (A/x²) iˆ + (B/y³) jˆ) . The SI unit of A and B are

10 / 75

10. If the gravitational field in the space is given as (-K/r²). Taking the reference point to be at r = 2 cm with gravitational potential V = 10 J/kg. Find the gravitational potential at r = 3 cm in SI unit (Given, that K = 6 J cm/kg)

11 / 75

11. In a screw gauge, there are 100 divisions on the circular scale and the main scale moves by 0.5 mm on a complete rotation of the circular scale. The zero of circular scale lies 6 divisions below the line of graduation when two studs are brought in contact with each other. When a wire is placed between the studs, 4 linear scale divisions are clearly visible while 46th division of the circular scale coincide with the reference line. The diameter of the wire is _______________ × 10-2

12 / 75

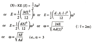
12. A thin uniform of length 2 m, cross sectional area ‘A’ and density ‘d’ is rotated about an axis passing through the centre and perpendicular to its length with angular velocity ω. If value of ω in terms of its rotational kinetic energy E is √αE / Ad  then value of α is ______________________.

13 / 75

13. A horse rider covers half the distance with 5 m/s speed. The remaining part of the distance was travelled with speed 10 m/s for half the time and with speed 15 m/s for other half of the time. The mean speed of the rider averaged over the whole time of motion is x/7 m/s. The value of x is ________.

14 / 75

14. The general displacement of a simple harmonic oscillator is x = A sin ωt. Let T be its time period. The slope of its fits potential energy (U) – time (t) curve will be maximum when t = T/β. The value of β is ___________________

15 / 75

15. A capacitor of capacitance 900 µF is charged by a 100 V battery. The capacitor is disconnected from the battery and connected to another uncharged identical capacitor such that one plate of uncharged capacitor connected to positive plate and another plate of uncharged capacitor connected to negative plate of the charged capacitor. The loss of energy in this process is measured as x × 102 The value of x is ___________.

16 / 75

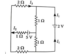
16. In the following circuit, the magnitude of current I1, is ________________.

17 / 75

17. Match List I with List II.

List I  List II
A. Torque I. kg ms-1 s2
B. Energy density II. kg m s1
C. Pressure gradient III.  kg m2 s2
D. Impulse IV. kg m² s2

Choose the correct answer from the options given below.

18 / 75

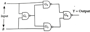
18. The output Y for the inputs A and B of circuit is given by

19 / 75

19. As shown in the figure, a point charge Q is placed at the centre of conducting spherical shell of inner radius a and outer radius b. The electric field due to charge Q in three different regions I, II and III is given by (I : r < a, II : a < r < b, III: r > b)

20 / 75

20. An object is allowed to fall from a height R above the earth, where R is the radius of earth. Its velocity when it strikes the earth’s surface, ignoring air resistance, will be

21 / 75

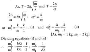
21. For a simple harmonic motion in a mass spring system shown, the surface is frictionless. When the mass of the block is 1 kg, the angular frequency is ω₁. When the mass block is 2 kg the angular frequency is ω2. The ratio ω21 is

22 / 75

22. A force is applied to a steel wire ‘A, rigidly clamped at one end. As a result elongation in the wire is 0.2 mm. If same force is applied to another steel wire ‘B’ of double the length and a diameter 2.4 times that of the wire ‘A’, the elongation in the wire ‘B’ will be (wires having uniform circular cross sections)

23 / 75

23. A machine gun of mass 10 kg fires 20 g bullets at the rate of 180 bullets per minute with a speed of 100 m s1 each. The recoil velocity of the gun is

24 / 75

24. A flask contains hydrogen and oxygen in the ratio of 2: 1 by mass at temperature 27°C. The ratio of average kinetic energy per molecule of hydrogen and oxygen respectively is

25 / 75

25. As shown in the figure, a current of 2 A flowing in an equilateral triangle of side 4√3 cm. The magnetic field at the centroid O of the triangle is

(Neglect the effect of earth’s magnetic field)

26 / 75

CHEMISTRY:

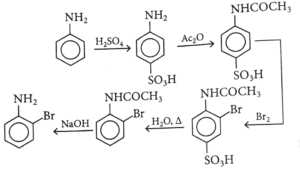
  1. In the given structure, number of sp and sp² hybridized carbon atoms present respectively are

27 / 75

2.Match List I with List II

Choose the correct answer from the options given below :

28 / 75

3. Identify correct statement/s :

(A) -OCH_3 and -NHCOCH_3 are activating group.

(B) -CN and -OH are meta directing group.

(C) -CN and -SO_3 H are meta directing group.

(D) Activating groups act as ortho- and para-directing groups.

(E) Halides are activating groups.

Choose the correct answer from the options given below:

29 / 75

4. Which of the following mixing of 1 M base and 1 M acid leads to the largest increase in temperature?

 

30 / 75

5. Match List I with List II

Choose the correct answer from the options given below :

31 / 75

6.

32 / 75

7. Match List-I with List-II.

List-I (Transition metal ion) List-II (Spin only magnetic moment (B.M.))
(A)   Ti³+ I.                 3.87
(B)   V2+ II.               0.00
(C)   Ni2+ III.             1.73
(D)   Sc3+ IV.             2.84

Choose the correct answer from the options given below:

33 / 75

8. When ethane-1, 2-diamine is added progressively to an aqueous solution of Nickel(II) chloride, the sequence of colour change observed will be

34 / 75

9. For hydrogen atom, the orbital/s with lowest energy is/are:

(A) 4s

(B) 3p_x

(C) 3d_x²-y²

(D) 3d_z²

(E) 4p_z

Choose the correct answer from the options given below:

35 / 75

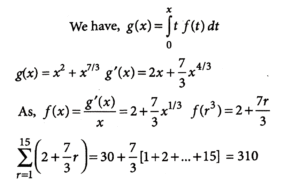
10.

36 / 75

11. Based on the data given below :

 

37 / 75

12. Given below are two statements:

Statement (I): The first ionization energy of Pb is greater than that of Sn.

Statement (II): The first ionization energy of Ge is greater than that of Si.

In the light of the above statements, choose the correct answer from the options given below :

 

38 / 75

13. The conditions and consequence that favours the t³_2g  e¹_g configuration in a metal complex are

39 / 75

14. The structure of the major product formed in the following reaction is

40 / 75

15.

41 / 75

16. The successive 5 ionization energies of an element are 800, 2427, 3658, 25024 and 32824 kJ/mol, respectively. By using the above values predict the group in which the above element is present.

42 / 75

17.

43 / 75

18.

44 / 75

19. The elemental composition of a compound is 54.2% C, 9.2% H and 36.6% O.

If the molar mass of the compound is 132 g mol-¹, the molecular formula of the compound is [Given: The relative atomic mass of C: H : O = 12:1:16]

45 / 75

20. Given below are two statements :

Statement (I): Experimentally determined oxygen-oxygen bond lengths in the O_3 are found to be same and the bond length is greater than that of a O=O (double bond) but less than that of a single (O-O) bond.

Statement (II): The strong lone pair-lone pair repulsion between oxygen atoms is solely responsible for the fact that the bond length in ozone is smaller than that of a double bond (O=O) but more than that of a single bond (O-O).

In the light of the above statements, choose the correct answer from the options given below :

46 / 75

21. Consider a complex reaction taking place in three steps with rate constants k_₁, k_2 and k_3 respectively. The overall rate constant k is given by the expression k = √k_1 k_3/k_2. If the activation energies of the three steps are 60, 30 and 10 kJ mol-¹ respectively, then the overall energy of activation in kJ mol-¹ is ________(Nearest integer)

47 / 75

22. In Carius method of estimation of halogen, 0.25 g of an organic compound gave 0.15 g of silver bromide (AgBr). The percentage of bromine in the organic compound is ________× 10^-1 % (Nearest integer).

(Given : Molar mass of Ag is 108 and Br is 80 g mol-¹)

48 / 75

23. The possible number of stereoisomers for 5-phenylpent-4-en-2-ol is_______

49 / 75

24.  The hydrocarbon (X) with molar mass 80 g mol-¹ and 90% carbon has _______ degree of unsaturation.

50 / 75

25. The observed and normal molar masses of compound MX_2 are 65.6 and 164 respectively. The percent degree of ionization of MX_2 is __________ %. (Nearest integer)

51 / 75

MATHS 

  1. Let [x] denote the greatest integer less than or equal to x. Then the domain of f(x) = sec^-1  (2[x] + 1) is :

52 / 75

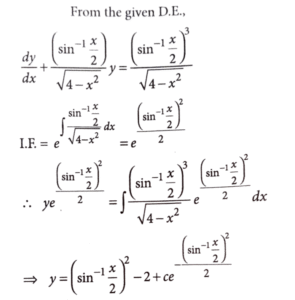
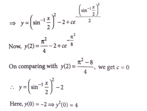
2.

53 / 75

3. Let the coefficients of three consecutive terms, T_r ,T_r+1 and T_r+2 in the binomial expansion of (a+b)¹² be in a G.P. and let p be the number of all possible values of r. Let q be the sum of all rational terms in the binomial expansion of , (4√3 +3√4 )¹² + root(4, 3)) ^ 12 . Then p + q is equal to:

54 / 75

4. Bag B₁ contains 6 white and 4 blue balls, Bag B₂ contains 4 white and 6 blue balls, and Bag B_3 contains 5 white and 5 blue balls. One of the bags is selected at random and a ball is drawn from it. If the ball is white, then the probability, that the ball is drawn from Bag B2, is :

55 / 75

5.

56 / 75

6.

57 / 75

7. Let f: R- {0} → (-∞, 1) be a polynomial of degree 2,  satisfying f(x) f ( 1/x ) = f(x)+f (1/x). If f(K) = - 2K, then the sum of squares of all possible values of K is:

58 / 75

8. The square of the distance of the point (15/7,  32/7, 7) from the line x+1 /3 =  y+3/ 5 =  z+5/7  in the direction of  the vector iˆ+ 4jˆ+ 7kˆ is:

59 / 75

9.

60 / 75

10. If A and B are the points of intersection of the circle x² + y²- 8x = 0 and the hyperbola x² /9 - y²/4 =1 and a  point P moves on the line 2x - 3y + 4 = 0, then the centroid of ΔPAB lies on the line :

61 / 75

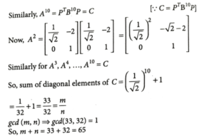
11.

62 / 75

12. If α+ i β and γ + i δ are the roots of x² - (3 - 2i) x- (2i - 2) = 0, i =√-1, then α γ + β δ is equal to :

63 / 75

13. If the midpoint of a chord of the ellipse x² / 9 + y² /4 = 1 is (√2, 4/3), and the length of the chord is 2√α/3, then  α is :

64 / 75

14. Let f : [0, 3] → A be defined by f(x) = 2x^3 - 15x^2 + 36x + 7 and g : [0, ∞) →B be defined by

g(x) = (x^2025)/(x^2025 + 1). If both the functions are onto and

S = {x ∈ Z : x ∈ A or x ∈ B} then n(S) is equal to :

65 / 75

15. Two equal sides of an isosceles triangle are along - x + 2y = 4 and x + y = 4. If m is the slope of its third side, then the sum, of all possible distinct values of m, is:

66 / 75

16. Let S be the set of all the words that can be formed by arranging all the letters of the word GARDEN. From the set S, one word is selected at random. The probability that the selected word will NOT have vowels in alphabetical order is :

67 / 75

17. The area of the region bounded by the curves x(1 + y²) = 1 and  y² = 2x is:

68 / 75

18.

69 / 75

19. If the components of a^→ = αiˆ + βjˆ + γkˆ along and perpendicular to b^→ = 3iˆ + jˆ  - kˆ respectively, are 16/11 (3iˆ + jˆ  - kˆ ) and 1/11 (-4iˆ -5 jˆ - 17kˆ), then α² +β² + γ² is equal to:

70 / 75

20. Let A, B, C be three points in xy-plane, whose position vector are given by √3iˆ+jˆ, iˆ+ √3jˆ and aiˆ + (1-a)jˆ respectively with respect to the origin O. If the distance of the point C from the line bisecting the angle between the vectors OA^→ and OB^→ is 9/√2, then the sum of all the possible values of a is :

71 / 75

21. The number of natural numbers, between 212 and 999, such that the sum of their digits is 15, is________

72 / 75

22. Let A and B be the two points of intersection of the line y + 5 = 0 and the mirror image of the parabola     y² = 4x with respect to the line x + y + 4 = 0. If d denotes the distance between A and B, and a denotes the area of ΔSAB, where S is the focus of the parabola y² = 4x, then the value of (a + d) is_________.

73 / 75

23.

74 / 75

24.

75 / 75

25. The interior angles of a polygon with n sides, are in an A.P. with common difference 6°. If the largest interior angle of the polygon is 219°, then n is equal to_____.

Your score is

The average score is 10%