/75
0 votes, 0 avg
1

Your time starts now

Time out !!!


IIT-JEE 2026

LTL JEE MAIN 2026 FT5

Greetings from LEARN TO LEAD ACADEMY !!!!

The number of attempts remaining is 1

Greetings from LEARN TO LEAD ACADEMY !!! All the best !!!!

1 / 75

CHEMISTRY:

  1. Which of the following arrangements with respect to their in nucleophilic addition reactions correct?

2 / 75

2. Which one of the carbocations from the following is most stable?

3 / 75

3.

 

4 / 75

4. One mole of the octahedral complex compound Co(NH_3)_5 Cl_3 gives 3 moles of ions on dissolution in water. One mole of the same complex reacts with excess of AgNO_3 solution to yield two moles of AgCl_(s). The structure of the complex is

5 / 75

5. Let us consider an endothermic reaction which is non-spontaneous at the freezing point of water. However, the reaction is spontaneous at boiling point of water. Choose the correct option.

6 / 75

6. K_sp for Cr(OH)_3 is 1.6 × 10^-30. What is the molar solubility of this salt in water?

7 / 75

7.

8 / 75

8. Preparation of potassium permanganate from MnO_2 involves two step process in which the 1st step is a reaction with KOH and KNO_3 to produce

9 / 75

9. For a reaction, N_2 O_5 (g) → 2NO_2(g) + 1/2  O_2 (g) in a constant volume container, no products were present initially. The final pressure of the system when 50% of reaction gets completed is

10 / 75

10. Which of the following linear combination of atomic orbitals will lead to formation of molecular orbitals in homonuclear diatomic molecules [internuclear axis in z-direction]?

A. 2p_z and 2p_x

B. 2s and 2p_x

C. 3d_xy and 3d_x²-y²

D. 2s and 2p_z

E. 2p_z and 3d_x²-y²

Choose the correct answer from the options given below:

11 / 75

11. Which of the following statements is true with respect to H_2 O, NH_3 and CH_4?

A. The central atoms of all the molecules are sp^3 hybridized .

B. The H-O-H, H-N-H and H-C-H angles in the above molecules are 104.5º, 107.5º and 109.5º, respectively.

C. The increasing order of dipole moment is CH_4 < NH_3 < H_2 O. D. Both H_2 O and NH_3 are Lewis acids and CH_4 is a Lewis base. E. A solution of NH_3 in H_2O  is basic. In this solution NH_3 and H_2O acts as Lowry-Bronsted acid and base respectively. Choose the correct answer from the options given below:  

12 / 75

12. Which of the following statements are not true about the periodic table?

A. The properties of elements are function of atomic weights.

B. The properties of elements are function of atomic numbers.

C. Elements having similar outer electronic configuration are arranged in same period.

D. An element's location reflects the quantum numbers of the last filled orbital.

E. The number of elements in a period is same as the number of atomic orbitals available in energy level that is being filled.

Choose the correct answer from the options given below:

13 / 75

13. Given below are two statements I and II.

Statement I : Dumas method is used for estimation of "Nitrogen" in an organic compound.

Statement II : Dumas method involves the formation of ammonium sulphate by heating the organic compound with conc. H_2 SO_4

In the light of the above statements, choose the correct answer from the options given below:

14 / 75

14. The carbohydrate "Ribose" present in DNA, is

A. a pentose sugar

B. present in pyranose from

C. in "D" configuration

D. a reducing sugar, when free

E. in α-anomeric form

Choose the correct answer from the options given below:

15 / 75

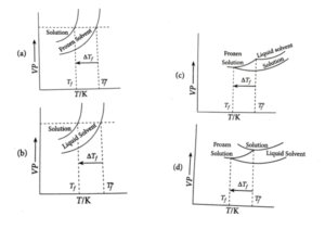
15. Consider the given plots of vapour pressure (VP) vs temperature (T/K). Which amongst the following options is correct graphical representation showing ΔT_f, depression in the freezing point of a solvent in a solution?

16 / 75

16. Which of the following ions is the strongest oxidizing agent?

(Atomic number of Ce = 58, Eu = 63, Tb = 65, Lu = 71)

17 / 75

17. The large difference between the melting and boiling points of oxygen and sulphur may be explained on the basis of

18 / 75

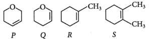
18. Following are the four molecules "P", "Q", "R" and "S". Which one among the four molecules will react with H-Br_(aq) at the fastest rate?

19 / 75

19.

20 / 75

20. Given below are two statements :

21 / 75

21. X g of benzoic acid on reaction with aq. NaHCO_3 released CO_2 that occupied 11.2 L volume at STP. X is ______g.

22 / 75

22. Standard entropies of X_2 , Y_2 and XY_5 are 70, 50 and 110 JK^-1 mol ^-1 respectively. The temperature in Kelvin at which the reaction

 

 

23 / 75

23. 37.8 g N_2 O_5 was taken in a 1 L reaction vessel and allowed to undergo the following reaction at 500 K.

24 / 75

24. Among the following cations, the number of cations which will give characteristic precipitate in their identification tests with K_4 [Fe(CN)_6] is ________

Cu^2+,Fe^3+, Ba^2+, Ca^2+, NH^+ _4, Mg^2+, Zn^2+

25 / 75

25. Consider the following reaction occurring in the blast furnace:

Fe_3 O _4(s) + 4CO(g) → 3Fe(l) + 4CO_2(g)

'x' kg of iron is produced when 2.32 × 10^3 kg Fe_3 O_4  and 2.8 × 10^2 kg CO are brought together in the furnace. The value of 'x' is ____.(nearest integer)

{Given: molar mass of Fe_3 O_4 = 232 g mol^-1

molar mass of CO = 28 g mol^-1

molar  mass of Fe = 56 g mol^-1}

26 / 75

PHYSICS:

  1. Identify the correct statement from the following:

A. Work done by a man in lifting a bucket out of a well by means of a rope tied to the bucket is negative.

B. Work done by gravitational force in lifting a bucket out of a well by a rope tied to the bucket is negative.

C. Work done by friction on a body sliding down an inclined plane is positive.

D. Work done by an applied force on a body moving on a rough horizontal plane with uniform velocity is zero.

E. Work done by the air resistance on an oscillating pendulum is negative. Choose the correct answer from the options given below:

 

27 / 75

2. The time taken by an object to slide down 45° rough inclined plane is n times as it takes to slide down a perfectly smooth 45° incline plane. The coefficient of kinetic friction between the object and the inclined plane is

28 / 75

3. For the given logic gates combination, the correct truth table will be

29 / 75

4. A point charge 2 × 102 C is moved from P to S in a uniform electric field of 30 N C1 directed along positive x-axis. If co-ordinates of P and S are (1, 2, 0) m and (0, 0, 0) m respectively, the work done by electric field will be

30 / 75

5. A force acts for 20 s on a body of mass 20 kg, starting from rest, after which the force ceases and then body describes 50 m in the next 10 s. The value of force will be

31 / 75

6. The ratio of de-Broglie wavelength of an α particle and a proton accelerated from rest by the same potential is 1/√m , the value of m is

32 / 75

7. The electric current in a circular coil of four turns produces a magnetic induction 32 T at its centre. The coil is unwound and is rewound into a circular coil of single turn, the magnetic induction at the centre of the coil by the same current will be

33 / 75

8. Substance A has atomic mass number 16 and half life of 1 day. Another substance B has atomic mass number 32 and half life of ½ day. If both A and B simultaneously start undergo radioactivity at the same time with initial mass 320 g each, how many total atoms of A and B combined would be left after 2 days.

34 / 75

9. The time period of a satellite of earth is 24 hours. If the separation between the earth and the satellite is decreased to one fourth of the previous value, then its new time period will become

35 / 75

10. With the help of potentiometer, we can determine the value of emf of a given cell. The sensitivity of the potentiometer is

A. directly proportional to the length of the potentiometer wire.

B. directly proportional to the potential gradient of the wire.

C. inversely proportional to the potential gradient of the wire.

D. inversely proportional to the length of the potentiometer wire.

Choose the correct option for the above statements:

36 / 75

11. A square loop of area 25 cm² has a resistance of 10 Ω. The loop is placed in uniform magnetic field of magnitude 40.0 T. The plane of loop is perpendicular to the magnetic field. The work done in pulling the loop out of the magnetic field slowly and uniformly in 1.0 sec, will be

37 / 75

12. Given below are two statements:

 Statement I: Electromagnetic waves are not deflected by electric and magnetic field.

Statement II: The amplitude of electric field and the magnetic field in electromagnetic waves are related to each other as E0 =√μ_0/ε_0 . In the light of the above statements, choose the correct answer from the options given below.

38 / 75

13. For the given figures, choose the correct options.

39 / 75

14. An inductor of inductance 2 µH is connected in series with a resistance, a variable capacitor and an AC source of frequency 7 kHz. The value of capacitance for which maximum current is drawn into the circuit is 1/x F, where the value of x is_______  (Take, π = 22/7)

40 / 75

15. When two resistances R₁ and R₂ connected in series and introduced into the left gap of a meter bridge and a resistance of 10 Ω is introduced into the right gap, a null point is found at 60 cm from left side. When R₁ and R2 are connected in parallel and introduced into the left gap, a resistance of 3 Ω is introduced into the right-gap to get null point at 40 cm from left end. The product of R1R2 is ______________________ Ω2.

41 / 75

16. A particle of mass 100 g is projected at time t = 0 with a speed 20 m s1 at an angle 45° to the horizontal as given in the figure. The magnitude of the angular momentum of the particle about the starting point at time t = 2 s is found to be √K kg m²/s. The value of K is ____________ (Take g = 10 m s2)

42 / 75

17. A car is moving on a circular path of radius 600 m such that the magnitudes of the tangential acceleration and centripetal acceleration are equal. The time taken by the car to complete first quarter of revolution, if it is moving with an initial speed of 54 km/hr is t(1− e^-π/2)s. The value of t is __________________.

43 / 75

18. A metal block of base area 0.20 m2 is placed on a table, as shown in figure. A liquid film of thickness 0.25 mm is inserted between the block and the table. The block is pushed by a horizontal force of 0.1 N and moves with a constant speed. If the viscosity of the liquid is 5.0 × 103 Pl, the speed of block is _____________× 103 m/s.

44 / 75

19. For a charged spherical ball, electrostatic potential inside the ball varies with r as V = 2ar² + b. Here, a and b are constant and r is the distance from the center. The volume charge density inside the ball is –λaε. The value of is λ is _____________

ε = permittivity of the medium

45 / 75

20. A null point is found at 200 cm in potentiometer when cell in secondary circuit is shunted by 5 Ω. When a resistance of 15 Ω is used for shunting, null point moves to 300 cm. The internal resistance of the cell is____________ Ω.

46 / 75

21. Speed of an electron in Bohr’s 7th orbit for Hydrogen atom is 3.6 × 106 m/s. The corresponding speed of the electron in 3rd orbit, in m/s is

47 / 75

22. The charge flowing in a conductor changes with time as Q(t) = αt – βt² + γt³. Where α, β and γ are constants. Minimum value of current is

48 / 75

23. Choose the correct relationship between Poisson ratio (σ), bulk modulus (K) and modulus of rigidity (Ƞ) of a given solid object

49 / 75

24. The output waveform of the given logical circuit for the following inputs A and B as shown below, is

50 / 75

25. A small object at rest, absorbs a light pulse of power 20 mW and duration 300 ns. Assuming speed of light as 3 × 108 m/s, the momentum of the object becomes equal to

51 / 75

MATHS:

52 / 75

2. Let O be the origin, the point A be z_1= √3 + 2√2i,  the point B(z_2) be such that √3 |z_2| = |z_1| and  arg z_2 = arg z_1 + π/6. Then

53 / 75

3. Let the equation of the circle, which touches x-axis at the point (a, 0) a > 0 and cuts off an intercept of length b on y-axis be x ^ 2 + y ^ 2 - α x + β y +γ = 0 If the circle lies below x-axis, then the ordered pair           (2a, b ^ 2) is equal to

54 / 75

4. Let n^C_r-1 = 28, n^C_r = 56 and n^C_r+1 = 70. Let A (4cost, 4sint), B (2sint, - 2cost) and C( 3r - n, r^2 - n - 1 ) be the vertices of a triangle ABC, where t is a parameter. If (3x - 1)^2 + (3y) ^ 2 = α, is the locus of the centroid of triangle ABC, then α equals

55 / 75

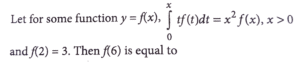
5.  Let A (x, y, z) be a point in xy-plane, which is equidistant from three points (0, 3, 2), (2, 0, 3) and (0, 0, 1). Let B = (1, 4, - 1) and C = (2, 0, - 2) Then among the statements

(S1): Δ ABC is an isosceles right angled triangle, and

(S2) : the area of ΔABC is 9√2/2.

56 / 75

6. Let ABCD be a trapezium whose vertices lie on the parabola y² = 4x. Let the sides AD and BC of the trapezium be parallel to y-axis. If the diagonal AC is of length 25/4 and it passes through the point (1, 0), then the area of ABCD is

57 / 75

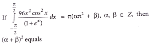
7.

58 / 75

8.

59 / 75

9. The relation R = {(x, y) : x, y ∈ Z and x + y is even} is :

60 / 75

10.

61 / 75

11. The area of the region {(x, y) : 0 ≤ y ≤ 2|x| + 1, 0 ≤ y ≤ x² + 1, |x| ≤ 3} is

62 / 75

12.

63 / 75

13. The number of different 5 digit numbers greater than 50000 that can be formed using the digits 0, 1, 2, 3, 4, 5, 6, 7, such that the sum of their first and last digits should not be more than 8, is

64 / 75

14.

65 / 75

15.

66 / 75

16. cos (sin ^-1 (3/5) + sin ^-1 (5/13) + sin ^-1 (33/65) } is equal to:

67 / 75

17.

68 / 75

18. Three defective oranges are accidently mixed with seven good ones and on looking at them, it is not possible to differentiate between them. Two oranges are drawn at random from the lot. If x denote the number of defective oranges, then the variance of x is

69 / 75

19. The sum, of the squares of all the roots of the equation x^2 + |2x - 3| - 4 = 0 ,is

70 / 75

20. If the image of the point (4, 4, 3) in the line x - 1/2 = y - 2/1 = z - 1/3  is (α, β, γ), then α + β +γ is equal to

71 / 75

21.

72 / 75

22.

73 / 75

23.

74 / 75

24.

75 / 75

25.

Your score is

The average score is 28%