/75
0 votes, 0 avg
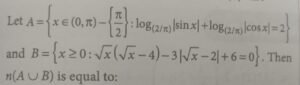
2

Your time starts now

Time out !!!


IIT-JEE 2026

LTL JEE MAIN 2026 FT4

Greetings from LEARN TO LEAD ACADEMY !!!!!

The number of attempts remaining is 1

Greetings from LEARN TO LEAD ACADEMY !!! All the best !!!!

1 / 75

MATHS:

  1. Let f : (0, ∞) → R be a function which is differentiable at all points of its domain and satisfies the condition x^2  f′(x) = 2xf(x) + 3 with f(1) = 4 Then 2f(2) is equal to:

2 / 75

2. Let the position vectors of three vertices of a triangle be and 4p^→+q^→ -3r^→, -5p^→+q^→+2r^→  and 2p^→ - q^→+2r^→. If the position vectors of the orthocenter and circumcenter of the triangle are p^→+q^→+r^→ /4 αp^→+βq^→+γr^→ respectively, α+2β+5γ is equal to:

 

3 / 75

3. Let (2, 3) be the largest open interval in which the function f(x) = 2 log_e (x - 2) - x^2 + ax + 1 is strictly increasing and (b, c) be the largest open interval, in which the function g(x) = (x - 1)^3 (x + 2 - a)^2 is strictly decreasing. Then 100(a + b - c) is equal to:

4 / 75

4.

5 / 75

5. Group A consists of 7 boys and 3 girls, while group B consists of 6 boys and 5 girls. The number of ways, 4 boys and 4 girls can be invited for a picnic if 5 of them must be from group A and the remaining 3 from group B, is equal to:

6 / 75

6. Let [x] denote the greatest integer function, and let m and n respectively be the numbers of the points, where the function f(x) = [x] + |x - 2|, - 2 < x < 3 is not continuous and not differentiable. Then m + n is equal to:

7 / 75

7. In an arithmetic progression, if S_40 = 1030 and S_12 = 57, then S_30 - S_10 is equal to:

8 / 75

8. Let a^→ = 3iˆ - jˆ + 2kˆ,b^→ = a^→×(iˆ-2kˆ) and c^→ = b^→ ×kˆ . Then the projection of  c^→ - 2jˆ on a^→ is :

9 / 75

9. If the system of equations

x + 2y - 3z = 2

2x + λy +5z =5

14 x +3y +μz = 33

has infinitely many solutions, then λ+μ is equal to:

10 / 75

10.

11 / 75

11.

12 / 75

12. Suppose A and B are the coefficients of 30^th and 12^th terms respectively in the binomial expansion of (1+x²)^2n-1. If 2A =5B, then n is equal to:

13 / 75

13. The number of real solution(s) of the equation x² +3x + 2 = min {|x - 3|, |x +2|} is :

14 / 75

14. The area of the region enclosed by the curves y = e^x, y =|e^x -1| and y -axis is:

15 / 75

15. The equation of the chord, of the ellipse x²/25 + y²/16 =1, whose mid-point is (3,1) is :

16 / 75

16. If 7 = 5+1/7 (5+α) + 1/7² (5+2α) + 1/7³ (5+3α) + ....∞, then the value of α is:

17 / 75

17. If the equation of the parabola with vertex V(3/2, 3) and the directrix x + 2y =0 is α x² + βy²- γxy -30x -60y+225 = 0, then α+β+γ is equal to:

18 / 75

18. Let A = [a_ij] be a square matrix of order 2 with entries either 0 or 1. Let E be the event that A is an invertible matrix. Then the probability P(E) is:

19 / 75

19. If α>β>γ>0, then expression cot^-1 {β + (1+β²)/ (α-β)} + cot^-1 { γ + (1+ γ²)/ ( β-γ)} + cot^-1 {α + (1+α²)/ (γ-α) } is equal to :

20 / 75

20. Let the points (11/2, α) lie on or inside the triangle with sides x + y = 11, x+ 2y = 16 and 2x+3y = 29. Then the product of the smallest and the largest values of α is equal to:

21 / 75

21. Let y = y(x) be the solution of the differential equation 2 cosx dy/dx = sin2x - 4y sinx, x ∈ (0, π/2). If y(π/3)=0, then y′(π/4) + y (π/4) is equal to

22 / 75

22. Number of functions f : {1, 2, ...., 100} →{0,1}, that  assign  1 to exactly one of the positive integers less than or equal to 98, is equal to _________

23 / 75

23.

24 / 75

24. Let P be the image of the point  Q (7, -2, 5)in the line L : x-1/2 = y+1/3 = z/4 and  R(5, p, q) be a point on L. Then the square of the area of ΔPQR is _______.

25 / 75

25. Let H_1 : x² /a² - y² /b² = 1 and H_2 : x² /A² + y² /B² = 1 be two hyperbolas having length of latus rectum 15√2 and 12 √5 respectively. Let their eccentricities be e_1 = √5/2 and e_2 respectively. If the product of the lengths of their transverse axes is 100 √10, then 25 e_2 ^2  is equal to ___________.

26 / 75

CHEMISTRY:

  1. Given below are the atomic numbers of some group 14 elements. The atomic number of the element with lowest melting point is

27 / 75

2. When a non-volatile solute is added to the solvent, the vapour pressure of the solvent decreases by 10 mm of Hg. The mole fraction of the solute in the solution is 0.2. What would be the mole fraction of the solvent if decrease in vapour pressure is 20 mm of Hg?

28 / 75

3. Consider the reaction,

The equation representing correct relationship between the degree of dissociation (x) of X_2 Y(g) with its equilibrium constant K _p is _____ is.

(Assume x to be very very small.)

29 / 75

4. Match List-I with List-II.

List-I List-II
(A)   Bronze (I)               Cu, Ni
(B)   Brass (II)              Fe, Cr, Ni, C
(C)   UK silver coin (III)            Cu, Zn
(D)   Stainless steel (IV)            Cu, Sn

Choose the correct answer from the options given below:

30 / 75

5. Given below are two statements about X-ray spectra of elements:

Statement (I): A plot of √v (v = frequency of X-rays emitted) vs atomic mass is a straight line.

Statement (II): A plot of v (v = frequency of X-rays emitted) vs atomic number is a straight line.

In the light of the above statements, choose the correct answer from the options given below:

31 / 75

6. The effect of temperature on spontaneity of reactions are represented as:

  ΔH ΔS Temperature Spontaneity
(A) + - any T Non-spontaneous
(B) + + low T Spontaneous
(C) - - low T Non-spontaneous
(D) - + any T Spontaneous

The incorrect combinations are

32 / 75

7. pH of water is 7 at 25°C. If water is heated to 80°C it's pH will

33 / 75

8. The α-helix and β-pleated sheet structures of protein are associated with its

34 / 75

9. Identify the coordination complexes in which the central metal ion has d^4 configuration.

(A) [FeO4]²-

(B) [Mn(CN)_6]³-

 

Choose the correct answer from the options given below.

35 / 75

10.  Which of the following graphs most appropriately represents a zero order reaction?

36 / 75

11. Identify the products [A] and [B], respectively in the following reactions:

37 / 75

12. Given below are two statements:

Statement (I): For a given shell, the total number of allowed orbitals is given by n².

Statement (II): For any subshell, the spatial orientation of the orbitals is given by -l to +l values including zero.

In the light of the above statements, choose the correct answer from the options given below :

38 / 75

13. standard electrode potentials for a few half cells are mentioned below:

39 / 75

14. Given below are two statements:

Statement (I): The boiling points of alcohols and phenols increase with increase in the number of C-atoms.

Statement (II): The boiling points of alcohols and phenols are higher in comparison to other class of compounds such as ethers, haloalkanes.

In the light of the above statements, choose the correct answer from the options given below:

40 / 75

15. Identify A, B and C in the given below reaction sequence.

41 / 75

16. Match List I with List II

Choose the correct answer from the options given

42 / 75

17. Given below are two statements:

Consider the following reaction

In the light of above statements, choose the correct answer from the options given below :

43 / 75

18. The ascending order of relative rate of solvolysis of following compounds is

44 / 75

19. Consider a binary solution of two volatile liquid components 1 and 2. x_1 and y_1 are the mole fractions of component 1 in liquid and vapour phase, respectively. The slope and intercept of the linear plot of 1/x_1  vs 1/y_1 are given respectively as

45 / 75

20. Consider the following reactions:

The product [A] and [B], respectively are

46 / 75

21. The bond dissociation enthalpy of X_2 , ΔHº_bond calculated from the given data is _____ kJ mol^-1. (Nearest integer)

[Given: M^+ X^- is a pure ionic compound and X forms a diatomic molecule X_2 in gaseous state]

47 / 75

22. When 81.0 g of aluminium is allowed to react with 128.0 g of oxygen gas, the mass of aluminium oxide produced in grams is  _________.(Nearest integer)

Given: Molar mass of Al is 27.0 g mol^-1

Molar mass of O is 16.0 g mol-¹

48 / 75

23. 0.01 mole of an organic compound (X) containing 10% hydrogen, on complete combustion produced 0.9 g H_2 O. Molar mass of (X) is____ g mol^-1

49 / 75

24. Consider the following sequence of reactions.

Total number of sp³ hybridized carbon atoms in the major product C formed is ________.

50 / 75

25. A compound 'X' absorbs 2 moles of hydrogen and 'X' upon oxidation with KMnO_4 |H^+ gives

The total number of σ bonds present in the compound 'X' is ________.

51 / 75

  1. A capacitor has capacitance 5 µF when it’s parallel plates are separated by air medium of thickness d. A slab of material of dielectric constant 1.5 having area equal to that of plates but thickness d/2 is inserted between the plates. Capacitance of the capacitor in the presence of slab will be ________________ μF.

52 / 75

2.  Two long parallel wires carrying currents 8 A and 15 A in opposite directions are placed at a distance of 7 cm from each other. A point P is at equidistant from both the wires such that the lines joining the point P to the wires are perpendicular to each other. The magnitude of magnetic field at P is _________________ × 10-6 T (Given, √2 = 1.4).

53 / 75

3. If a solid sphere of mass 5 kg and a disc of mass 4 kg have the same radius. Then the ratio of moment of inertia of the disc about a tangent in its plane to the moment of inertia of the sphere about its tangent will be x/7  . Then the value of x is _____________.

54 / 75

4. A series LCR circuit is connected to an AC source of 220 V, 50 Hz. The circuit contains a resistance R = 80Ω, an inductor of inductive reactance XL= 70 Ω, and a capacitor of capacitive reactance XC = 130 Ω. The power factor of circuit is x/10. The value of x is ___________

55 / 75

5. A nucleus disintegrates into two smaller parts, which have their velocities in the ratio 3: 2. The ratio of their nuclear sizes will be (x/3)^1/3. The value of ‘x’ is __________.

56 / 75

6. Ratio of thermal energy released in two resistors R and 3R connected in parallel in an electric circuit is

57 / 75

7. Two particles of equal mass ‘m’ move in a circle of radius ‘r’ under the action of their mutual gravitational attraction. The speed of each particle will be

58 / 75

8. A block of mass m slides down the plane inclined at angle 30° with an acceleration g/4 . The value of coefficient of kinetic friction will be

59 / 75

9. A stone is projected at angle 30° to the horizontal. The ratio of kinetic energy of the stone at point of projection to its kinetic energy at the highest point of flight will be

60 / 75

10. If a radioactive element having half-life of 30 min is undergoing beta decay, the fraction of radioactive element remains undecayed after 90 min will be

61 / 75

11. Given below are two statements: One is labelled as Assertion (A) and the other is labelled as Reason (R).

Assertion (A): If dQ and dW represent the heat supplied to the system and the work done on the system respectively. Then According to the first law of thermodynamics dQ = dU – dW.

Reason (R): First law of thermodynamics is based on law of conservation of energy. In the light above statements, choose the correct answer from the options given below.

62 / 75

12. Which of the following are true?

(A) Speed of light in vacuum is dependent on the direction of propagation.

(B) Speed of light in a medium is independent of the wavelength of light.

(C) The speed of light is independent of the motion of the source.

(D) The speed of light in a medium is independent of intensity. Choose the connect answer from the options given below.

63 / 75

13. In a cuboid of dimension 2L × 2L × L, a charge q is placed at the center of the surface ‘S’ having area of 4L2. The flux through the opposite surface to ‘S’ is given by

64 / 75

14. The magnitude of magnetic induction at mid point O due to current arrangement as shown in figure will be

65 / 75

15. A person observes two moving trains, ‘A’ reaching the station and ‘B’ leaving the station with equal speed of 30 m/s. If both trains emit sounds with frequency 300 Hz, (Speed of sound: 330 m/s) approximate difference of frequencies heard by the person will be:

66 / 75

16. A car is moving on a horizontal curved road with radius 50 m. The approximate maximum speed of car will be, if friction between tyres and road is 0.34. [take g = 10 ms2]

67 / 75

17. Find the mutual inductance in the arrangement, when a small circular loop of wire of radius ‘R’ is placed inside a large square loop of wire of side L (L >> R). The loops are coplanar and their centres coincide

68 / 75

18. The threshold wavelength for photoelectric emission from a material is 5500 Å. Photoelectrons will be emitted, when this material is illuminated with monochromatic radiation from a

A. 75 W infra-red lamp

B. 10 W infra-red lamp

C. 75 W ultra-violet lamp

D. 10 W ultra-violet lamp

Choose the correct answer from the options given below.

69 / 75

19. Match List I with List II.

List I (Physical Quantity) List II (Dimensional Formula)
A. Pressure gradient I. [M0L2T-2]
B. Energy density II. [M1L-1T-2]
C. Electric field III. [M1L-2T-2]
D. Latent heat IV. [M1L1T-3 A-1]

Choose the correct answer from the options given below.

70 / 75

20. A body cools from 60°C to 40°C in 6 minutes. If, temperature of surroundings is 10°C. Then, after the next 6 minute, its temperature will be __________________°C.

71 / 75

21. A point charge q₁ = 4q0 is placed at origin. Another point charge q2 = −q0 is placed at x = 12 cm. Charge of proton is q0. The proton is placed on x axis so that the electrostatic force on the proton is zero. In this situation, the position of the proton from the origin is ______________ cm.

72 / 75

22. A solid sphere of mass 2 kg is making pure rolling on a horizontal surface with kinetic energy 2240 J. The velocity of centre of mass of the sphere will be _____________________m s1.

73 / 75

23. A radioactive element (242^X_92 ) emits two α-particles, one electron and two positrons. The product nucleus is represented by (234^Y_P). The value of P is ___________.

74 / 75

24. An object moves at a constant speed along a circular path in a horizontal plane with center at the origin.  When the object is at x = +2 m, its velocity is -4 jˆ m/s . The object's velocity (v) and acceleration (a) at x = -2 m will be

75 / 75

25. A fully loaded boeing aircraft has a mass 5.4 x 10^5 kg. Its total wing area is 500 m². It is in level flight with a speed of 1080 km/h. If the density of air ρ is 1.2 kg m-³, the fractional increase in the speed of the air on the upper surface of the wing relative to the lower surface in percentage will be (g = 10 m/s²)

Your score is

The average score is 36%