/75
0 votes, 0 avg
2

Your time starts now

Time out !!!!


IIT-JEE 2026

LTL JEE MAIN 2026 FT3

Greetings from LEARN TO LEAD ACADEMY!!!

The number of attempts remaining is 1

Greetings from LEARN TO LEAD ACADEMY !!! All the best !!!

1 / 75

PHYSICS:

1. Match List I with List II.

List I List II
(A) Surface tension (I) kg m1 s1
(B) Pressure (II) kg m s1
(C) Viscosity (III) kg m1s2
(D) Impulse (IV) kg s2

Choose the correct answer from the options given below.

2 / 75

2. In an LC oscillator, if values of inductance and capacitance become twice and eight times, respectively, then the resonant frequency of oscillator becomes x times its initial resonant frequency ω0. The value of x is

3 / 75

3. A solenoid of 1200 turns is wound uniformly in a single layer on a glass tube 2 m long and 0.2 m in diameter. The magnetic intensity at the center of the solenoid when a current of 2 A flows through it is

4 / 75

4. A car travels a distance of ‘x’ with speed v₁ and then same distance ‘x’ with speed v₂ in the same direction. The average speed of the car is

5 / 75

5. A uniform electric field of 10 N/C is created between two parallel charged plates (as shown in figure). An electron enters the field symmetrically between the plates with a kinetic energy 0.5 eV. The length of each plate is 10 cm. The angle (θ) of deviation of the path of electron as it comes out of the field is _____________ (in degree).

6 / 75

6. In the given circuit, the equivalent resistance between the terminal A and B is ___________________ Ω.

7 / 75

7. If P→  = 3i^+√3^j+2k^ and Q→= 4^i+√3j^+2.5k^ then, the unit vector in the direction of P→  ×Q→ is 1/x (√3i^+j^-2√3k^). The value of x is________

8 / 75

8. An object of mass ‘m’ initially at rest on a smooth horizontal plane starts moving under the action of force F = 2 N. In the process of its linear motion, the angle θ (as shown in figure) between the direction of force and horizontal varies as θ = kx, where k is a constant and x is the distance covered by the object from its initial position. The expression of kinetic energy of the object will be E = n/k sin θ. The value of n is _______________.

9 / 75

9. An LCR series circuit of capacitance 62.5 nF and resistance of 50 Ω, is connected to an A.C. source of frequency 2.0 kHz. For maximum value of amplitude of current in circuit, the value of inductance is ___________ mH. (Take π² = 10)

10 / 75

10. A wire of length 1m moving with velocity 8 m/s at right angles to a magnetic field of 2 T. The magnitude of induced emf, between the ends of wire will be ________________.

11 / 75

11. The distance travelled by a particle is related to time t as x = 4t2. The velocity of the particle at t = 5 s is

12 / 75

12. The resistance of a wire is 5 Ω. It’s new resistance in ohm if stretched to 5 times of it’s original length will be

13 / 75

13. For a moving coil galvanometer, the deflection in the coil is 0.05 rad when a current of 10 mA is passed through it. If the torsional constant of suspension wire is 4.0 × 10-5 N m rad−1, the magnetic field is 0.01 T and the number of turns in the coil is 200, the area of each turn (in cm²) is

14 / 75

14. Statement I: When a Si sample is doped with Boron, it becomes P-type and when doped by Arsenic it becomes N-type semiconductor such that P-type has excess holes and N-type has excess electrons.

Statement II: When such P-type and N-type semi- conductors, are fused to make a junction, a current will automatically flow which can be detected with an externally connected ammeter.

In the light of above statements, choose the most appropriate answer from the options given below.

15 / 75

15. Given below are two statements

Statement I: Stopping potential in photoelectric effect does not depend on the power of the light source.

Statement II: For a given metal, the maximum kinetic energy of the photoelectron depends on the wavelength of the incident light. In the light of above statements, choose the most appropriate answer from the options given below.

16 / 75

16. Match List I with List II.

List I List II
A. Troposphere I. Approximate 65-75 km over Earth’s surface
B. E- Part of Stratosphere II. Approximate 300 km over Earth’s surface
C. F₂- Part of Thermosphere III. Approximate 10 km over Earth’s surface
D. D- Part of Stratosphere IV. Approximate 100 km over Earth’s surface

Choose the correct answer from the options given below.

17 / 75

17. Consider a block kept on an inclined plane (inclined at 45°) as shown in the figure. If the force required to just push it up the incline is 2 times the force required to just prevent it from sliding down, the coefficient of friction between the block and inclined plane(μ) is equal to

18 / 75

18. A body of mass is taken from earth surface to the height h equal to twice the radius of earth (Re), the increase in potential energy will be (g = acceleration due to gravity on the surface of Earth)

19 / 75

19.A point charge of 10 µC is placed at the origin. At what location on the X-axis should a point charge of 40 µC be placed so that the net electric field is zero at x = 2 cm on the X-axis?

20 / 75

20. Match List I with List II.

List I List II
A. Young’s modulus (Y) (I) [ML1T1]
B. Coefficient of viscosity(Ƞ) II. [ML2T1]
C. Planck’s constant (h)  III. [ML1T2]
D. Work function (φ)  IV. [ML2T2]

Choose the correct answer from the options given below.

21 / 75

21. Match List I with List II.

List I  List II
A. Isothermal process I. Work done by the gas decreases internal energy
B. Adiabatic process II. No change in internal energy
C. Isochoric process III. The heat absorbed goes partly to increase internal energy and partly to do work
D. Isobaric process IV. No work is done on or by the gas

Choose the correct answer from the options given below.

22 / 75

22. Match List I with List II.

 List I  List II
A. Gauss’s law in Electrostatics I.∮ E^→.dl^→= - dΦ_B/dt
 B. Faraday’s law II. ∮ B^→.dA^→=0
C. Gauss’s law in magnetism III. ∮ B^→.dl^→=μ_0i_c+μ_0ε_0 dΦ_E/dt
D.  Ampere- Maxwell law IV. ∮E^→.ds^→q/ε_0

Choose the correct answer from the options given below.

23 / 75

23. The energy levels of an atom is shown in figure.

Which one of these transitions will result in the emission of a photon of wavelength 124.1 nm? Given (h = 6.62 ×10^-34 Js)

 

Which one of these transitions will result in the emission of a photon of wavelength 124.1 nm? Given (h = 6.62 × 10-34 Js)

24 / 75

24. Two cells are connected between points A and B as shown. Cell 1 has emf of 12 V and internal resistance of 3 Ω. Cell 2 has emf of 6 V and internal resistance of 6 Ω. An external resistor R of 4 Ω is connected across A and B. The current flowing through R will be ____________A.

25 / 75

25. A body of mass 1 kg collides head on elastically with a stationary body of mass 3 kg. After collision, the smaller body reverses its direction of motion and moves with a speed of 2 m/s. The initial speed of the smaller body before collision is__________ ms-1.

26 / 75

CHEMISTRY:

  1. Heat treatment of muscular pain involves radiation of wavelength of about 900 nm. Which spectral line of H atom is suitable for this? Given: Rydberg constant R_H =10^5 cm-¹, h = 6.6 ×10^-34 Js, c = 3 ×10^8 m/s

27 / 75

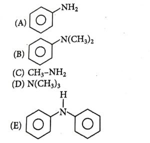
2. Which among the following react with Hinsberg's reagent?

Choose the correct answer from the option given below:

28 / 75

3. Which of the following happens when NH_4 OH is added gradually to the solution containing 1 MA²+ and 1 MB³+ ions?

Given: K_sp [A(OH)_2] = 9 × 10^-10 and

K_sp [B(OH)_3] = 27 ×  10^-18 at 298 K.

29 / 75

4. Ice at -5ºC is heated to become vapor with temperature of 110ºC at atmospheric pressure. The entropy change associated with this process can be obtained from

30 / 75

5. Given statement are two statements:

Statement I: Fructose does not contain and aldehydic group but still reduces Tollen's reagent .

Statement II: In the presence of base, fructose undergoes rearrangement to give glucose.

In the light of the above statements, choose the correct answer from the options given below:

31 / 75

6. The correct stability order of the following species/ molecules is

32 / 75

7. 2.8 × 10-³ mol of CO_2 is left after removing 10²¹ molecules from its 'x' mg sample. The mass of CO_2 taken initially is

Given N_A = 6.02 × 10²³ mol-¹

33 / 75

8. The major product of the following reaction is

34 / 75

9. The element that does not belong to the same period of the remaining elements (modern periodic table) is

35 / 75

10. The d-electronic configuration of an octahedral Co(II) complex having magnetic moment of 3.95 BM is

36 / 75

11.

37 / 75

12. CrCl_3.x NH_3 can exits as a complex. 0.1 molal aqueous solution of this complex shows a depression in freezing point of 0.558º C. Assuming 100% ionisation of this complex and coordination number of Cr is 6, the complex will be

38 / 75

13. What amount of bromine will be required to convert 2 g of phenol into 2,4,6-tribromophenol?

(Given molar mass in g mol-¹ of C, H, O, Br are 12,1,16,80 respectively)

39 / 75

14. The correct set of ions (aqueous solution) with same colour from the following is

40 / 75

15. Propane molecule on chlorination under photochemical condition gives two di-chloro products, ''x'' and ''y''. Amongst ''x'' and ''y'', ''x'' is an optically active molecule. How many tri-chloro products (consider only structural isomers) will be obtained from ''x'' when it is further treated with chlorine under the photochemical condition?

41 / 75

16. Match the List I with List II.

List I List II
A.    Molecules obeying octet rule I.                 NO,NO2
B.     Molecules with incomplete octet II.               BCl3, AlCl3
C.     Molecules with incomplete octet with odd electron III.             H2SO4, PCl5
D.    Molecules with expanded octet IV.            CCl4, CO2

Choose the correct answer from the options given below:

42 / 75

17. Match the List I with List II.

List I List II
A.    Swarts reaction I.                 Ethyl benzene
B.     Sandmeyer’s reaction II.               Ethyl iodide
C.     Wurtz-Fitting reaction III.             Cyanobenzene
D.    Finklestein reaction IV.            Ethyl fluoride

Choose the correct answer from the options given below:

43 / 75

18. The incorrect statement among the following is

44 / 75

19. Given below are two statements:

Statement I: In Lassaigne's test, the covalent organic molecules are transformed into ionic compounds.

Statement II : The sodium fusion extract of an organic compound having N and S gives prussian blue colour with FeSO_4 and Na_4 [Fe(CN)_6].

In the light of the above statements, choose the correct answer from the options given below:

45 / 75

20. The complex that shows Facial-Meridional isomerism is

46 / 75

21. For the decomposition of N_2O_5(g) at constant volume, the following table can be formed, for the reaction mentioned below:

2N2O5(g) 2N2O4(g) + O2(g)

Time/s Total pressure (atm)
1.      0 0.6
2.      100 ‘x’

x = ______× 10-³ atm [nearest integer]

Given: Rate constant for the reaction is 4.606 × 10-² s-¹

47 / 75

22. If 1mM solution of ethylamine produces pH = 9, then the ionization constant (K_b) of ethylamine is 10^-x. The value of x is _____(nearest integer)

[The degree of ionization of ethylamine can be neglected with respect to unity]

48 / 75

23.

49 / 75

24. During 'S' estimation, 160 mg an organic compound gives 466 mg of barium sulphate. The percentage of sulphur in the given compound is _________%

(Given molar mass in g mol^-1 of Ba: 137, S: 32,  O: 16)

50 / 75

25. The standard enthalpy and standard entropy of decomposition of N_2 O_4 to NO_2 are 55.0 kJ mol^-1 and 175.0 J/K/mol respectively. The standard free energy change for this reaction at 25ºC in J mol^-1 is _______(Nearest integer)

51 / 75

MATHS:

52 / 75

2.

53 / 75

3. Let a curve y = f(x) pass through the points (0,5) and (log_e 2,k). If the curve satisfies the differential equation  2 (3+y)e^2x  dx - (7+e^2x) dy = 0, then k is equal to

54 / 75

4.

55 / 75

5. One die has two faces marked 1, two faces marked 2, one face marked 3 and one face marked 4. Another die has one face  marked 1, two faces marked 2, two faces marked 3 and one face marked 4. The probability of getting the sum of numbers to be 4 or 5, when both the dice are thrown together, is

56 / 75

6. Let the area of a ΔPQR with vertices P(5,4), Q (-2,4) and R (a, b) be 35 square units. If its orthocenter and centroid are O (2, 14/5) and C (c, d) respectively, then c + 2d is to

57 / 75

7. If the system of equations

(λ -1) x + (λ - 4)y + λz = 5

λx + (λ - 1)y + (λ - 4)z = 7

(λ + 1) x + (λ +2)y -(λ+2)xz =9

has infinitely many solutions, then λ² + λ is equal to

58 / 75

8.

59 / 75

9. Let the position vectors of the vertices A, B and C of a tetrahedron ABCD be iˆ+2jˆ+kˆ, iˆ+3jˆ-2kˆ and 2iˆ+jˆ-kˆ respectively. The altitude from the vertex D to the opposite face ABC meets the median line segment through A of the triangle ABC at the point E. If the length of AD is √100/3 and the volume of the tetrahedron is √805/6√2, then the position vector of E is

60 / 75

10. If A, B, and (adj (A^-1) + adj (B^-1)) are non-singular matrices of same order, then the inverse of A (adj(A^-1)+adj (B^-1))^-1 B, is equal to

61 / 75

11. Let R = { (1,2), (2,3), (3,3) } be a reaction defined on the set {1,2,3,4}. Then the minimum number of elements, needed to be added in R so that R becomes an equivalence relation, is:

62 / 75

12. Let the arc AC of a circle subtend a right angle at the centre O. If the point B on the arc AC, divides the arc AC such that length of arc AB/ length of arc BC = 1/5, and

63 / 75

13.  Let |z‾ - i|/|2z‾ +i| = 1/3 , z ∈ C, be the equation of a circle with center at C. If the area of the triangle, whose vertices are at the point (0, 0), C and (α, 0) is 11 square units, then α² equals:

64 / 75

14. If the line 3x - 2y + 12 = 0 intersects the parabola 4y = 3x ^2 at the points A and B, then at the vertex of the parabola, the line segment AB subtends an angle equal to

65 / 75

15. If the first term of an A.P. is 3 and the sum of its first four terms is equal to one-fifth of the sum of the next four terms, then the sum of the first 20 terms is equal to

66 / 75

16. The number of words, which can be formed using all the letters of the word "DAUGHTER", so that all the vowels never come together, is

67 / 75

17. The value of (sin 70º)(cot 10º cot 70º - 1) is

68 / 75

18. Marks obtains by all the students of class 12 are presented in a frequency distribution with classes of equal width. Let the median of this grouped data be 14 with median class interval 12-18 and median class frequency 12. If the number of students whose marks are less than 12 is 18, then the total number of students is

69 / 75

19. Let P be the foot of the perpendicular from the point Q(10, -3, -1) on the line x-3/7 =y -2/-1 = z +1/-2. Then the area of the right angled triangle PQR, where R is the point (3, -2, 1), is

70 / 75

20. If π/2 ≤ x ≤ 3π/4, then cos^-1 (12/13 cox + 5/13 sin x) is equal to

71 / 75

21. If the equation a(b - c) x^2 + b(c - a)  x + c (a - b) = 0 has equal roots, where a + c = 15 and b = 36/5, then a^2+ c^2 is equal to  ________

72 / 75

22. Let the circle C touch the line x - y + 1 = 0 have the centre on the positive x-axis, and cut off a chord of length 4/√13 along the line - 3x + 2y = 1. Let H be the hyperbola x^2/α^2 - y^2 /β^2 =1. whose one of the foci is the centre of C and the length of the transverse axis is the diameter of C. Then 2α^2 + 3β^ 2 is equal to _______

73 / 75

23. The sum of all rational terms in the expansion of (1 + 2^ (1/3) + 3^ (1/2))^ 6 is equal to

74 / 75

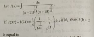
24. If the area of the larger portion bounded between the curves x^2 + y^2 = 25 and y = |x - 1| is 1/4 (bπ + c) b, c ∈ N then b + c is equal to________

75 / 75

25. If the set of all values of a, for which the equation 5x^3 - 15x - a = 0 has three distinct real roots, is the  interval (α, β), then β - 2α is equal to________

Your score is

The average score is 48%