/75
0 votes, 0 avg
3

Your  time starts now

Time out !!!!


IIT-JEE 2026

LTL JEE MAIN FT -11

Greetings from LEARN TO LEAD ACADEMY !!!!

The number of attempts remaining is 1

Greetings from LEARN TO LEAD ACADEMY !!!! All the best !!!!

1 / 75

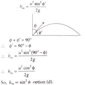
  1. The angle of projection of a particle is measured from the vertical axis as Φ and the maximum height reached by the particle is h_m. Here h_m as function of Φ can be presented as

2 / 75

2. A person measures mass of 3 different particles as 435.42 g, 226.3 g and 0.125 g. According to the rules for arithmetic operations with significant figures, the addition of the masses of 3 particles will be

3 / 75

3. Two blocks of masses m and M, (M > m), are placed on a frictionless table as shown in figure. A massless spring with spring constant k is attached with the lower block. If the system is slightly displaced and released, then (μ- coefficient of friction between the two blocks)

(A) The time period of small oscillations of the two block is T = 2π√(m+M/k)
(B) The acceleration of the block is a =  - kx/M+m (x = displacement of the blocks from the mean position)
(C) The magnitude of the frictional force on the upper block is mµ|x|/M+m
(D) The maximum amplitude of the upper block is, if it does not slip, is μ(M+m)g/k
(E) Maximum frictional force can be µ(M+m)g
Choose the correct answer from the options given below.

4 / 75

4. A particle is released from height S above the surface of the earth. At certain height its kinetic energy is three times its potential energy. The height from the surface of the earth and the speed of the particle at that instant are respectively

5 / 75

5.  Which of the following curves possibly represent one-dimensional motion of a particle?

Choose the correct answer from the options given below

6 / 75

6.  Choose the correct logic circuit for the given truth table having inputs A and B

7 / 75

7. Match the list -I with List -II

 

Choose the correct answer from the options given below.

8 / 75

8. The work function of a metal is 3 eV. The color of the visible light that is required to cause emission of photoelectrons is

9 / 75

9.  A force of 49 N acts tangentially at the highest point of a sphere (solid) of mass 20 kg, kept on a rough horizontal plane. If the sphere rolls without slipping, then the acceleration of the center of the sphere is

10 / 75

10.  A wire of length 25 m and cross-sectional area 5 mm² having resistivity of 2 x 10^-6 Ω m is bent into a complete circle. The resistance between diametrically opposite points will be

11 / 75

11. Consider following statements for refraction of light through prism, when angle of deviation is minimum.

(A) The refracted ray inside prism becomes parallel to the base.

(B) Larger angle prisms provide smaller angle of minimum deviation.

(C) Angle of incidence and angle of emergence becomes equal.

(D) There are always two sets of angle of incidence for which deviation will be same except at minimum deviation setting.

(E) Angle of refraction becomes double of prism angle

Choose the correct answer from the options given below

12 / 75

12. The radii of curvature for a thin convex lens are 10 cm and 15 cm respectively. The focal length of the lens is 12 cm. The refractive index of the lens material is

13 / 75

13. Consider a completely full cylindrical water tank of height 1.6 m and of cross-sectional area 0.5 m². It has a small hole in its side at a height 90 cm from the bottom. Assume the cross-sectional area of the hole to be negligibly small as compared to that of the water tank. If a load 50 kg is applied at the top surface of the water in the tank then the velocity of the water coming out at the instant when the hole is opened is
(g = 10 m/s²)

14 / 75

14. Match the List-I with List -II

List –I List -II
A. Gravitational constant I. [LT-2]
B. Gravitational potential energy II. [L2T-2]
C. Gravitational potential III. [ML2T-2]
D. Acceleration due to gravity IV. [M-¹L³T-2]

Choose the correct answer from the options given below:

15 / 75

15. During the melting of a slab of ice at 273 K at atmospheric pressure

16 / 75

16.  The radiation pressure exerted by a 450 W light source on a perfectly reflecting surface placed at 2 m away from it, is

17 / 75

17. A parallel plate capacitor is filled equally (half) with two dielectrics of dielectric constants ε₁ and ε2, as shown in figures. The distance between the plates is d and area of each plate is A. If capacitance in first configuration and second configuration are C_1 and C₂ respectively, then C_1/C_2 is

 

18 / 75

18. A piston of mass M is hung from a massless spring whose restoring force law goes as F = - kx³, where k is the spring constant of appropriate dimension. The piston separates the vertical chamber into two part is filled with 'n' moles of an ideal gas. An external work is done on the gas isothermally (at a constant temperature T) with the help of a heating filament (with negligible volume) mounted in lower part of the chamber, so that the piston goes up from a height L_o to L₁. the total energy delivered by the filament is

(Assume spring to be in its natural length before heating)

19 / 75

19. A gas is kept in a container having walls which are thermally non-conducting. Initially the gas has a volume of 800 cm³ and temperature 27°C. The change in temperature when the gas is adiabatically compressed to 200 cm³ is (Take γ =  1.5; γ is the ratio of specific heats at constant pressure and at constant volume)

20 / 75

20.  The electrostatic potential on the surface of uniformly charged spherical shell of radius R = 10 cm is 120 V. The potential at the centre of shell, at a distance r = 5 cm from centre, and at a distance r = 15 cm from the centre of the shell respectively, are

21 / 75

SECTION-B (NUMERICAL VALUE TYPE QUESTIONS)

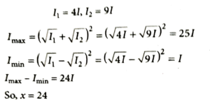
21. Two coherent monochromatic light beams of intensities 4I and 9I are superimposed. The difference between the maximum and minimum intensities in the resulting interference pattern is xI. The value of x is _____________.

22 / 75

22. Three identical spheres of mass m, are placed at the vertices on an equilateral triangle of length a. When released, they interact only through gravitational force and collide after a time T = 4 seconds. If the sides of the triangle are increased to length 2a and also the masses of the spheres are made 2m, then they will collide after __________________seconds.

23 / 75

23. In the figure shown below, a resistance of 150.4 Ω is connected in series to an ammeter A of resistance 240 Ω. A shunt resistance of 10 Ω  is connected in parallel with the ammeter. The reading of the ammeter is__________ mA.

24 / 75

24. A loop ABCDA, carrying current I = 12 A, is placed in a plane, consists of two semi-circular segments of radius R₁ = 6 π m and R₂ = 4π m. The magnitude of the resultant magnetic field at center O is k × 10^-7 T. The value of k is_________.  (Given μ_0 = 4π × 10^-7 Tm A-¹)

25 / 75

25. A 4.0 cm long straight wire carrying a current of 8A is placed perpendicular to a uniform magnetic field of strength 0.15 T. The magnetic force on the wire is _____________mN.

26 / 75

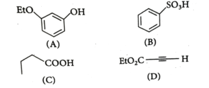
  1. Which of the following is the correct structure of L-Fructose?

27 / 75

2. Correct order of limiting molar conductivity for cations in water at 298 K is

28 / 75

3.  Which compound would give 3-methyl-6-oxoheptanal upon ozonolysis?

29 / 75

4. Number of molecules from below which cannot give iodoform reaction is

Ethanol, Isopropyl alcohol, Bromoacetone, 2-Butanol, 2-Butanone, Butanal, 2-Pentanone, 3-Pentanone, Pentanal and 3-Pentanol.

30 / 75

5. Which of the following statements are correct?

A. The process of adding an electron to a neutral gaseous atom is always exothermic.

B. The process of removing an electron from an isolated gaseous atom is always endothermic.

C. The 1^st ionization energy of boron is less than that of beryllium
D. The electronegativity of C is 2.5 in CH_4 and CCl_4
E. Li is the most electropositive among elements of group I.
Choose the correct answer from the options given below

31 / 75

6. In a reaction A + B → C, initial concentrations of A and B are related as [A]_0 = 8[B]_0 The half lives of A and B are 10 min and 40 min, respectively. If they start to disappear at the same time, both following first order kinetics, after how much time will the concentration of both the reactants be same?

32 / 75

7. In the following system, PCl_5(g)  ⇌  PCl_3(g) + Cl_2(g) at equilibrium, upon addition of xenon gas at constant T and P, the concentration of

 

33 / 75

8. The correct order of the complexes [Co(NH_3)_5,(H₂O)]^3+ (A), [Co(NH_3)_6]^3+, (B), [Co(CN_6)]^3- (C) and [Co Cl(NH_3)_5]^2+ (D) in terms of wavelength of light absorbed is

34 / 75

9. Which of the following properties will change when system containing solution 1 will become solution 2?

35 / 75

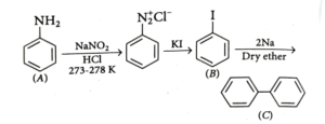
10. Identify [A], [B] and [C], respectively in the following reaction sequence:

36 / 75

11. Match the list -I and list -II.

List-I(Molecules/ion)  List-II (Hybridization of central atom)
A. PF5 I. dsp²
B. SF6 II. sp³d
C. Ni(CO)4 III. sp³d²
D. [PtCl4]2- IV. sp³

Choose the correct answer from the options given below:

37 / 75

12.  Among 10^-9 g (each) of the following elements, which one will have the highest number of atoms? Element: Pb, Po, Pr and Pt

38 / 75

13. The metal ions that have the calculated spin-only magnetic moment value of 4.9 B.M. are:

A. Cr^2+                      B. Fe^2+                      C. Fe^3+                   D. Co^2+             E. Mn^³+

Choose the correct answer from the options given below:

39 / 75

14. Given below are two statements:

Statement I: The N-N single bond is weaker and longer than that of P-P single bond

Statement II: Compounds of group 15 elements in +3 oxidation states readily undergo disproportionation reactions.
In the light of the above statements, choose the correct answer from the options given below:

40 / 75

15. Which of the following postulate of Bohr's model of hydrogen atom is not in agreement with quantum mechanical model of an atom?

41 / 75

16. The least acidic compound, among the following is

42 / 75

17. Given below are two statements:

Statement I: A catalyst cannot alter the equilibrium constant (K_c) of the reaction, temperature remaining constant.

Statement II: A homogenous catalyst can change the equilibrium composition of a system, temperature remaining constant.

In the light of the above statements, choose the correct answer from the options given below:

43 / 75

18. In the following reactions, which one is not correct?

44 / 75

19. Identify the correct statements from the following.

 

Choose the correct answer from the options given below:

45 / 75

20. 2 moles each of ethylene glycol and glucose are dissolved in 500 g of water. The boiling point of the resulting solution is (Given: Ebullioscopic constant of water = 0.52 K kg mol-¹)

46 / 75

SECTION-B (NUMERICAL VALUE TYPE QUESTIONS)

21. Given ΔH°_sub [C(graphite)] = 710 kJ mol^-¹

Δс-нН° = 414 kJ mol^-¹

Δн-нН° = 436 kJ mol^-¹

Δc=cH° =611 kJ mol^-¹

The ΔH°_f for CH_2 = CH_2 ________ is kJ mol^-1. (nearest integer value)

47 / 75

22. Consider the following reactions:

A + NaCl + H₂SO₄ → CrO₂Cl₂ + Side products

Little amount

CrO2Cl2_(Vapour) + NaOH → B+ NaCl + H₂O

B + H^+ →  C + H₂O

The number of terminal 'O' present in the compound 'C' is_______.

48 / 75

23. 0.5 g of an organic compound on combustion gave 1.46 g of CO2 and 0.9 g of H₂O. The percentage of carbon in the compound is ___________. (Nearest integer)

[Given: Molar mass (in g mol^-¹) C: 12, H: 1,0:16)

49 / 75

24. The number of optical isomers exhibited by the iron complex (A) obtained from the following reaction is     ------------------.

FeCl3 + KOH + H₂C₂O₄ → A

50 / 75

25. During estimation of nitrogen by Dumas' method of compound X (0.42 g)

 

________________ mL of N₂ gas will be liberated at STP. (nearest integer)

(Given molar mass in g mol^-¹: C: 12, Η: 1. Ν: 14)

51 / 75

SECTION-A (MULTIPLE CHOICE QUESTIONS)

1. Let A be a matrix of order 3 x 3 and |A| = 5.

If |2 adj (3A adj (2A))| = 2^α. 3^β.5^γ, α, β, γ ∈ N, then a + β + γ is equal to

52 / 75

2. A line passes through the origin and makes equal angles with the positive coordinate axes. It intersects the lines L₁: 2x+y+6=0 and L2: 4x+2y- p = 0, p > 0, at the points A and B, respectively. If AB = 9/√2 and the foot of the perpendicular from the point A on the line L₂ is M, then  AM/BM is equal to

53 / 75

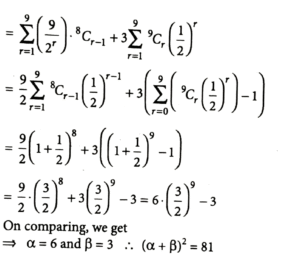
3.

54 / 75

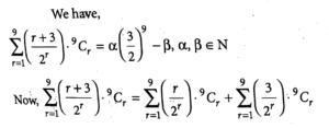
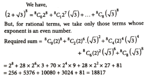
4.  The sum of all rational terms in the expansion of (2+√3)^8 is

55 / 75

5.  Let a_1, a_2,a_3,... be a G.P. of increasing positive numbers. If a_3, a_5 = 729 and a_₂ + a_4 =, 111/4 then 24(a_₁ + a_₂ + a_3) is equal to

56 / 75

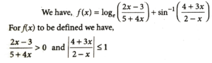
6. If the domain of the function

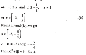
f(x) = log_e (2x-3/5+4x) +sin^-1(4+3x/ 2-x) is [α,β),  then α²+4β is equal to

57 / 75

7.  Let z ∈ C be such that z^2+ 3i/ z - 2+i = 2 + 3i .Then the sum  of all possible values of z^2 is

58 / 75

8.

59 / 75

9.

60 / 75

10.

61 / 75

11.

62 / 75

12.

63 / 75

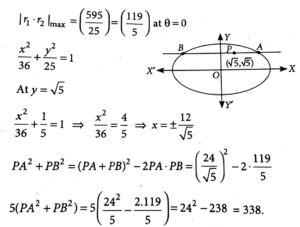
13. A line passing through the point P(√5,√5) intersects the ellipse x²/36+y²/25= 1 at A and B such that (PA).(PB) is maximum. Then 5(PA² + PB²) is equal to:

64 / 75

14. The number of solutions of the equation 2x + 3tan x = π,  x ∈ [-2π, 2π] - {± π/2, ± 3π/2}is

65 / 75

15. Line L₁ passes through the point (1, 2, 3) and is parallel to z-axis. Line L₂ passes through the point (λ, 5, 6) and is parallel to y-axis. Let for λ = λι, λ2, λ₂ < λ₁, the shortest distance between the two lines be 3. Then the square of the distance of the point (λ1, λ2, 7) from the line L₁ is

66 / 75

16.

67 / 75

17.

68 / 75

18. Let A = {-3, -2, -1, 0, 1, 2, 3}. Let R be a relation on A defined by xRy if and only if 0 < x² + 2y ≤ 4. Let l be the number of elements in R and m be the minimum number of elements required to be added in R to make it a reflexive relation. Then l + m is equal to

69 / 75

19. The radius of the smallest circle which touches the  parabolas y = x^2 + 2 and x = y^2 + 2 is

70 / 75

20. The sum 1+3+11+25+45+ 71 + ... upto 20 terms, is equal to

71 / 75

SECTION-B (NUMERICAL VALUE TYPE QUESTIONS)

21. All five letter words are made using all the letters A, B, C, D, E and arranged as in an English dictionary with serial numbers. Let the word at serial number n be denoted by W_n. Let the probability P(W_n) of choosing the word W_n satisfy P(W_n) = 2P(W_n-1), n> 1.

If P(CDBEA) = 2^α/2^β-1,α,β∈N, then α + β is equal to

72 / 75

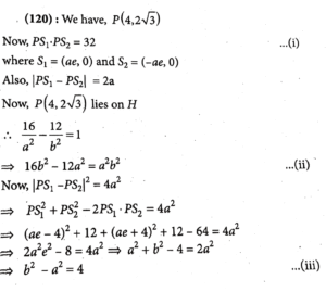
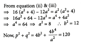
22. Let the product of focal distances of the point P(4, 2√3) on the hyperbola H: x²/a² - y²/b² = 1 be 32. Let the length of the conjugate axis of H be p and the length of its latus rectum be q. Then p² + q² is equal to___________

73 / 75

23. If the number of seven-digit numbers, such that the sum of their digits is even, is m.n.10^n ; m, n ∈ (1, 2, 3, .... 9}, then m + n is equal to_________.

74 / 75

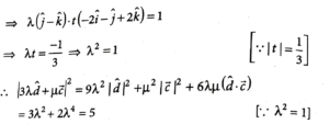
24.  Let vector a =iˆ+jˆ+kˆ, vector b=3iˆ+2jˆ-kˆ, vector c = μjˆ+ukˆ and be a unit vector such that vector a × dˆ =vector b × dˆ and vector c. dˆ=1. If vector c is perpendicular to vector a, then |3λdˆ+μ vector c|^2 is equal to

75 / 75

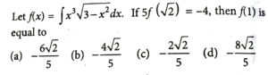
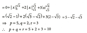
25. The area of the region bounded by the curve y = max {|x|, x|x-2|}, the x-axis and the lines x = -2 and x = 4 is equal to Solutions

Your score is

The average score is 34%