/75
0 votes, 0 avg
0

Your time starts now

Time out !!!!


IIT-JEE 2026

LTL JEE MAIN FT-10

Greetings from LEARN TO LEAD ACADEMY!!!

The number of attempts remaining is 1

Greetings from LEARN TO LEAD ACADEMY !!! All the best !!!!

1 / 75

1.  Given below are two statements: one is labelled as Assertion (A) and the other is labelled as Reason(R). Assertion (A): Net dipole moment of a polar linear isotropic dielectric substance is not zero even in the absence of an external electric field.

Reason (R): In absence of an external electric field, the different permanent dipoles of a polar dielectric substance are oriented in random directions.

In the light of the above statements, choose the most appropriate answer from the options given below:

2 / 75

2.Energy released when two deuterons (1H^2) fuse to form a helium nucleus (2He^4) is

(Given: Binding energy per nucleon of ₁H²= 1.1 MeV and binding energy per nucleon of ₂He^4 = 7.0 MeV)

3 / 75

3. In the digital circuit shown in the figure, for the given inputs the P and Q values are

4 / 75

4. A sportsman runs around a circular track of radius r such that he traverses the path ABAB. The distance travelled and displacement, respectively, are

5 / 75

5. A solenoid having area A and length 'l' is filled with a material having relative permeability 2. The magnetic energy stored in the solenoid is

6 / 75

6. Given a charge q, current I and permeability of vacuum μ_ο. Which of the following quantity has the dimension of momentum ?

7 / 75

7. Two large plane parallel conducting plates are kept 10 cm apart as shown in figure. The potential difference between them is V. The potential difference between the points A and B (shown in the figure) is

8 / 75

8. Two water drops each of radius 'r' coalesce to form a bigger drop. If 'T' is the surface tension, the surface energy released in this process is

9 / 75

9. Assuming the validity of Bohr's atomic model for hydrogen like ions the radius of Li^++ ion in its ground state is given by 1/X a_0, where X = _______ (Where a_0 is the first Bohr's radius.)

10 / 75

10. A sinusoidal wave of wavelength 7.5 cm travels a distance of 1.2 cm along the x-direction in 0.3 sec. The crest P is at x = 0 at t = 0 sec and maximum displacement of the wave is 2 cm. Which equation correctly represents this wave ?

11 / 75

11. If µ_o and ε_o are the permeability and permittivity of free space, respectively, then the dimension of (1/µ_0 ε_0) is

12 / 75

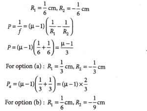
12. A bi-convex lens has radius of curvature of both the surfaces same as 1/6 cm. If this lens is required to be replaced by another convex lens having different radii of curvatures on both sides (R₁ ≠ R2), without any change in lens power then possible combination of R₁ and R₂ is

13 / 75

13. Two identical objects are placed in front of convex mirror and concave mirror having same radii of curvature of 12 cm, at same distance of 18 cm from the respective mirrors. The ratio of sizes of the images formed by convex mirror and by concave mirror is

14 / 75

14. Identify the characteristics of an adiabatic process in a monoatomic gas.

(A) Internal energy is constant.

(B) Work done in the process is equal to the change in internal energy.

(C) The product of temperature and volume is a constant.

(D) The product of pressure and volume is a constant.

(E) The work done to change the temperature from T₁ to T₂ is proportional to (T2 - T₁).

Choose the correct answer from the options given below

15 / 75

15. The moment of inertia of a circular ring of mass M and diameter r about a tangential axis lying in the plane of the ring is

16 / 75

16. Match List -I with List -II

List-I List-II
(A) Heat capacity of body (I) Jkg1
(B) Specific heat capacity of body (II) J K1
(C) Latent heat (III) Jkg1 K1
(D) Thermal conductivity (IV) Jm1K1s1

Choose the correct answer from the options given below.

17 / 75

17. In a moving coil galvanometer, two moving coils M₁ and M₂ have the following particulars

R₁ = 5 Ω, Ν₁ = 15, A₁ = 3.6 × 10^–3 m², B₁ = 0.25 T

R2= 7 Ω, Ν₂ = 21, A2 = 1.8 × 10^–3 m², B₂ = 0.50 T

Assuming that torsional constant of the springs are same for both coils, what will be the ratio of voltage sensitivity of M₁ and M₂?

18 / 75

18. Consider a circular loop that is uniformly charged and has a radius a√2. Find the position along the positive z-axis of the cartesian coordinate system where the electric field is maximum if the ring was assumed to be placed in xy plane at the origin

19 / 75

19. A body of mass 1 kg is suspended with the help of two strings making angles as shown in figure. Magnitudes of tensions T₁ and T₂, respectively, are (in N) (Take acceleration due to gravity 10 m/s²)

20 / 75

20. An electron with mass 'm' with an initial velocity (t = 0) v^→ = v_o i^ (v_o > 0) enters a magnetic field B^→ = B_o j^. If the initial de-Broglie wavelength at t = 0 is λ_0, then its value after time 't' would be

21 / 75

21. A satellite of mass 1000 kg is launched to revolve around the earth in an orbit at a height of 270 km from the earth's surface. Kinetic energy of the satellite in this orbit is __________× 10^10 J.

(Mass of earth = 6 x 10^24 kg, Radius of earth = 6.4 × 10^6 m, Gravitational constant = 6.67 × 10^-11 Nm²kg^-2)

22 / 75

22. The internal energy of air in 4m x 4m x 3 m sized room at 1 atmospheric pressure will be _________ × 10^6 J.(Consider air as diatomic molecule)

23 / 75

23. A wheel of radius 0.2 m rotates freely about its center when a string that is wrapped over its rim is pulled by force of 10 N as shown in figure.

The established torque produces an angular acceleration of 2 rad/s². Moment of inertia of the wheel is ________kg m². (Acceleration due to gravity = 10 m/s²)

24 / 75

24. A ray of light suffers minimum deviation when incident on a prism having angle of the prism equal to 60°. The refractive index of the prism material is √2. The angle of incidence (in degrees) is_______.

25 / 75

25. The length of a light string is 1.4 m when the tension on it is 5 N. If the tension increases to 7 N, the length of the string is 1.56 m. The original length of the string is __________m.

26 / 75

CHEMISTRY

  1. 'x' g of NaCl is added to water in a beaker with a lid. The temperature of the system is raised from 1°C to 25°C. Which out of the following plots, is best suited for the changes in the molarity (M) of the solution with respect to temperature? [Consider the solubility of NaCl remains unchanged over the temperature range.

27 / 75

2. Which of the following graphs correctly represents the variation of thermodynamic properties of Haber's process

28 / 75

3. In Dumas' method for estimation of nitrogen, 0.5 gram of an organic compound gave 60 mL of nitrogen collected at 300 K temperature and 715 mm Hg pressure. The percentage composition of nitrogen in the compound (Aqueous tension at 300 K = 15 mm Hg) is_________ %.

29 / 75

4. The d-orbital electronic configuration of the complex among [Co(en)3]^3+, [CoF_6]^3-, [Mn(H2O)_6]^2+ and [Zn(H2O)_6]^2+ that has the highest CFSE is

30 / 75

5. Match List -I with List -II

List-I (Purification technique)  List-II (Mixture of organic compounds)
A. Distillation (simple) I. Diesel + Petrol
 B. Fractional distillation II. Aniline + Water
C. Distillation under reduced pressure III. Chloroform + Aniline
D. Steam distillation IV. Glycerol + Spent-lye

31 / 75

6. Which among the following molecules is (A) involved in sp³d hybridization, (B) has different bond lengths and (C) has lone pair of electrons on the central atom?

32 / 75

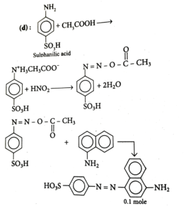
7. When a concentrated solution of sulphanilic acid and 1-naphthylamine is treated with nitrous acid (273 K) and acidified with acetic acid, the mass (g) of 0.1 mole of product formed is (Given molar mass in g mol¯¹ H: 1, C: 12, N : 14, O: 16, S: 32)

33 / 75

8. Given below are two statements:

Statement (I) : Neopentane forms only one monosubstituted derivative.

Statement (II): Melting point of neopentane is higher than n-pentane. In the light of the above statements, choose the most appropriate answer from the options given below:

34 / 75

9. Which of the following statements are true?

(A) The subsidiary quantum number l describes the shape of the orbital occupied by the electron.

(B) Above the figure

(C) The + and - signs in the wave function of the 2p_x orbital refer to charge.

(D) The wave function of 2p_x orbital is zero everywhere in the xy plane.

35 / 75

10. Consider the following reactions. From these reactions which reaction will give carboxylic acid as a major product?

 

Choose the correct answer from the options given below:

 

36 / 75

11. The nature of oxide (TeO2) and hydride (TeH2) formed by Te, respectively are

37 / 75

12. Formation of Na4[Fe(CN)_5,NOS], a purple coloured complex formed by addition of sodium nitroprusside in sodium carbonate extract of salt indicates the presence of

38 / 75

13. A tetrapeptide, "x" on complete hydrolysis produced glycine (Gly), alanine (Ala), valine (Val), leucine (Leu) in equimolar proportion each. The number of tetrapeptides (sequences) possible involving each of these amino acids is

39 / 75

14. Consider the following chemical equilibrium of the gas phase reaction at a constant temperature :

A_(g)  B_(g) + C_(g)

If p being the total pressure, K_p is the pressure equilibrium constant and α is the degree of dissociation, then which of the following is true at equilibrium?

40 / 75

15. The type of hybridization and the magnetic property of [MnCl_6]^3- are

41 / 75

16. Electronic configuration of four elements A, B, C and D are given below:

Which of the following is the correct order of increasing electronegativity (Pauling's scale)?

(A) 1s^2 2s^2 2p³

(B) 1s^2 2s^2 2p^4

(C) 1s^2 2s^2 2p^5

(D) 1s^2 2s^2 2p²

42 / 75

17. Reactant A converts to product D through the given mechanism (with the net evolution of heat):

A→B slow; ∆H = +ve

B→C fast; ∆H = -ve

C→D fast; ∆H = -ve

Which of the following represents the above reaction mechanism?

43 / 75

18. In, 3, 3-dimethylhex-1-en-4-yne, there are ________sp^3 and________sp^2 and _____ sp hybridised carbon atoms respectively.

44 / 75

19.Arrange the following in order of magnitude of work done by the system/on the system at constant temperature.

(A) |W_reversible| for expansion in infinite stages.

(B) |W_irreversible| for expansion in single stage.

(C) |W_reversible| for compression in infinite stages.

(D) |W_irreversible| for compression in single stage.

Choose the correct answer from the options given below:

45 / 75

20. Match the List -I and List -II

Choose the correct answer from the options given below:

46 / 75

21. The spin-only magnetic moment value of M^n+ ion formed among Ni, Zn, Mn and Cu that has the least enthalpy of atomisation is  ___________. (in nearest integer)

Here n is equal to the number of diamagnetic complexes among K₂[NiCl4], [Zn(H2O)_6]Cl2, K3 [Mn(CN)_6] and [Cu(PPh3)3I]

47 / 75

22. 0.2% (w/v) solution of NaOH is measured to have resistivity 870.0  mΩ m. The molar conductivity of the solution will be_________ × 10^2 mS dm² mol^-1. (Nearest integer)

48 / 75

23. Consider the above sequence of reaction. 151 g of 2-bromopentane is made to react. Yield of major product P is 80% whereas Qis 100%.

Mass of product Q obtained is _______________ g. (Given molar mass in g mol^-¹ H: 1, C: 12, O: 16, Br: 80)

49 / 75

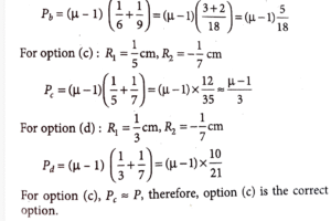
24. When 1 g each of compounds AB and AB_2 are dissolved in 15 g of water separately, they increased the boiling point of water by 2.7 K and 1.5 K respectively. The atomic mass of A (in amu) is___________ × 10^-1 (Nearest integer)

(Given: Molal boiling point elevation constant is 0.5 K kg mol^-¹.)

50 / 75

25. For the reaction A→B the following graph was obtained. The time required (in seconds) for the concentration of A to reduce to 2.5 g L^-¹ (if the initial concentration of A was 50 g L^-¹) is_________ (Nearest integer) Given: log 2 = 0.3010

51 / 75

MATHS

  1. Let the area of the triangle formed by a straight line L: x + by +c  =0 with co-ordinate axes be 48 square units. If the perpendicular drawn from the origin to the line L makes an angle of 45° with the positive x-axis, then value of b² + c²  is :

52 / 75

2.

53 / 75

3.

54 / 75

4. If the system of equations

2x + λy +3z = 5

3x +2y - z = 7

4x + 5y +μz = 9

has infinitely many solutions, then (λ²+μ²) is equal to:

55 / 75

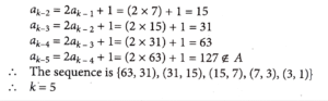
5. Let A = {1, 2 , 3 , ... 100} and R be a relation on A such that R = {(a, b):  a = 2b + 1}. Let (a_1 , a_2), (a_2, a_3), (a_3, a_4), ...., (a_k, a_k +1) be a sequence of k elements of R such that the second entry of an ordered pair is equal to the first entry of the next ordered pair. Then the largest integer k, for which such a sequence exists, is equal to :

56 / 75

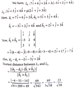
6. If the image of the point P (1, 0, 3) in the line joining the points A(4, 7 , 1) and B (3, 5 , 3) is Q (α, β, γ), then

α+ β + γ is equal to :

57 / 75

7.

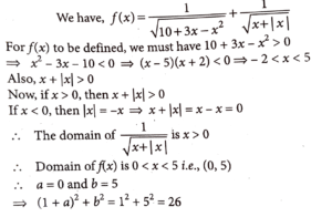
(1 + a)² + b² = is equal to:

58 / 75

8.

59 / 75

9.

60 / 75

10.

61 / 75

11.

62 / 75

12. The number of ways, in which the letters A, B, C, D, E can be placed in the 8 boxes of the figure below so that no row remains empty and at most one letter can be placed in a box, is:

63 / 75

13. Let the point P of the focal chord PQ of the parabola y² = 16x be (1, -4). If the focus of the parabola divides the chord PQ in the ratio m :n, gcd (m, n) = 1, then m² + n² is equal to :

64 / 75

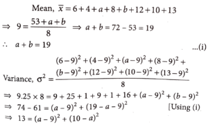
14. If the mean and variance of 6, 4, a, 8, b, 12, 10, 13 are 9 and 9.25 respectively,  than a + b+ ab equal to:

65 / 75

15.

66 / 75

16.

67 / 75

17. The number of terms of an A.P. is even; the sum of all the odd terms is 24, the sum of all the even terms is 30 and the last term exceeds the first by 21/2. Then the number of terms which are integers in the A.P. is:

68 / 75

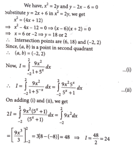
18. Let (a, b) be the point of intersection of the curve x² = 2y and the straight line  y - 2x - 6 = 0 in the second quadrant. Then the integral I = b^∫_a 9x²/1+5^x dx is equal to:

69 / 75

19. If the length of the minor axis of an ellipse is equal to one fourth of the distance between the foci, then the eccentricity of the ellipse is:

 

70 / 75

20. Let A be a 3 × 3 real matrix such that A² (A - 2I) - 4 (A - I) = O, where I and O are the identity and null matrices, respectively. If A^5  = α A² + βA + γI, where α, β and γ are real constants, then α + β + γ  is equal to:

71 / 75

21. If the sum of the first 10 terms of the series

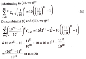
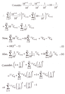
4.1/ 1+4.1^4 + 4.2 /1+4.2^4 + 4.3 / 1+4.3^4 + .... is m/n, where gcd (m, n) = 1, then m + n is equal  to _______ .

72 / 75

22. Let A (4, -2), B (1,1) and C(9, -3) be the vertices of a triangle ABC. Then the maximum area of the parallelogram AFDE, formed with vertices D, E and F on the sides BC, CA and AB of the triangle ABC respectively, is ______.

73 / 75

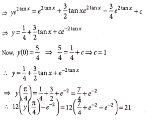
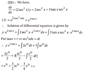
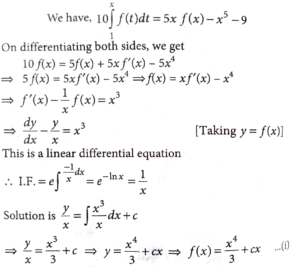
23. Let y = y(x) be the solution of the differential equation dy/dx + 2y sec² x = 2 sec² x + 3 tan x . sec² x such that y(0) = 5/4. Then 12 (y (π/4) - e-² ) is equal to ______.

74 / 75

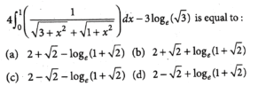
24. If the set all a ∈ R - {1}, for which the roots of the equation (1 - a) x² + 2 (a - 3) x +9 = 0 are positive (-∞, -α] ∪ [β, γ), then 2α + β +γ is equal to  _________.

 

75 / 75

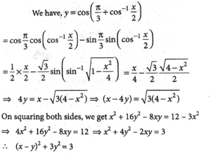
25. If y = cos (π/3 + cos-¹ x/2), then (x- y)² + 3y² is equal to ________.

Your score is

The average score is 0%