/75
0 votes, 0 avg
1

Your time starts now

Time out!!!


IIT-JEE 2026

LTL JEE MAIN 2026 FULL TEST-1

Greetings from LEARN TO LEAD ACADEMY!!!

The number of attempts remaining is 1

Greetings from LEARN TO LEAD ACADEMY !!! All the best !!!!

1 / 75

1.Given below are two statements: ONE is labelled as Assertion (A) and the other is labelled as Reason (R).

Assertion (A): Photodiodes are preferably operated in reverse bias condition for light intensity measurement.

Reason (R): The current in the forward bias is more than the current in the reverse bias for a p-n junction diode. In the light of the above statements, choose the correct answer from the options given below:

2 / 75

2. A travelling wave is described by the equation y(x, t) = [0.05 sin (8x-4t] m. The velocity of the wave is [All the quantities are in SI units.]

3 / 75

3. Two long straight wires P and Q carrying equal current 10 A each were kept parallel to each other at 5 cm distance. Magnitude of magnetic force experienced by 10 cm length of wire P is F₁. If distance between wires is halved and currents on them are doubled, force F₂ on 10 cm length of wire P will be

4 / 75

4. Consider the following radioactive decay process

The mass number and the atomic number of A6 are give by

5 / 75

5. From the photoelectric effect experiment, following observations are made. Identify which of these are correct.

A. The stopping potential depends only on the work function of the metal.

B. The saturation current increases as the intensity of incident light increases.

C. The maximum kinetic energy of a photo electron depends on the intensity of the incident light.

D. Photoelectric effect can be explained using wave theory of light Choose the correct answer from the options given below

6 / 75

6. If E^→and  K^→ represent electric field and propagation vectors of the EM waves in vacuum, then magnetic field vector is given by (ω-angular frequency)

7 / 75

7. A circular loop of radius r is carrying current I A. The ratio of magnetic field at the center of circular loop and at a distance r from the center of the loop on its axis is

8 / 75

8. A 100 m long wire having cross-section area 6.25 × 104 m² and Young’s modulus is 1010 N m2 is subjected to a load of 250 N, then the elongation in the wire will be

9 / 75

9. As per given figure, a weightless pulley P is attached on a double inclined frictionless surfaces. The tension in the string (massless) will be (if g = 10 m/s²)

10 / 75

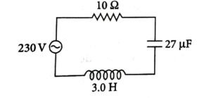
10. As shown in the figure, a network of resistors is connected to a battery of 24 V with an internal resistance of 3Ω. The currents through the resistors R4 and R5 are I4 and I5 The values of I4 and I5 are

11 / 75

11. Match List I with List II.

List-I List-II
(A) Planck’s constant (h) (I) [M1L2T-2]
(B) Stopping potential (Vs) (II) [M1L1T1]
(C) Work function (∅) (III) [M1L2T-1]
(D) Momentum (p) (IV) [M1L2T-3A-1]

Choose the correct answer from the options given below.

12 / 75

12.Given below are two statements.

Statement I: An elevator can go up or down with uniform speed when its weight is balanced with the tension of its cable.

Statement II: Force exerted by the floor of an elevator on the foot of a person standing on it is more than his/ her weight when the elevator goes down with increasing speed.

In the light of the above statements, choose the correct answer from the options given below.

13 / 75

13. The weight of a body at the surface of earth is 18 N. The weight of the body at an altitude of 3200 km above the earth’s surface is (given radius of earth Re = 6400 km)

14 / 75

14. A conducting circular loop of radius 10/√π cm is placed perpendicular to a uniform magnetic field of 0.5 T. The magnetic field is decreased to zero in 0.5 s at a steady rate. The induced emf in the circular loop at 0.25 s is

15 / 75

15. The maximum vertical height to which a man can throw a ball is 136 m. The maximum horizontal distance up to which he can throw the same ball is

16 / 75

16. If two charges q₁ and q2 are separated with distance ‘d’ and placed in a medium of dielectric constant k. What will be the equivalent distance between charges in air for the same electrostatic force?

17 / 75

17. A spherical body of mass 2 kg starting from rest acquires a kinetic energy of 10000 J at the end of 5th The force acted on the body is __________________________________ N.

18 / 75

18. A hollow cylindrical conductor has length of 3.14 m, while its inner and outer diameters are 4 mm and 8 mm respectively. The resistance of the conductor is n × 103 Ω. If the resistivity of the material is 2.4 × 108 Ωm. The value of n is _________________.

19 / 75

19. Assume that protons and neutrons have equal masses. Mass of a nucleon is 1.6 × 10-27 kg and radius of nucleus is 1.5 × 10-15 A1/3 m. The approximate ratio of the nuclear density and water density is n × 1013. The value of n is_______________.

20 / 75

20. Vectors a i^ + b^j +^k  and 2^i - 3j+ 4^k are perpendicular to each other when 3a + 2b = 7, the ratio of a to b is x/2. The value of x is_____________.

21 / 75

21. A stream of a positively charged particles having q/m = 2×1011 Ckg-1 and velocity v^→_0  = 3 × 107 iˆ      m s-1 is deflected by an electric field 1.8 jˆ kV m-1. The electric field exists in a region of 10 cm along x direction. Due to the electric field, the deflection of the charge particles in the y direction is ___________________ mm.

22 / 75

22. In the circuit shown in the figure, the ratio of the quality factor and the band- width is__________________________ s.

23 / 75

23. If two vectors P^→ = iˆ + 2m jˆ +m kˆ and Q^→ = 4iˆ −2jˆ +m kˆ are perpendicular to each other. Then, the value of m will be

24 / 75

24.Given below are two statements.

Statement I: Acceleration due to earth’s gravity decreases as you go ‘up’ or ‘down’ from earth’s surface.

Statement II: Acceleration due to earth’s gravity is same at a height ‘h’ and depth ‘d’ from earth’s surface, if h = d.

25 / 75

25.A body of mass 200 g is tied to a spring of spring constant 12.5 N/m, while the other end of spring is fixed at point O. If the body moves about O in a circular path on a smooth horizontal surface with constant angular speed 5 rad/s. Then the ratio of extension in the spring to its natural length will be

26 / 75

CHEMISTRY 

1.  Match List -I with List -II

List-I  List-II
(A) Al3+ 2+ + (I) Ionization enthalpy
(B) B < C < O < N (II) Metallic character
(C) B < Al < Mg < K (III) Electronegativity
(D) Si < P < S < Cl (IV) Ionic radii

Choose the correct answer from the options given below:

27 / 75

2.  Which of the following electrolyte can be used to obtain H2S2O8 by the process of electrolysis?

28 / 75

3. Given below are two statements:

Statement I: One mole of propyne reacts with excess of sodium to liberate half a mole of H2 gas.

Statement II: Four g of propyne reacts with NaNH2 to liberate NH3 gas which occupies 224 mL at STP.

In the light of the above statements, choose the most appropriate answer from the options given below:

29 / 75

4. A vessel at 1000 K contains CO₂ with a pressure of 0.5 atm. Some of CO2 is converted into CO on addition of graphite. If total pressure at equilibrium is 0.8 atm, then Kp is

30 / 75

5.  The products formed in the following reaction sequence are:

31 / 75

6. A liquid when kept inside a thermally insulated closed vessel at 25 °C was mechanically stirred from outside. What will be the correct option for the following thermodynamic parameters?

32 / 75

7.  Which of the following Electronegativity order is incorrect?

33 / 75

8. Arrange the following solutions in order of their increasing boiling points.

(i) 104 M NaCl

(ii) 104 M Urea

(iii) 103 M NaCl

(iv) 102 M NaCl

34 / 75

9. The IUPAC name of the following compound is

35 / 75

10. From the magnetic behaviour of [NiCl4]2- (paramagnetic) and [Ni(CO)4] (diamagnetic), choose the correct geometry and oxidation state.

36 / 75

11.Which of the following statement is not true for radioactive decay?

37 / 75

12. Lanthanoid ions with 4f 7 configuration are:

(A) Eu2+ (B) Gd3+ (C) Eu3+ (D) Tb3+ (E) Sm2+

Choose the correct answer from the options given below:

38 / 75

13.  How many different stereoisomers are possible for the given molecule?

39 / 75

14. In which of the following complexes the CFSE, Δ0 will be equal to zero?

40 / 75

15. Which of the following acids is a vitamin?

41 / 75

16. Given below are two statements:

Statement I: CH3-O-CH2-Cl will undergo S_N1 reaction though it is a primary halide.

 

undergo S_N2 reaction very easily though it is a primary halide. In the light of the above statements, choose the most appropriate answer from the options given below:

42 / 75

17. The incorrect statements regarding geometrical isomerism are:

(A) Propene shows geometrical isomerism.

(B) Trans-isomer has identical atoms/groups on the opposite sides of the double bond.

(C) Cis-but-2-ene has higher dipole moment than trans-but-2-ene.

(D) 2-Methylbut-2-ene shows two geometrical isomers.

(E) Trans-isomer has lower melting point than cis-isomer.

Choose the correct answer from the options given below:

43 / 75

18. Radius of the first excited state of helium ion is given as: a_0→ Radius of first stationary state of hydrogen atom.

44 / 75

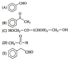
19. The compounds which give positive Fehling's test are:

Choose the correct answer from the options given below:

45 / 75

20. A solution of aluminium chloride is electrolysed for 30 minutes using a current of 2 A. The amount of the aluminium deposited at the cathode is _________________.[Given: Molar mass of aluminium and chlorine are 27 g mol^-1 and 35.5 g mol^-1 respectively. Faraday constant = 96500 C mol^-1]

46 / 75

21.  Consider the following sequence of reactions:

Molar mass of the product formed (A)_____________ is g mol^-1

47 / 75

22. In Carius method for estimation of halogens, 180 mg of an organic compound produced 143.5 mg of AgCl. The percentage composition of chlorine in the compound is________________ %. (Given: Molar mass in g mol^-1  of Ag: 108, Cl: 35.5)

48 / 75

23. Some CO_2 gas was kept in a sealed container at a pressure of 1 atm and at 273 K. This entire amount of CO_2 gas was later passed through an aqueous solution of Ca(OH)_2. The excess unreacted Ca(OH)_2 was later neutralized with 0.1 M of 40 mL HCl. If the volume of the sealed container of CO2 was x, then x is ______________cm³ (nearest integer). [Given: The entire amount of CO_2(g) reacted with exactly half the initial amount of Ca(OH)_2 present in the aqueous solution.]

49 / 75

24. A→ B

The molecule A changes into its isomeric form B by following a first order kinetics at a temperature of 1000 K. If the energy barrier with respect to reactant energy for such isomeric transformation is 191.48 kJ mol^-1 and the frequency factor is 10^20, the time required for 50% molecules of A to become B is ________ picoseconds (nearest integer). [R = 8.314 J K¯¹ mol¯¹]

50 / 75

25. The number of molecules/ions that show linear geometry among the following is  ____________ .

SO2, BeCl2, CO2, N3^-, NO2, F₂O, XeF2,NO^+2, I^-_3 O3

51 / 75

  1. Let x = x(y) be the solution of the differential equation  y² dx+ (x-1/y) dy =0. If x (1) =1, then x (1/2) is:

52 / 75

2. Let A = {1, 2, 3,...., 10 } and B = {m/n: m, n ∈ A, m < n and gcd (m. n)=1 }. Then n (B) is equal to :

53 / 75

3.

54 / 75

4. The area of the region, inside the circle (x-2√3)² + y²=12 and outside the parabola y² = 2√3x is:

55 / 75

5. The product of all solutions of the equation e^5(log_e x)²+3 = x^8, x > 0, is :

56 / 75

6.

57 / 75

7. Let a_1, a_2, a_3, .... be a G.P. of increasing positive terms. If a_₁ a_5 = 28 and a_₂ + a_4 = 29, then a_6 is equal to:

58 / 75

8.

59 / 75

9. Let the foci of a hyperbola be (1, 14) and (1, -12). If it passes through the point (1, 6) then the length of its latus-rectum is :

60 / 75

10. From all the English alphabets, five letters are chosen and are arranged in alphabetical order. The total number of ways, in which the middle letter is 'M', is:

61 / 75

11. The number of non-empty equivalence relations on the set {1, 2, 3} is:

62 / 75

12. Let f(x) be a real differentiable function such that f(0)= 1 and f(x + y) = f(x)f′(y) + f′(x)f(y) for all x, y ∈ R.

63 / 75

13. Using the principal values of the inverse trigonometric functions, the sum of the maximum and the minimum values of 16((sec^-1 x)^² + (cosec^-1 x)^²) is:

64 / 75

14. A circle C of radius 2 lies in the second quadrant and touches both the coordinate axes. Let r be the radius of a circle that has centre at the point (2, 5) and intersects the circle C at exactly two points. If the set of all possible values of r is the interval (α, β), then 3β – 2α is equal to:

65 / 75

15. Let z_1, z_2 and z_3 be three complex number on the circle |z| = 1 with arg (z_₁) = –π/4, arg (z_2) = 0 and  arg (z_3) = π/4. If|z_1 z_2+z_2 z_3+z_3 z_1|^² = α+β√2, α,β ∈ Z, then the value of α² + β² is :

66 / 75

16. Let the triangle PQR be the image of the triangle with vertices (1, 3), (3, 1) and (2, 4) in the line x + 2y = 2. If the centroid of ΔPQR is the point (α, β), then 15(α – β) is equal to:

67 / 75

17. Two balls are selected at random one by one without replacement from a bag containing 4 white and 6 black balls. If the probability that the first selected balls is black, given that the second selected ball is also black is m/n, where gcd(m, n) = 1, then m + n is equal to:

68 / 75

18. A coin is tossed three times. Let X denote the number of times a tail follows a head. If μ and σ² denote the mean and variance of X, then the value of 64 (μ + σ²) is :

69 / 75

19. Let the parabola y = x² + px - 3, meet the coordinate axes at the points P, Q and R. If the circle C with centre at (-1,-1) passes through the points P, Q and R, then the area of ΔPQR is:

70 / 75

20. Let f: R→R be a twice differentiable function such that f(x + y) = f(x) f(y) for all x, y∈ R If f' (0) = 4a and f satisfies f" (x) = 3a f'(x) - f (x) = 0, a > 0, then the area of the region R = {(x, y) | 0 ≤ y ≤ f(ax), 0 ≤ x ≤2} is :

71 / 75

21.

72 / 75

22.

differentiable for all x ∈ R, where a > 1, b ∈ R. If the area of the region enclosed by y = f(x) and the line y = -20 is α+β√3, α, β ∈ Ζ, then the value of α +β is

73 / 75

23. Let A be a square matrix of order 3 such that det (A) = -2 and det (3adj (-6adj (3A))) = 2^m+n .3^mn, m > n. Then 4m + 2n is equal to

74 / 75

24.

75 / 75

25.

Your score is

The average score is 53%