/75
0 votes, 0 avg

Your time starts now!!!

Time out!!!


IIT JEE MAIN 2026

LTL JEE MAIN FULL TEST 16

Greetings from LEARN TO LEAD ACADEMY!!!

The number of attempts remaining is 2

Greetings from LEARN TO LEAD ACADEMY!!! All the best!!!

1 / 75

1.  The given circuit works as

2 / 75

2. A parallel plate capacitor has capacitance C, when there is vacuum within the parallel plates. A sheet having thickness (1/3)rd of the separation between the plates and relative permittivity K is introduced between the plates. The new capacitance of the system is

3 / 75

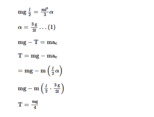
3. A uniform rod of mass m and length Ɩ suspended by means of two identical inextensible light strings as shown in figure. Tension in one string immediately after the other string is cut, is____________. (g acceleration due to gravity)

4 / 75

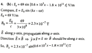
4. The electric field in a plane electromagnetic wave is given by:

E_y = 69 sin [0.6 × 10^3 x − 1.8 × 10¹¹t] V/m.

The expression for magnetic field associated with this electromagnetic wave is _____T.

5 / 75

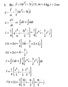
5. A 4 kg mass moves under the influence of a force F → =(4t^3 i^-3t j^) N where t is the time in second. If mass starts from origin at t = 0, the velocity and position after t = 2 s will be

6 / 75

6. If an alpha particle with energy 7.7 MeV is bombarded on a thin gold foil, the closest distance from nucleus it can reach is ________m.

(Atomic number of gold = 79 and 1/ 4πε_0= 9 × 10^9 in SI units)

7 / 75

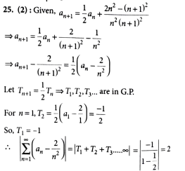
7. Water flows through a horizontal tube as shown in the figure. The difference in height between the water columns in vertical tubes is 5 cm and the area of cross- sections at A and B are 6 cm² and 3 cm² respectively. The rate of flow will be ____________ cm³/s. (Take g=10 m/s²)

8 / 75

8. Consider a modified Bernoulli equation.

(P+ A /Bt^2) + ρ g(h+Bt) +1/2 ρV2 = constant

If t has the dimension of time then the dimensions of A and B are _________, ________respectively.

9 / 75

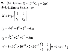
9. A point charge of 10^-8 C is placed at origin. The work done in moving a point charge 2 µC from point A(4, 4, 2) m to B(2, 2, 1) m is _________J. (1/4πε_0 =9 × 10^9 in SI units )

10 / 75

10. A gas based geyser heats water flowing at the rate of 5.0 litres per minute from 27°C to 87°C.

The rate of combustion of the gas is_________ g/s.

Take heat of combustion of gas = 5.0 × 10^4 J/g

specific heat capacity of water = 4200 J/kg.°C

11 / 75

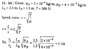
11. Two strings (A, B) having linear densities

µ_A = 2 × 10^_4 kg/m and, µ_B = 4 × 10^-4 kg/m and lengths L_A = 2.5 m and L_B = 1.5 m respectively are joined. Free ends of A and B are tied to two rigid supports C and D, respectively creating a tension of 500 N in the wire. Two identical pulses, sent from C and D ends, take time t_₁ and t_₂, respectively, to reach the joint. The ratio t_₁/t_₂ is

12 / 75

12. Initially a satellite of 100 kg is in a circular orbit of radius 1.5R_E. This satellite can be moved to a circular orbit of radius 3R_E by supplying α × 10^6 J of energy. The value of α is ________.

(Take Radius of Earth R_E = 6 × 10^6 m and g=10 m/s²)

13 / 75

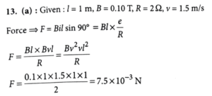
13. A 1 m long metal rod AB completes the circuit as shown in figure. The area of circuit is perpendicular to the magnetic field of 0.10 T. If the resistance of the total circuit is 2Ω then the force needed to move the rod towards right with constant speed (v) of 1.5 m/s is_____ N.

14 / 75

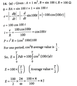
14. A conducting circular loop of area 1.0 m² is placed perpendicular to a magnetic field which varies as B = sin(100 t) Tesla. If the resistance of the loop is 100 Ω, then the average thermal energy dissipated in the loop in one period is _______J.

15 / 75

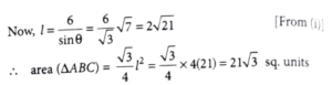
15. In a double slit experiment the distance between the slits is 0.1 cm and the screen is placed at 50 cm from the slits plane. When one slit is covered with a transparent sheet having thickness t and refractive index n(= 1.5), the central fringe shifts by 0.2 cm. The value of t is ____________cm.

16 / 75

16. A light wave described by

E = 60[sin(3 × 10^15)t + sin(12 × 10^15)t] (in SI units) falls on a metal surface of work function 2.8 eV. The maximum kinetic energy of ejected photoelectron is (approximately)__________ eV.

(h = 6.6 × 10^-34 J.s) and  e = 1.6 × 10^-9 C

17 / 75

17.  A current carrying solenoid is placed vertically and a particle of mass m with charge Q is released from rest. The particle moves along the axis of solenoid. If g is acceleration due to gravity then the acceleration (a) of the charged particle will satisfy

18 / 75

18. An aluminium and steel rods having same lengths and cross-sections are joined to make total length of 120 cm at 30°C. The coefficient of linear expansion of aluminium and steel are 24 × 10^-6/°C and 1.2 × 10^-5/°C, respectively. The length of this composite rod when its temperature is raised to 100 °C, is___cm.

19 / 75

19. In an experiment the values of two spring constants were measured as k_₁ = (10 ± 0.2) N/m and k_2=(20 ± 0.3) N/m. If these springs are connected in parallel, then the percentage error in equivalent spring constant is

20 / 75

20. Potential energy (V) versus distance (x) is  given by the graph. Rank various regions as per the magnitudes of the force (F) acting on a particle from high to low.

21 / 75

SECTION-B (NUMERICAL VALUE TYPE QUESTIONS)

21. Two identical thin rods of mass M kg and length Lm are connected as shown in figure. Moment of inertia of the combined rod system about an axis passing through point P and perpendicular to the plane of the rods is

x/12ML^2kg m². The value of x is ________.

22 / 75

22. 10 mole of oxygen is heated at constant volume from 30 °C to 40 °C. The change in the internal energy of the gas is __________cal. (The molecular specific heat of oxygen at constant pressure, C_p = 7 cal/ mol.°C and R = 2 cal/mol.°C.)

23 / 75

23. In a microscope the objective is having focal length f_o = 2 cm and eye-piece is having focal length f_e = 4 cm. The tube length is 32 cm. The magnification produced by this microscope for normal adjustment is _________

24 / 75

24. A collimated beam of light of diameter 2 mm is propagating along x-axis. The beam is required to be expanded in a collimated beam of diameter 14 mm using a system of two convex lenses. If first lens has focal length 40 mm, then the focal length of second lens is__________ mm.

25 / 75

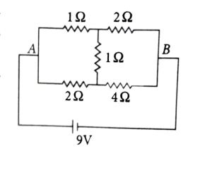
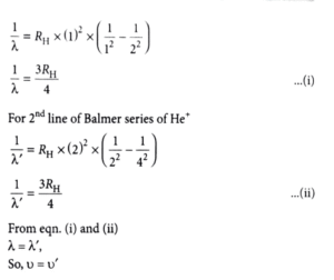
25. The heat generated in 1 minute between points A and B in the given circuit, when a battery of 9V with internal resistance of 1 Ω is connected across these points is_______ J.

26 / 75

Chemistry

Section -A (Multiple Choice Questions)

1. For the reaction, N_2O_4 ⇌ 2NO_2, graph is plotted as shown below. Identify correct statements.

A. Standard free energy change for the reaction is -5.40 kJ mol^-1.

B. As ΔG° in graph is positive, N2O4 will not dissociate into NO2 at all.

C. Reverse reaction will go to completion.

D. When 1 mole of N2O4 changes into equilibrium mixture, value of ΔG° = - 0.84 kJ mol-¹

E. When 2 mole of NO₂ changes into equilibrium mixture, ΔG° for equilibrium mixture is -6.24 kJ mol-¹.

Choose the correct answer from the options given below:

 

27 / 75

2. From the following, the least stable structure is

28 / 75

3. Given below are two statements:

Statement I: The number of species among SF4, NH^+_4, [NiCl4]^2-, XeF4, [PtCl4]², SeF_4 and [Ni(CN)_4]², that have tetrahedral geometry is 3.

Statement II: In the set [NO2, BeH2, BF3, AlCl3], all the molecules have incomplete octet around central atom. In the light of the above statements, choose the correct answer from the options given below:

29 / 75

4. Elements P and Q form two types of non-volatile, non- ionizable compounds PQ and PQ2. When 1 g of PQ is dissolved in 50 g of solvent 'A', ΔT_b was 1.176 K while when 1 g of PQ₂ is dissolved in 50 g of solvent 'A', ΔT, was 0.689 K. (K_b of 'A' = 5 K kg mol^-1). The molar masses of elements P and Q (in g mol^-1) respectively, are

30 / 75

5. Given below are two statements:

Statement I: When an electric discharge is passed through gaseous hydrogen, the hydrogen molecules dissociate and the energetically excited hydrogen atoms produce electromagnetic radiation of discrete frequencies.

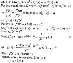
Statement II: The frequency of second line of Balmer series obtained from Het is equal to that of first line of Lyman series obtained from hydrogen atom. In the light of the above statements, choose the correct answer from the options given below:

31 / 75

6. 14.0 g of calcium metal is allowed to react with excess HCl at 1.0 atm pressure and 273 K. Which of the following statements is incorrect? [Given: Molar mass in g mol^_1 of Ca - 40, Cl- 35.5, H-1]

32 / 75

7. An organic compound (P) on treatment with aqueous ammonia under hot condition forms compound (Q) which on heating with Br_2 and KOH forms compound (R) having molecular formula C_6H_7N. Names of P, Q and R respectively are

33 / 75

8. In Carius method, 0.75 g of an organic compound gave 1.2 g of barium sulphate, find percentage of sulphur (molar mass 32 g mol^-1). Molar mass of barium sulphate is 233 g mol-¹.

34 / 75

9. Given below are two statements:

Statement I: The number of pairs among [SiO2, CO2], [SnO, SnO2], [PbO, PbO2] and [GeO, GeO2], which contain oxides that are both amphoteric is 2.

Statement II: BF3 is an electron deficient molecule, can act as a Lewis acid, forms adduct with NH3 and has a trigonal planar geometry.

In the light of the above statements, choose the correct answer from the options given below:

35 / 75

10. Identify correct statements from the following:

A. Propanal and propanone are functional isomers.

B. Ethoxyethane and methoxypropane are metamers.

C. But-2-ene shows optical isomerism.

D. But-1-ene and but-2-ene are functional isomers.

E. Pentane and 2, 2-dimethyl propane are chain isomers.

Choose the correct answer from the options given below:

36 / 75

11. Which of the following graphs between pressure 'P' versus volume 'V' represents the maximum work done?

37 / 75

12.  Identify A in the following reaction.

38 / 75

13. An organic compound "P" of molecular formula C_6H_12O_3 gives positive Iodoform test but negative Tollens' test. When "P" is treated with dilute acid, it produces "Q". "Q" gives positive Tollens' test and also iodoform test. The structure of "P" is

39 / 75

14. 80 mL of a hydrocarbon on mixing with 264 mL of oxygen in a closed U-tube undergoes complete combustion. The residual gases after cooling to 273 Κ occupy 224 mL. When the system is treated with KOH solution, the volume decreases to 64 mL. The formala of the hydrocarbon is

40 / 75

15.Given below are two statements:

Statement I: Among [Cu(NH3)4]^2+, [Ni(en)3)]^2+, [Ni(NH3)_6]^2+ and [Mn(H2O)_6]^2+, [Mn(H2O)_6]^2+ has the maximum number of unpaired electrons.

Statement II: The number of pairs among {[NiCl4]^2-, [Ni(CO)4]}, {[NiCl4]^²-, [Ni(CN)_4]^2-} and {[Ni(CO)4], [Ni(CN)4]^2-} that contain only diamagnetic species is two.

In the light of the above statements, choose the correct answer from the options given below

41 / 75

16. Identify the correct statements.

A. Arginine and tryptophan are essential amino acids.

B. Histidine does not contain heterocyclic ring in its structure.

C. Proline is a six membered cyclic ring amino acid.

D. Glycine does not have chiral centre.

E. Cysteine has characteristic feature of side chain as MeS—CH2—CH2—.

Choose the correct answer from the options given below:

42 / 75

17. MnO^2-_4, in acidic medium, disproportionates to

43 / 75

18. A hydrocarbon 'P' (C_4H_8) on reaction with HCl gives an optically active compound 'Q' (C_4H_9Cl) which on reaction with one mole of ammonia gives compound 'R' (C₄H₁₁N). 'R' on diazotization followed by hydrolysis gives 'S. Identify P, Q, R and S.

44 / 75

19. Which of the following represents the correct trend for the mentioned property?

A. F>P>S > B                                                                       First ionization energy

B. Cl > F > S > P                                                                  Electron affinity

C. K> Al > Mg > B                                                               Metallic character

D. K₂O > Na2O > MgO > Al2O3                                        Basic character

Choose the correct answer from the options given below:

45 / 75

20.Consider the following reactions.

PbCl2 + K2CrO4 → A + 2KCl (Hot solution)

A + NaOH ⇌ B + Na2CrO4

PbSO4 + 4CH3COONH4 → (NH4)2SO4 + X

In the above reactions, A, B and X are respectively.

46 / 75

Section -B Numerical Ability

21. Use the following data:

One mole each of A_2(g) and B_2(g) are taken in a 1 L closed flask and allowed to establish the equilibrium at 500 K.

A_2(g) + B_2(g) ⇌ 2AB_(g)

The value of x (in kJ mol^-1 ) is ______________ (Nearest integer)

(Given: log K = 2.2, R = 8.3 J K^-1 mol^-1)

47 / 75

22.  Pre-exponential factors of two different reactions of same order are identical. Let activation energy of first reaction exceeds the activation energy of second reaction by 20 kJ mol^-1. If k₁ and k₂ are the rate constants of first and second reaction respectively at 300 K, then In k_2/k_1 will be______

(Nearest integer) [R = 8.3 J K^-1 mol^-1]

48 / 75

23. The pH and conductance of a weak acid (HX) was found to be 5 and 4 × 10^-5 S, respectively. The conductance was measured under standard condition using a cell where the electrode plates having a surface area of 1 cm² were at a distance of 15 cm apart. The value of the limiting molar conductivity is __________ S m²mol^-1.  (Nearest integer) Given: Degree of dissociation of the weak acid (α) <<1)

49 / 75

24.Cosider the following reaction sequence

The percentage of nitrogen in product 'T' formed is _________ %. (Nearest integer)

(Given; Molar mass in g mol^-1 H:1, C:12, N:14, O: 16)

50 / 75

25. Consider the following reactions:

NaCl + K_2Cr_2O_7 + H₂SO₄ → A + KHSO₄ + NaHSO4 + H₂O

A+ NaOH→ B + NaCl+ H₂O

B+ H₂SO₄ + H₂O₂→ C + Na_2SO_4 + H₂O

In the product 'C', 'X' is the number of O^2-_2 units, 'Y is the total number oxygen atoms present and 'Z' is the oxidation state of Cr. The value of X + Y + Z is________________.

51 / 75

Mathematics Section -A (Multiple Choice Questions)

1. Let (α, β, γ) be the co-ordinates of the foot of the perpendicular drawn from the point (5, 4, 2) on the line r→=(-i^+3j^+k^)+λ(2i^+3j^) - k^). Then the length of the projection of the vector αi^+βj^+γk^ on the vector 6i^+2j^+3k^ is:

52 / 75

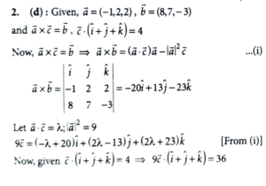
2. Let a^→=-i^+2j^+2k^, b^→=8i^+7j^-3k^ and c^→ be a vector such that a^→× c^→ = b^→. If c^→. (i^+j^+k^) = 4, then |a^→+c^→|^2 is equal to :

53 / 75

3. If x^2+ x + 1 = 0, then the value of  (x+1/x)^4+(x^2+1/x^2)^4+(x^3+1/x^3)^4+...+(x^25+1/x^25)^4 is:

54 / 75

4. The value of cosec 10° -√3 sec 10° is equal to:

55 / 75

5.  Let a_1, a_2, a_3, ... be a G.P. of increasing positive terms such that a_2 .a_3. a_4 = 64 and a_₁ + a_3 + a_5 = 813/7 . Then a_3 + a_5 + a_7 is equal to:

56 / 75

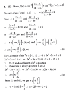
6. If the domain of the function f (x) = cos^-1 (2x-5/ 11-3x) + sin^-1 (2x² - 3x + 1) is the interval [α, β], then α + 2β is equal to:

57 / 75

7. Let a point A lie between the parallel lines L₁ and L₂ such that its distances from L₁ and L₂ are 6 and 3 units, respectively. Then the area (in sq. units) of the equilateral triangle ABC, where the points B and C lie on the lines L₁ and L₂ respectively, is:

58 / 75

8. Let O be the vertex of the parabola x² = 4y and Q be any point on it. Let the locus of the point P, which divides the line segment OQ internally in the ratio 2: 3 be the conic C. Then the equation of the chord of C, which is bisected at the point (1, 2), is:

59 / 75

9. The number of relations, defined on the set {a, b, c, d}, which are both reflexive and symmetric, is equal to:

60 / 75

10. Let y = y(x) be the solution curve of the differential equation (1 + x²)dy + (y-tan^-1 x) dx = 0, y(0) = 1. Then the value of y (1) is:

61 / 75

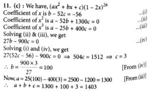
11. If the coefficient of x in the expansion of (ax² + bx + c)(1-2x)^26 is -56 and the coefficients of x² and x^3 are both zero, then a + b + c is equal to:

62 / 75

12. The sum of all the roots of the equation (x-1)^2-5|x-1|+ 6 = 0, is :

63 / 75

13. Let the foci of a hyperbola coincide with the foci of the ellipse x^2/36 + y^2/16 = 1. If the eccentricity of the hyperbola is 5, then the length of its latus rectum is:

64 / 75

14.  The number of strictly increasing functions f from the set {1, 2, 3, 4, 5, 6} to the set {1, 2, 3, ..., 9} such that f(i) ≠ i for 1≤ i ≤ 6, is equal to:

65 / 75

15. The area of the region, inside the ellipse x² + 4y² = 4 and outside the region bounded by the curves y = |x|-1 and y = l - |x| is:

66 / 75

16. Let c^→ and d^→ be vectors such that |c^→+d^→| = √29 and c^→ × (2i^+3j^+4k^) = (2i^+3j^+4k^)×d^→ . If λ₁, λ_2 (λ_1>λ_2) are the possible values of (c^→+d^→).(-7i^+2j^+3k^), then the equation K²x² + (K² - 5K + λ₁) xy + (3K+ λ2/2) y² - 8x + 12y + λ2 = 0 represents a circle, for K equal to:

67 / 75

17. Let PQ and MN be two straight lines touching the circle x²+y²-4x-6y-3=0 at the points A and B respectively. Let O be the centre of the circle and ∠AOB = π/3. Then the locus of the point of intersection of the lines PQ and MN is:

68 / 75

18. Let the mean and variance of 7 observations 2, 4, 10, x, 12, 14, y, x > y, be 8 and 16 respectively. Two numbers are chosen from {1, 2, 3, x-4, y, 5} one after another without replacement, then the probability, that the smaller number among the two chosen numbers is less than 4, is :

69 / 75

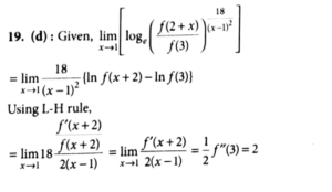
19. Let f: R → (0,∞) be a twice differentiable function such that f (3) = 18, f '(3) = 0 and f "(3) = 4. Then

70 / 75

20.

71 / 75

Section - B (Numerical Value)

21. Let S = {(m, n): m, n ∈ {1, 2, 3, .....,50}}. If the number of elements (m, n) in S such that 6^m +9^n is a multiple of 5 is p and the number of elements (m, n) in S such that m + n is a square of a prime number is q, then p + q is equal to ________

72 / 75

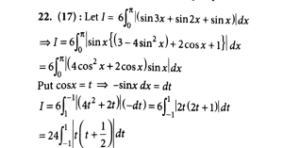
73 / 75

74 / 75

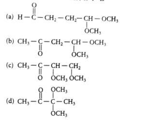
24. Let f: R → R be a twice differentiable function such that the quadratic equation f(x)m² -2f' (x)m + f''(x) = 0 in m, has two equal roots for every x ∈ R. If f(0) = 1, f' (0) = 2, and (α, β) is the largest interval in which the function f (log_ex - x) is increasing, then α + β is equal to _______

75 / 75

Your score is

The average score is 24%