/75
0 votes, 0 avg
2

Your time starts now

Time out !!!


IIT-JEE 2026

LTL JEE MAIN FT-15

Greetings from LEARN TO LEAD ACADEMY !!! All the best !!!

The number of attempts remaining is 3

Greetings from LEARN TO LEAD ACADEMY !!! All the best !!!

1 / 75

PHYSICS 

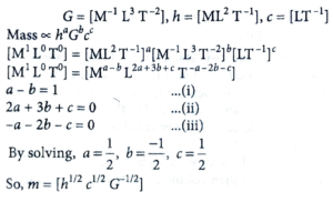
  1. If the velocity of light c, universal gravitational constant G and Planck's constant h are chosen as fundamental quantities. The dimensions of mass in the new system is

2 / 75

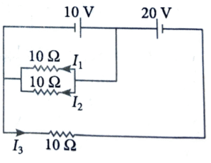
2. Equivalent resistance between the adjacent corners of a regular n-side polygon of uniform wire of resistance R would be

3 / 75

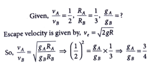
3. The escape velocities of two planets A and B are in the ratio 1: 2. If the ratio of their radii respectively is 1 : 3, then the ratio of acceleration due to gravity of planet A to the acceleration of gravity of planet B will be

4 / 75

4. Given below are two statements: One is labelled as Assertion (A) and the other is labelled as Reason (R).

Assertion (A): Two metallic spheres are charged to the same potential. One of them is hollow and another is solid, and both have the same radii. Solid sphere will have lower charge than the hollow one.

Reason (R): Capacitance of metallic spheres depend on the radii of spheres.

In the light of above statements, choose the most appropriate answer the from options given below.

5 / 75

5. The threshold frequency of a metal is f_0. When the light of frequency 2f_0 is incident on the metal plate, the maximum velocity of photoelectrons is v_1. When the frequency of incident radiation is increased to 5f_0, the maximum velocity of photoelectrons emitted is v_2. The ratio of v_1 to v_2 is

6 / 75

6. Figures (a), (b), (c) and (d) show variation of force with time.

The impulse is highest in figure

7 / 75

7. A Carnot engine operating between two reservoirs has efficiency 1/3. When the temperature of cold reservoir raised by x, its efficiency decrease to 1/6. The value of x, if the temperature of hot reservoir is 99°C, will be

8 / 75

8. A coil is placed in magnetic field such that plane of coil is perpendicular to the direction of magnetic field. The magnetic flux through a coil can be changed

(A) By changing the magnitude of the magnetic field within the coil.

(B) By changing the area of coil within the magnetic field.

(C) By changing the angle between the direction of magnetic field and the plane of the coil.

(D) By reversing the magnetic field direction abruptly without changing its magnitude.

9 / 75

9. In an amplitude modulation, a modulating signal having amplitude of X V is superimposed with a carrier signal of amplitude YV in first case. Then, in second case, the same modulating signal is superimposed with different carrier signal of amplitude 2Y V. The ratio of modulation index in the two cases respectively will be

10 / 75

10. Choose the correct statement about zener diode

11 / 75

11. As shown in the figure, a long straight conductor with semi-circular arc of radius π/10 m is carrying current I = 3A. The magnitude of the magnetic field at the center O of the arc is

(The permeability of the vacuum = = 4π × 10^-7  NA^-2)

12 / 75

12. For three low density gases A, B, C pressure versus temperature graphs are plotted while keeping them at constant volume, as shown in the figure.

The temperature corresponding to the point K is

13 / 75

13. The ratio of average electric energy density and total average energy density of electromagnetic wave is

14 / 75

14. Two objects A and B are placed at 15 cm and 25 cm from the pole in front of a concave mirror having radius of curvature 40 cm. The distance between images formed by the mirror is

15 / 75

15. Choose correct length (L) versus square of time period (T^2) graph for a simple pendulum executing simple harmonic motion.

16 / 75

16. An electron of a hydrogen like atom, having z = 4, jumps from 4th energy state to 2nd energy state. The energy released in this process, will be (Given Rch = 13.6 eV)

Where, R = Rydberg constant, c = Speed of light in vacuum, h = Planck's constant

17 / 75

17.  As shown in the figure, a block of mass 10 kg lying on a horizontal surface is pulled by a force F acting at an angle 30°, with horizontal. For μ_s = 0.25, the block will just start to move for the value of F [Given g = 10 ms^-2]

18 / 75

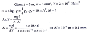
18. The Young's modulus of a steel wire of length 6 m and cross-sectional area 3 mm², is 2 ×10^11  N/m².  The wire is suspended from its support on a given planet. A block of mass 4 kg is attached to the free end of the wire. The acceleration due to gravity on the planet is 1/4 of its value on the earth. The elongation of wire is (Take g on the earth = 10 ms-²)

19 / 75

19. For a body projected at an angle with the horizontal from the ground, choose the correct statement.

20 / 75

20. Given below are two statements: One is labelled as Assertion A and the other is labelled as Reason R.

Assertion A: For measuring the potential difference across a resistance of 600 Ω, the voltmeter with resistance 1000 Ω will be preferred over voltmeter with resistance 4000 Ω.

Reason R: Voltmeter with higher resistance will draw smaller current than voltmeter with lower resistance.

In the light of above statements, choose the most appropriate answer the from options given below

21 / 75

21. A block is fastened to a horizontal spring. The block is pulled to a distance x = 10 cm from its equilibrium position (at x = 0 ) on a frictionless surface from rest. The energy of the block at x = 5 cm is 0.25 J. The spring constant of the spring is _________ N m^-1.

22 / 75

22. Moment of inertia of a disc of mass M and radius 'R' about any of its diameter is MR²/4. The moment of inertia of this disc about an axis normal to the disc and passing through a point on its edge will be, x/2  MR². The value of x is ________.

23 / 75

23.

24 / 75

24.

25 / 75

25. The surface of water in a water tank of cross section area 750 cm² on the top of a house is h m above the tap level. The speed of water coming out through the tap of cross section area 500 mm² is 30 cm/s. At that instant, dh/dt is x ×10^-3  m/s . The value of x will be __________.

26 / 75

CHEMISTRY

  1. Given below are two statements: one is labelled as Assertion (A) and the other is labelled as Reason (R).Assertion (A): Gypsum is used for making fireproof wall boards.Reason (R): Gypsum is unstable at high temperatures. In the light of the above statements, choose the correct answer from the options given below

27 / 75

2.

28 / 75

3. The industrial activity held least responsible for global warming is

29 / 75

4. The starting material for convenient preparation of deuterated hydrogen peroxide (D_2 O_2) in laboratory is

30 / 75

5. The effect of addition of helium gas to the following reaction in equilibrium state, is:

PCl5(g) ⇌ PCl3(g) + Cl2(g)

31 / 75

6. All structures given below are of vitamin C. Most stable of them is

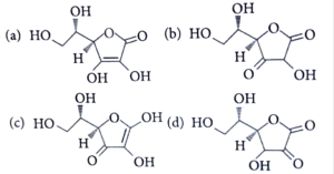
32 / 75

7. Which one of the following sets of ions represents a collection of isoelectronic species?

(Given: Atomic Number: F: 9, Cl : 17, Na = 11,Mg =12, Al = 13, K =19, Ca = 20, Sc = 21 )

33 / 75

8. The correct order of bond enthalpy (kJ mol-¹) is:

34 / 75

9. The complex cation which has two isomers is

35 / 75

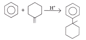
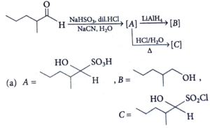
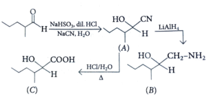
10. The structures of major products A, B and C in the following reaction sequence are

36 / 75

11. Which element is not present in Nessler's reagent?

37 / 75

12. The graph which represents the following reaction is

38 / 75

13. Given below are two statements: one is labelled as Assertion (A) and the other is labelled as Reason (R).

Assertion (A): Cu^2+ in water is more stable than Cu^+.

Reason (R): Enthalpy of hydration for Cu^2+ is much less than that of Cu^+.

In the light of the above statements, choose the correct answer from the options given below :

39 / 75

14. Given below are two statements: one is labelled as Assertion (A) and the other is labelled as Reason (R).

Assertion (A): An aqueous solution of KOH when used for volumetric analysis, its concentration should be checked before the use.

Reason (R): On aging, KOH solution absorbs atmospheric CO_2.

In the light of the above statements, choose the correct answer from the options given below:

40 / 75

15. For electron gain enthalpies of the elements denoted as  Δ_eg H, the incorrect option is

 

41 / 75

16.

42 / 75

17. Given below are two statements one is labelled as Assertion A and the other is labelled as Reason R.

Assertion A: α-halo carboxylic acid on reaction with dil. NH_3 gives good yield of α-amino carboxylic acid whereas the yield of amines is very low when prepared from alkyl halides.

Reason R: Amino acids exist in zwitter ion form in aqueous medium.

In the light of the above statements, choose the correct answer from the options given below:

43 / 75

18. Given below are two statements:

Statement I: Sulphanilic acid gives esterification test for carboxyl group.

Statement II: Sulphanilic acid gives red colour in Lassaigne's test for extra element detection.

In the light of the above statements, choose the most appropriate answer from the options given below:

44 / 75

19. In figure, a straight line is given for Freundlich Adsorption (y = 3x + 2.505). The value of 1/n and log(K) are respectively.

45 / 75

20. O - O bond length in H_2 O_2 is X_ than the O-O bond length in F_2 O_2. The O-H bond length in H_2 O_2 is Y_ than that of the O-F bond in F_2 O_2.

Choose the correct option for X_ and Y_ from those given below:

46 / 75

21. Among the following, the number of tranquilizer/s is/are _______.

(A) Chlorliazepoxide

(B) Veronal

(C) Valium

(D) Salvarsan

47 / 75

22. 20% of acetic acid is dissociated when its 5g is added to 500 mL of water. The depression in freezing point of such water is _______ × 10^-3 °C .

Atomic mass of C, H and O are 12, 1 and 16 a.m.u. respectively.

[Given: Molal depression constant and density of water are 1.86 K kg mol-¹ and 1 g cm-³ respectively.]

48 / 75

23. The molality of a 10% (v / v) solution of di-bromine solution in CCl4 (carbon tetrachloride) is 'x'.                 x = _________× 10-² M. (Nearest integer)

[Given : molar mass of Br_2 = 160g mol^-1

atomic mass of C = 12g mol^-1

atomic mass of Cl = 35.5g mol^-1

density of dibromine = 3.2 g cm^-3

density of CCl4 = 1.6 g cm-³]

49 / 75

24. Among following compounds, the number of those present in copper matte is ________.

(A) CuCO3

(B) Cu_2 S

(C) Cu_2 O

(D) FeO

50 / 75

25. 0.3 g of ethane undergoes combustion at 27 °C in a bomb calorimeter. The temperature of calorimeter system (including the water) is found to rise by 0.5 °C. The heat evolved during combustion of ethane at constant pressure is _______ kJ mol-¹. (Nearest integer)

[Given: The heat capacity of the calorimeter system is 20 kJ K-¹, R = 8.3 JK^-1  mol^-1.

Assume ideal gas behaviour.

Atomic mass of C and H are 12 and 1 g mol-¹ respectively]

51 / 75

MATHS

52 / 75

2.

53 / 75

3.

54 / 75

4.

55 / 75

5.

56 / 75

6. For the system of linear equations αx + y + z = 1, x + αy + z = 1, x + y + αz = β, which one of the following statements is NOT correct?

57 / 75

7. The number of integral values of k, for which one root of the equation 2x² - 8x + k = 0 lies in the interval (1, 2) and its other root lies in the interval (2, 3), is

58 / 75

8.

59 / 75

9.

60 / 75

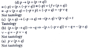
10. Which of the following statements is a tautology?

61 / 75

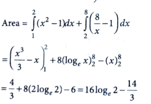
11. The area of the region given by {(x, y) : x y ≤ 8, 1 ≤ y ≤ x²} is

62 / 75

12.

63 / 75

13.

64 / 75

14. The sum of the absolute maximum and minimum values of the function f(x) = |x² - 5x + 6| - 3x + 2 in the interval [-1, 3] is equal to

65 / 75

15.

66 / 75

16.

67 / 75

17. Let P(x_0, y_0) be the point on the hyperbola 3x² - 4y² = 36, which is nearest to the line 3x + 2y = 1. Then

√2(y_0 - x_0) is equal to

68 / 75

18. Two dice are thrown independently. Let A be the event that the number appeared on the 1st die is less than the number appeared on the 2nd die, B be the event that the number appeared on the 1st die is even and that on the second die is odd, and C be the event that the number appeared on the 1st die is odd and that on the 2nd is even. Then

69 / 75

19. Let f: R - {0, 1} → R be a function such that

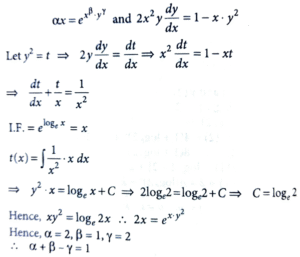
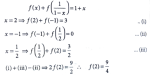
f (x) + f (1/1 - x) = 1 + x. Then f(2) is equal to

70 / 75

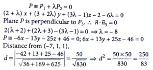
20. Let the plane P pass through the intersection of the planes 2x + 3y - z = 2 and x + 2y + 3z = 6, and be perpendicular to the plane 2x + y - z + 1 = 0. If d is the distance of P from the point (-7, 1, 1), then d^2 is equal to

71 / 75

21. The total number of six digit numbers, formed using the digits 4, 5, 9 only and divisible by 6, is ______.

72 / 75

22. Number of integral solution to the equation x + y + z = 21, where x ≥ 1, y ≥ 3, z ≥ 4, is equal to ______.

73 / 75

23.

74 / 75

24.

75 / 75

25. The point of intersection C of the plane 8x + y + 2z = 0 and the line joining the points A(-3, -6, 1) and B(2, 4, -3) divides the line segment AB internally in the ratio k: 1. If a, b, c (|a|, |b|,|c|) are coprime) are the direction ratios of the perpendicular from the point C on the line (1 - x)/1 = (y + 4)/2 = (z + 2)/3 then |a + b + c| is equal to ___________.

Your score is

The average score is 18%