/75
0 votes, 0 avg
2

Your time starts now

Time out !!!


IIT-JEE 2026

LTL JEE MAIN FT-14

Greetings from LEARN TO LEAD ACADEMY !!!

The number of attempts remaining is 1

Greetings from LEARN TO LEAD ACADEMY !!! All the best !!!

1 / 75

PHYSICS

  1. A steel wire with mass per unit length 7.0 × 10^-3 kg m^-1 is under tension of 70 N. The speed of transverse waves in the wire will be

2 / 75

2. (P + a/V²)(V - b) = RT represents the equation of state of some gases. Where P is the pressure, V is the volume, T is the temperature and a, b, R are the constants. The physical quantity, which has dimensional formula as that of  b²/a will be

3 / 75

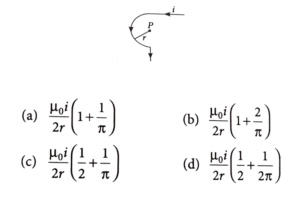
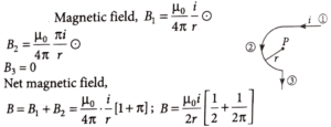
3. Find the magnetic field at the point P in figure. The curved portion is a semicircle connected to two long straight wires.

4 / 75

4. The mass of proton, neutron and helium nucleus are respectively 1.0073 u, 1.0087 u and 4.0015 u. The binding energy of helium nucleus is

5 / 75

5. Match List I with List II.

List - I List - II
(A)  AC generator I.                 Presence of both L and C
(B)  Transformer II.               Electromagnetic induction
(C)  Resonance phenomenon to occur III.              Quality factor
(D)  Sharpness of resonance  IV.              Mutual induction

Choose the correct answer from the options given below.

6 / 75

6. The equivalent resistance between A and B of the network shown in figure

7 / 75

7. The average kinetic energy of a molecule of the gas is

8 / 75

8. An object moves with speed v_1, v_2 and v_3 along a line segment AB, BC and CD respectively as shown in figure. Where AB = BC and AD = 3AB, then average speed of the object will be

9 / 75

9. Match List I with List II.

List - I List - II
(A)  Microwaves I.                 Radioactive decay of nucleus
(B)  Gamma rays II.               Rapid acceleration and deceleration of electron in aerials
(C)  Radio waves III.             Inner shell electrons
 (D)  X-rays  IV.            Klystron valve

Choose the correct answer from the options given below.

10 / 75

10. 'n' polarizing sheets are arranged such that each makes an angle 45° with the preceding sheet. An unpolarized light of intensity I is incident into this arrangement. The output intensity is found to be I/64. The value of n will be

11 / 75

11. A mercury drop of radius 10^-3 m is broken into 125 equal size droplets. Surface tension of mercury is 0.45 N m^-1. The gain in surface energy is

12 / 75

12. A proton moving with one tenth of velocity of light has a certain de-Broglie wavelength of λ. An alpha particle having certain kinetic energy has the same de-Broglie wavelength λ. The ratio of kinetic energy of proton and that of alpha particle is

13 / 75

13. Match List I with List II.

List - I List - II
(A)  Intrinsic semiconductor I.                 Fermi-level near the valence band.
(B)  n-type semiconductor II.               Fermi-level in the middle of valence and conduction band.
(C)  p-type semiconductor III.             Fermi-level near the conduction band.
  (D)  Metals  IV.         Fermi-level inside the conduction band

Choose the correct answer from the options given below

14 / 75

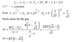
14. A sample of gas at temperature T is adiabatically expanded to double its volume. The work done by the gas in the process is (given, γ = 3/2 )

15 / 75

15. Which of the following frequencies does not belong to FM broadcast?

16 / 75

16. Given below are two statements:

Statement I: Acceleration due to gravity is different at different places on the surface of earth.

Statement II: Acceleration due to gravity increases as we go down below the earth's surface.

In the light of the above statements, choose the correct answer from the options given below.

 

17 / 75

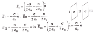
17. Let σ be the uniform surface charge density of two infinite thin plane sheets shown in figure. Then the electric fields in three different region E_I, E_II and E_III are

18 / 75

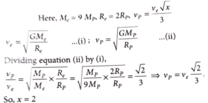
18. If earth has a mass nine times and radius twice to that of a planet P. Then v_e /3√x m s^-1 will be the minimum velocity required by a rocket to pull out of gravitational force of P, where v_e is escape velocity on earth. The value of x is

19 / 75

19. A child stands on the edge of the cliff 10 m above the ground and throws a stone horizontally with an initial speed of 5 m s^-1. Neglecting the air resistance, the speed with which the stone hits the ground will be______ ms-¹. (Given, g = 10 m s^-2)

20 / 75

20. A block of mass 5 kg is placed at rest on a table of rough surface. Now, if a force of 30 N is applied in the direction parallel to surface of the table, the block slides through a distance of 50 m in an interval of time 10 s. Coefficient of kinetic friction is (given, g = 10 m s^-2)

21 / 75

21. A light of energy 12.75 eV incident on a hydrogen atom in its ground state. The atom absorbs the radiation and reaches to one of its excited states. The angular momentum of the atom in the excited state is x/π ×10^-17 eVs. The value of x is _______.

(Use h = 4.14 ×10^-15 eVs, c = 3 ×10^8 m s^-1)

22 / 75

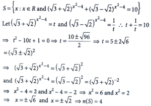
22.  Two equal positive point charges are separated by a distance 2a. The distance of a point from the centre of the line joining two charges on the equatorial line (perpendicular bisector) at which force experienced by a test charge q_o, become maximum is a/√x.  The value of x is _________.

23 / 75

23. In an experiment to find emf of a cell using potentiometer, the length of null point for a cell of emf 1.5 V is found to be 60 cm. If this cell is replaced by another cell of emf E, the length-of null point increases by 40 cm. The value of E is x/10 V. The value of x is _______.

24 / 75

24. A certain pressure 'P' is applied to 1 litre of water and 2 litre of a liquid separately. Water gets compressed to 0.01% whereas the liquid gets compressed to 0.03%. The ratio of Bulk modulus of water to that of the liquid is 3/x. The value of x is_________.

25 / 75

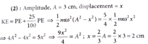
25. The amplitude of a particle executing SHM is 3 cm. The displacement at which its kinetic energy will be 25% more than the potential energy is______ cm.

26 / 75

CHEMISTRY

  1.  Which of the following complex will show largest splitting of d-orbitals?

27 / 75

2. Identify the incorrect option from the following:

28 / 75

3. Match List I with List II.

List I

(Test)

List II

(Functional group/Class of Compound)

A.    Molisch's Test I.                 Peptide
B.     Biuret Test II.               Carbohydrate
C.     Carbylamine Test III.             Primary amine
D.    Schiff's Test IV.            Aldehyde

Choose the correct answer from the options given below:

29 / 75

4. A solution of FeCl3 when treated with K_4 [Fe (CN)_6] gives a prussian blue precipitate due to the formation of

30 / 75

5. Which of the following are the examples of double salt?

A. FeSO4. (NH4)2 SO4. 6H₂O

B. CuSO4. 4NH3. H₂O

C. K₂SO4 . Al₂(SO4)3 .24H2O

D. Fe(CN)2 . 4KCN

Choose the correct answer.

31 / 75

6. Decreasing order of dehydration of the following alcohols is

32 / 75

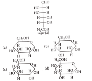
7. The correct representation in six membered pyranose form for the following sugar [X] is

33 / 75

8. Resonance in carbonate ion ( CO²-_3) is

Which of the following is true?

34 / 75

9. Given below are two statements: one is labelled as Assertion A and the other is labelled as Reason R. Assertion A: Hydrogen is an environment friendly fuel.

Reason R: Atomic number of hydrogen is 1 and it is a very light element.

In the light of the above statements, choose the correct answer from the options given below.

35 / 75

10. Which of the following represents the lattice structure of A_0.95 O containing A²+, A³+ and O²- ions?

36 / 75

11. How can photochemical smog be controlled?

37 / 75

12. Match List I  with List II

List I List II
A.    Slaked lime I.                 NaOH
B.     Dead burnt plaster II.               Ca(OH)2
C.     Caustic soda III.           Na2CO3.10H2O
D.    Washing soda IV.            CaSO4

Choose the correct answer from the options given below:

38 / 75

13. Match List I with List II.

List I List II
A.    Tranquilizers I.                 Anti blood clotting
B.     Aspirin II.               Salvarsan
C.     Antibiotic III.             Antidepressant drugs
D.    Antiseptic IV.            Soframicine

Choose the correct answer from the options given below.

39 / 75

14. Highest oxidation state of Mn is exhibited in Mn_2 O_7. The correct statements about Mn_2 O_7 are

A. Mn is tetrahedrally surrounded by oxygen atoms.

B. Mn is octahedrally surrounded by oxygen atoms.

C. Contains Mn-O-Mn bridge.

D. Contains Mn-Mn bond.

Choose the correct answer from the options given below:

40 / 75

15. Given below are two statements:

Statement I: Chlorine can easily combine with oxygen to form oxides; and the product has a tendency to explode.

Statement II: Chemical reactivity of an element can be determined by its reaction with oxygen and halogens.

In the light of the above statements, choose the correct answer from the options given below.

41 / 75

16. Given below are two statements; one is labelled as Assertion (A) and the other is labelled as Reason (R).

Assertion (A): In an Ellingham diagram, the oxidation of carbon to carbon monoxide shows a negative slope with respect to temperature.

Reason (R): CO tends to get decomposed at higher temperature.

In the light of the above statements, choose the correct answer from the options given below.

42 / 75

17. Given below are two statements; one is labelled as Assertion (A) and the other is labelled as Reason (R).

Assertion (A): Amongst He, Ne, Ar and Kr; 1 g of activated charcoal adsorbs more of Kr.

Reason (R): The critical volume V_c (cm³ mol-¹) and critical pressure P_c (atm) is highest for Krypton but the compressibility factor at critical point Z_c is lowest for Krypton.

In the light of the above statements, choose the correct answer from the options given below.

43 / 75

18. In the following reaction, 'A' is

44 / 75

19. Choose the correct statement(s).

A. Beryllium oxide is purely acidic in nature.

B. Beryllium carbonate is kept in the atmosphere of CO2.

C. Beryllium sulphate is readily soluble in water.

D. Beryllium shows anomalous behaviour.

Choose the correct answer from the options given below:

45 / 75

20. But-2-yne is reacted separately with one mole of hydrogen as shown below:

1. A is more soluble than B.

2. The boiling point and melting point of A are higher and lower than B respectively.

3. A is more polar than B because dipole moment of A is zero.

4. Br_2 adds easily to B than A.

Identify the incorrect statements from the options given below.

46 / 75

21. The density of 3 M solution of NaCl is  1.0 g m L^-1. Molality of the solution is __________ × 10² m. (Nearest integer).

Given: Molar mass of Na and Cl is 23 and 35.5 g mol^-1 respectively.

47 / 75

22. Sum of oxidation states of bromine in bromic acid and perbromic acid is________.

48 / 75

23. 25 mL of an aqueous solution of KCI was found to require 20 mL of 1 M AgNO3 solution when titrated using K_2 CrO_4 as an indicator. What is the depression in freezing point of KCl solution of the given concentration?  ___________ (Nearest integer)

(Given: K_f = 2.0 K kg mol^-1)

Assume 1. 100% ionization and

2. density of the aqueous solution as 1 g mL^-1.

49 / 75

24. A and B are two substances undergoing radioactive decay in a container. The half life of A is 15 min and that of B is 5 min. If the initial concentration of B is 4 times that of A and they both start decaying at the same time, how much time will it take for the concentration of both of them to be same? ________ min.

50 / 75

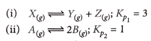
25.

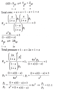
If the degree of dissociation an initial concentration of both the reactants X (g) and A (g) are equal, then the ratio of the total pressure at equilibrium (p_1/p_2) equal to x: 1. The value of x is is_________ (Nearest integer)

51 / 75

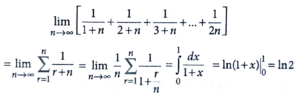
MATHS

52 / 75

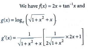
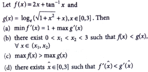
2. Let R be a relation on R, given by R = {(a, b) : 3a - 3b + √7 is an irrational number}.

Then R is

53 / 75

3.  The shortest distance between the lines

(x - 5)/1 = (y - 2)/2 = (z - 4)/- 3 and is (x + 3)/1 = (y + 5)/4 = (z - 1)/- 5 is

54 / 75

4.

55 / 75

5.

56 / 75

6. The mean and variance of 5 observations are 5 and 8 respectively. If 3 observations are 1, 3, 5, then the sum of cubes of the remaining two observations is

57 / 75

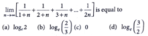
7.

58 / 75

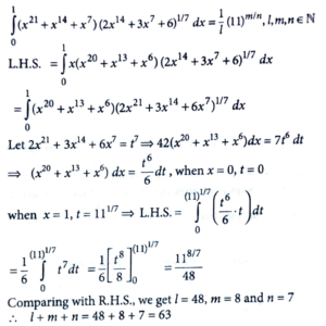
8.

59 / 75

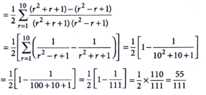
9.

60 / 75

10. If the orthocentre of the triangle, whose vertices are (1, 2), (2, 3) and (3, 1) is (α, β) then the quadratic equation whose roots are α +4β and 4α+β, is

61 / 75

11. Let the image of the point P(2, - 1, 3) in the plane x + 2y - z = 0 be Q. Then the distance of the plane 3x + 2y + z + 29 = 0 from the point Q is

62 / 75

12.

63 / 75

13.

64 / 75

14. The combined equation of the two lines ax + by + c = 0 and a' x + b' y + c' = 0 can be written as (ax + by + c) (a' x + b' y + c') = 0. The equation of the angle of represented by the equation 2x²+ xy - 3y²= 0 is

65 / 75

15. For a triangle ABC, the value of cos 2A + cos 2B + cos 2C is least. If its inradius is 3 and incentre is M, then which of the following is NOT correct?

66 / 75

16.

67 / 75

17. If the center and radius of the circle |(z - 2)/(z - 3)| = 2 are respectively (α, β) and γ, then 3(α + β + γ) is equal to

68 / 75

18. In a binomial distribution B(n, p), the sum and the product of the mean and the variance are 5 and 6 respectively, then 6(n + p - q) is equal to

69 / 75

19. The area enclosed by the closed curve C given by the differential equation  dy/dx +  x+ a/y-2 = 0, y(1) = 0 is 4π. Let P and Q be the points of intersection of the curve C and the y-axis. If normals at P and Q on the curve C intersect x-axis at points R and S respectively, then the length of the line segment RS is

70 / 75

20. The negation of the expression q ∨ ((∼ q) ∧ p) is  equivalent to

71 / 75

21.

72 / 75

22.

73 / 75

23. The number of 3-digit numbers, that are divisible by either 2 or 3 but not divisible by 7, is ________.

74 / 75

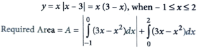
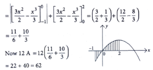
24. Let A be the area bounded by the curve y = x |x - 3|, the x-axis and the ordinates x = - 1 and x = 2. Then 12A is equal to________.

75 / 75

25. The number of words, with or without meaning, that can be formed using all the letters of the word ASSASSINATION so that the vowels occur together, is __________.

Your score is

The average score is 11%