/75
0 votes, 0 avg
3

Your time starts now

Time out !!!


IIT-JEE 2026

LTL JEE MAIN FT-13

Greetings from LEARN TO LEAD ACADEMY !!!

The number of attempts remaining is 1

Greetings from LEARN TO LEAD ACADEMY !!!! All the best !!!!

1 / 75

PHYSICS

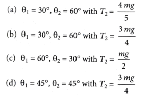
  1. A body of mass m is suspended by two strings making angles θ_1 and θ_2 with the horizontal ceiling with tensions T₁ and T₂ simultaneously. T₁ and T₂ are related by T_1 = √3 T_2, the angles θ_1  and θ_2

2 / 75

2. In an experiment with a closed organ pipe, it is filled with water by (1/5)th of its volume. The frequency of the fundamental note will change by

3 / 75

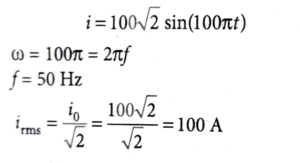
3. An alternating current is represented by the equation, i = 100√2 sin (100 πt) ampere. The RMS value of current and the frequency of the given alternating current are

4 / 75

4. Given below are two statements: one is labelled as Assertion (A) and the other is labelled as Reason (R).

Assertion (A): The kinetic energy needed to project a body of mass m from earth surface to infinity is (1/2) mgR,  where R is the radius of earth.

Reason (R): The maximum potential energy of a body is zero when it is projected to infinity from earth surface.

In the light of the above statements, choose the correct answer from the options given below.

5 / 75

5. Considering the Bohr model of hydrogen like atoms, the ratio of the radius of 5th orbit of the electron in         Li^2+ and He^+ is

6 / 75

6. When an object is placed 40 cm away from a spherical mirror an image of magnification 1/2 is produced. To obtain an image with magnification of 1/3 the object is to be moved

7 / 75

7. Consider the sound wave travelling in ideal gases of He,  CH_4 and CO_2. All the gases have the same ratio P/ρ where P is the pressure and ρ is the density. The ratio of the speed of sound through the gases v_He :        v_CH 4 : v_CO2 given by

8 / 75

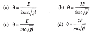
8. A small mirror of mass m is suspended by a massless thread of length l. Then the small angle through which the thread will be deflected when a short pulse of laser of energy E falls normal on the mirror

( c = speed of light in vacuum and g = acceleration due to gravity)

9 / 75

9. Two simple pendulums having lengths l_1 and l_2 with negligible string mass undergo angular displacements θ_1 and θ_2, from their mean positions, respectively. If the angular accelerations of both pendulums are same, then which expression is correct?

10 / 75

10. Which of the following are correct expression for torque acting on a body?

Choose the correct answer from the options given below.

11 / 75

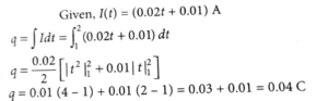
11. Current passing through a wire as function of time is given as I(t) = 0.02t + 0.01A. The charge that will flow through the wire from t = 1 s tot t = 2 s is

12 / 75

12. If vector L and vector P represent the angular momentum and linear momentum respectively of a particle of mass 'm' having position vector as vector r =a (iˆ cos ωt + jˆ sinωt). The direction of force is

13 / 75

14. In an electromagnetic system, the quantity representing the ratio of electric flux and magnetic flux has dimension of M^P  L^Q  T^R  A^S, where value of 'Q' and 'R' are

14 / 75

13. Given below are two statements one is labelled as Assertion (A) and the other is labelled as Reason (R). Assertion (A): In photoelectric effect, on increasing the intensity of incident light the stopping potential increases.

Reason (R): Increase in intensity of light increases the rate of photoelectrons emitted, provided the frequency of incident light is greater than threshold frequency. In the light of the above statements, choose the correct answer from the options given below

15 / 75

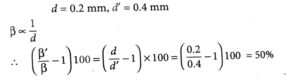
15. In a Young's double slit experiment, the slits are separated by 0.2 mm. If the slits separation is increased to 0.4 mm, the percentage change of the fringe width is

16 / 75

16. Two infinite identical charged sheets and a charged spherical body of charge density 'ρ' are arranged as shown in figure. Then the correct relation between the electrical fields at A, B, C and D points is

17 / 75

17. The mean free path and the average speed of oxygen molecules at 300 K and 1 atm are 3 × 10^-7 m and 600 m/s, respectively. Find the frequency of its collisions.

18 / 75

18. Two small spherical balls of mass 10 g each with charges -2 µC and 2 µC, are attached to two ends of very light rigid rod of length 20 cm. The arrangement is now placed near an infinite non-conducting charge sheet with uniform charge density of 100 µC/m² such that length of rod makes an angle of 30° with electric field generated by charge sheet. Net torque acting on the rod is

(Take ε_0: 8.85 × 10-¹² C²/N m²)

19 / 75

19. Two liquids A and B have θ_A and θ_B as contact angles in a capillary tube. If K = cos θ_A/cos θ_B, then identify the correct statement.

20 / 75

20.  The Boolean expression Y=AB‾ C + A‾ C‾ can be realised with which of the following gate configurations.

A. One 3-input AND gate, 3 NOT gates and one 2-input OR gate, One 2-input AND gate

B. One 3-input AND gate, 1 NOT gate, One 2-input NOR gate and one 2-input OR gate

C. 3-input OR gate, 3 NOT gates and one 2-input AND gate

Choose the correct answer from the options given below:

21 / 75

21. Two slabs with square cross section of different materials (1, 2) with equal sides (l) and thickness d_1 and d_2 such that d_2 = 2d_1 and l > d_2. Considering lower edges of these slabs are fixed to the floor, we apply equal shearing force on the narrow faces. The angle of deformation is θ_2 = 2 θ_1. If the shear moduli of material l is 4×10^9  N /m^2 then shear moduli of material 2 is x ×10^9  N/m^2, where value of x is_______.

22 / 75

22. Four capacitors each of capacitance 16 μF are connected as shown in the figure. The capacitance between points A and B is __________(in μF )

23 / 75

23. Conductor wire ABCDE with each arm 10 cm in length is placed in magnetic field of 1/√2 Tesla, perpendicular to its plane. When conductor is pulled towards right with constant velocity of 10 cm/s, induced emf between points A and E is ________ mV.

24 / 75

24. Distance between object and its image (magnified by - 1/3 ) is 30 cm. The focal length of the mirror used is (x/4) cm, where magnitude of value of x is ____________.

25 / 75

25. A circular ring and a solid sphere having same radius roll down on an inclined plane from rest without slipping. The ratio of their velocities when reached at the bottom of the plane is √(x/5) where x = __________.

26 / 75

CHEMISTRY

  1. One mole of an ideal gas expands isothermally and reversibly from 10 dm³ to 20 dm³ at 300 K. ΔU, q and work done in the process respectively are

[Given: R = 8.3 JK-¹ mol-¹; ln 10 = 2.3; log 2 = 0.30; log 3 = 0.48 ]

27 / 75

2. Which of the following molecules(s) show/s paramagnetic behaviour?

A. O_2

B. N_2

C. F_2

D. S_2

E. Cl_2

Choose the correct answer from the options given below:

28 / 75

3. Number of stereoisomers possible for the complexes, [CrCl_3 (py)_3] and [CrCl_2 (ox)_2 ]^3-  are respectively (py = pyridine, ox = oxalate)

29 / 75

4. Given below are two statements.

In the light of the above statements, choose the correct answer from the options given below:

30 / 75

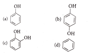
5. Benzene is treated with oleum to produce compound (X) which when further heated with molten sodium hydroxide followed by acidification produces compound (Y). The compound Y is treated with zinc metal to produce compound (Z). Identify the structure of compound (Z) from the following option.

31 / 75

6. An organic compound (X) with molecular formula C_3 H_6 O is not readily oxidised. On reduction it gives C_3 H_8 O (Y) which reacts with HBr to give a bromide (Z) which is converted to Grignard reagent. This Grignard reagent on reaction with (X) followed by hydrolysis give 2, 3-dimethylbutan-2-ol. Compounds (X), (Y) and (Z) respectively are

32 / 75

7. Given below are the pairs of group 13 elements showing their relation in terms of atomic radius.

(B < Al), (Al < Ga) < (Ga < In) and (In < Tl) Identify the elements present in the incorrect pair and in that pair find out the element (X) that has higher ionic radius ( M^3+) than the other one. The atomic number of the element (X) is.

33 / 75

8. Predict the major product of the following reaction sequence:

34 / 75

9. For A2 + B2  ⇌  2AB

E_a for forward and backward reaction are 180 and 200 kJ mol-¹ respectively.

If catalyst lowers E_a for both reaction by 100 kJ mol-¹.

Which of the following statement is correct?

35 / 75

10. Pair of transition metal ions having the same number of unpaired electrons is

36 / 75

11. Aldol condensation is a popular and classical method to prepare α, β-unsaturated carbonyl compounds. This reaction can be both intermolecular and intramolecular. Predict which one of the following is not a product of intramolecular aldol condensation?

37 / 75

12.

38 / 75

13. Rate law for a reaction between A and B is given by

r = k [A]^n  [B]^m

If concentration of A is doubled and concentration of B is halved from their initial value, the ratio of new rate of reaction to the initial rate of reaction (r_2/r_1) is

39 / 75

14. Given below are two statements:

Statement I: Nitrogen forms oxides with +1 to +5 oxidation states due to the formation of pπ - pπ bond with oxygen.

Statement II: Nitrogen does not form halides with +5 oxidation state due to the absence of d-orbital in it.

In the light of given statements, choose the correct answer from the options given below.

40 / 75

15. Which one of the following complexes will have Δ_o = 0 and μ = 5.96 B .M. ?

 

41 / 75

16. Identify the pair of reactants that upon reaction, with elimination of HCl will give rise to the dipeptide Gly-Ala.

42 / 75

17. Let us consider a reversible reaction at temperature, T. In this reaction, both ΔH and ΔS were observed to have positive values. If the equilibrium temperature is T_e, then the reaction becomes spontaneous at

43 / 75

18. XY is the membrane/partition between two chambers 1 and 2 containing sugar solutions of concentration c_1 and c_2 (c_1 > c_2) mol L^-1. For the reverse osmosis to take place identify the correct condition.

(Here p_1 and p_2 are pressures applied on chamber 1 and 2).

A. Membrane/Partition: Cellophane, p_1 >π

B. Membrane/Partition: Porous, p_2 > π

C. Membrane/Partition: Parchment paper, p_1 > π

D. Membrane/Partition: Cellophane, p_2 > π

Choose the correct answer from the option given below:

44 / 75

19. Which one of the following about an electron occupying the 1s orbital in a hydrogen atom is incorrect? (Bohr's radius is represented by a_0.)

45 / 75

20. On charging the lead storage battery, the oxidation state of lead changes from x_1 to y_1 at the anode and from x_2 to y_2 at the cathode. The values of x_1, y_1, x_2, y_2 are respectively

46 / 75

21. KMnO_4 acts as an oxidising agent in acidic medium. 'X' is the difference between the oxidation states of Mn in reactant and product. 'Y' is the number of 'd' electrons present in the brown red precipitate formed at the end of the acetate ion test with neutral ferric chloride. The value of X + Y is.

47 / 75

22. In Dumas' method for estimation of nitrogen 1 g of an organic compound gave 150 mL of nitrogen collected at 300 K temperature and 900 mmHg pressure. The percentage composition of nitrogen, in the compound is____________ % (nearest integer).

(Aqueous tension at 300 K = 15 mmHg).

48 / 75

23. The total number of hydrogen bonds of a DNA-double Helix strand whose one strand has the following sequence of bases is ___________.

5'-G-G-C-A-A-A-T-C-G-G-C-T-A-3′

49 / 75

24. The pH of a 0.01 M weak acid HX (K_a = 4 × 10-¹º) is found to be 5. Now the acid solution is diluted with excess of water so that the pH of the solution changes to 6. The new concentration of the diluted weak acid is  given as x × 10^-4 M. The value of x is___________.(nearest integer)

50 / 75

25. Fortification of food with iron is done using FeSO4.7H2O. The mass in grams of the FeSO4.7H2O required to achieve 12 ppm of iron in 150 kg of wheat is _________. (Nearest integer)

[Given: Molar mass of Fe, S and O respectively are 56, 32 and 16 g mol-¹]

51 / 75

MATHS

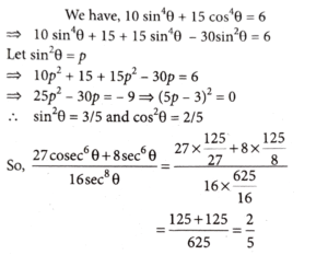
  1. Let f, g:(1, ∞) → R be defined as f(x) = (2x + 3)/(5x + 2) and g(x) = (2 - 3x)/(1 - x). If the range of the function fog: [2, 4] → R is [α, β] then is equal to 1/β- α

52 / 75

2. Let A={1, 6, 11, 16 ,.....} and B= {9, 16, 23, 30 ,.....} be the sets consisting of the first 2025 terms of two arithmetic progressions. Then  n(A∪B) is

53 / 75

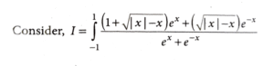
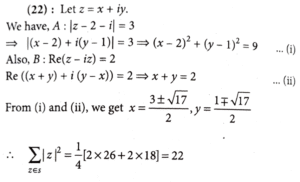
3.

54 / 75

4. The probability, of forming a 12 persons committee from 4 engineers, 2 doctors and 10 professors containing at least 3 engineers and at least 1 doctor, is

55 / 75

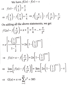
5.

56 / 75

6. The length of the latus-rectum of the ellipse, whose foci are (2,5) and (2, -3) and eccentricity is 4/5, is

57 / 75

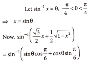
7.

58 / 75

8.

59 / 75

9.

60 / 75

10. Consider the equation x^2 + 4x - n = 0, where n ∈ [20, 100] is a natural number. Then the number of all distinct values of n, for which the given equation has integral roots, is equal to

61 / 75

11.

62 / 75

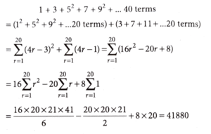
12. 1 + 3 + 5² + 7 + 9² +... up to 40 terms is equal to

63 / 75

13. A box contains 10 pens of which 3 are defective. A sample of 2 pens is drawn at random and let X denote the number of defective pens. Then the variance of X is

64 / 75

14. Let the three sides of a triangle are on the lines 4x - 7y + 10 = 0, x + y = 5 and 7x + 4y = 15. Then the distance of its orthocentre from the orthocentre of the triangle formed by the lines x = 0, y = 0 and x + y = 1 is

65 / 75

15.

66 / 75

16.

67 / 75

17. Consider the sets A = {(x, y) ∈ R×R :  x² + y² = 25} B ={(x, y) ∈ R×R : x²+ 9y² = 144} , C = {(x, y) ∈ Z × Z: x²+y² ≤ 4} and D =A∩B. The total number of one -one functions from the set D to the set C is:

68 / 75

18.

69 / 75

19. For an integer n ≥ 2, if the arithmetic mean of all coefficients in the binomial expansion of (x + y)^2n - 3 is 16, then the distance of the point P (2n - 1,n²- 4n) from the line x + y = 8 is

70 / 75

20.

71 / 75

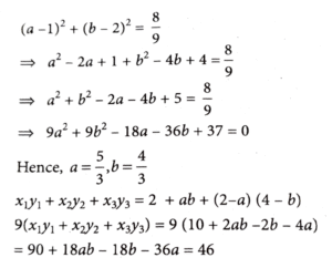
21. Let C be the circle x² + (y - 1)² = 2, E_1 and E_2 be two ellipses whose centres lie at the origin and major axes lie on x-axis and y-axis respectively. Let the straight line x + y = 3 touch the curves C, E_1 and E_2 at P(x_1,y_1) , Q(x_2, y_2) and R(x_3, y_3) respectively. Given that P is the mid point of the line segment QR and PQ = 2√2/3, the value of 9(x_1 y_1 + x_2 y_2 + x_3 y_3) is equal to ___________.

72 / 75

22. Let m and n be number of points at which the function f(x)=max {x, x^3, x^5 ,.....,x^21}, x ∈ R, is not differentiable and not continuous, respectively, Then m + n is equal to _________.

73 / 75

23.

74 / 75

24.

75 / 75

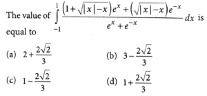
25. If the area of the region {(x, y) : |x - 5| ≤ y ≤ 4 √x} is A then 3A is a equal to ____________.

Your score is

The average score is 32%