/75
0 votes, 0 avg
2

Your time starts now

Time out !!!


IIT-JEE 2026

LTL JEE MAIN FT-12

Greetings from LEARN TO LEAD ACADEMY!!!

The number of attempts remaining is 1

Greeting from LEARN TO LEAD ACADEMY !!! All the best !!!!

1 / 75

SECTION-A (MULTIPLE CHOICE QUESTIONS)

1. Pressure of an ideal gas, contained in a closed vessel, is increased by 0.4% when heated by 1°C. Its initial temperature must be

2 / 75

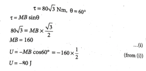
2. A magnetic dipole experiences a torque of 80√3 Nm when placed in uniform magnetic field in such a way that dipole moment makes angle of 60° with magnetic field. The potential energy of the dipole is

3 / 75

3. An electric bulb rated as 100W-220V is connected to an ac source of rms voltage 220V. The peak value of current through the bulb is

4 / 75

4. A monochromatic light of frequency 5 × 10^ 14 Hz travelling through air, is incident on a medium of refractive index '2'. Wavelength of the refracted light will be

5 / 75

5. Two cylindrical vessels of equal cross sectional area of 2m² contain water upto heights 10m and 6m, respectively. If the vessels are connected at their bottom then the work done by the force of gravity is (Density of water is 10³ kg/m³ and g = 10 m/s²)

6 / 75

6. A motor operating on 100 V draws a current of 1 A. If the efficiency of the motor is 91.6%, then the loss of power in units of cal/s is

7 / 75

7. In the resonance experiment, two air columns (closed at one end) of 100 cm and 120 cm long, give 15 beats per second when each one is sounding in the respective fundamental modes. The velocity of sound in the air column is

8 / 75

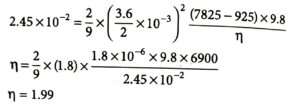
8. A solid steel ball of diameter 3.6 mm acquired terminal velocity 2.45 x 10^-2 m/s while falling under gravity through an oil of density 925 kg m-³. Take density of steel as 7825 kg m-³ and gas 9.8 m/s². The viscosity of the oil in SI unit is

9 / 75

9. The truth table corresponding to the circuit given below is

10 / 75

10. A particle is projected with velocity u so that its horizontal range is three times the maximum height attained by it. The horizontal range of the projectile is given as  nu²/25g ,  where value of n is

(Given, 'g' is the acceleration due to gravity.)

11 / 75

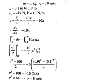
11. A block of mass 1 kg, moving along x with speed v_i = 10 m/s enters a rough region ranging from x = 0.1 m to x = 1.9 m. The retarding force acting on the block in this range is F_r = -kx N, with k = 10 N/m. Then the final speed of the block as it crosses rough region is

12 / 75

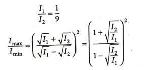
12. Two monochromatic light beams have intensities in the ratio 1: 9. An interference pattern is obtained by these beams. The ratio of the intensities of maximum to minimum is

13 / 75

13. Given below are two statements: one is labelled as Assertion (A) and the other is labelled as Reason (R) Assertion (A): If Oxygen ion (0^-2) and Hydrogen ion (H^+) enter normal to the magnetic field with equal momentum, then the path of O^-2 ion has a smaller curvature than that of H^+.

Reason (R): A proton with same linear momentum as an electron will form a path of smaller radius of curvature on entering a uniform magnetic field perpendicularly.

In the light of the above statements, choose the correct answer from the options given below

14 / 75

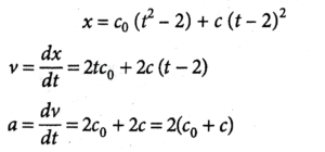
14. A particle moves along the x-axis and has its displacement x varying with time t according to the equation

x = c_o (t²−2) + c (t-2)² where c_o and c are constants of appropriate dimensions.

Then, which of the following statements is correct

15 / 75

15. Given below are two statements: one is labelled as Assertion (A) and the other is labelled as Reason (R)

Assertion (A): The Bohr model is applicable to hydrogen and hydrogen-like atoms only.

Reason (R): The formulation of Bohr model does not include repulsive force between electrons.

In the light of the above statements, choose the correct answer from the options given below

16 / 75

16. Using a battery, a 100 pF capacitor is charged to 60 V and then the battery is removed. After that, a second uncharged capacitor is connected to the first capacitor in parallel. If the final voltage across the second capacitor is 20 V, its capacitance is (in pF)

17 / 75

17. An ideal gas exists in a state with pressure P_o, volume V_o. It is isothermally expanded to 4 times of its initial volume (V_o), then isobarically compressed to its original volume. Finally the system is heated isochorically to bring it to its initial state. The amount of heat exchanged in this process is

18 / 75

18. Match the List - I with List -II

List-I List-II
 A. Boltzmann constant I. ML2T-1
B. Coefficient of viscosity II. MLT-3 K-1
C. Planck’s constant III. ML2T-2 K-1
D. Thermal conductivity IV. ML-1T-1

Choose the correct answer from the options given below

19 / 75

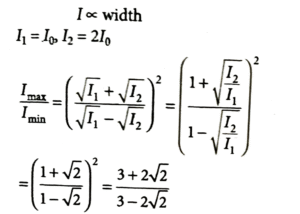
19. Width of one of the two slits in a Young's double slit interference experiment is half of the other slit. The ratio of the maximum to the minimum intensity in the interference pattern is

20 / 75

20. Consider two blocks A and B of masses m_₁ = 10 kg and m_2 = 5 kg that are placed on a frictionless table. The block A moves with a constant speed v = 3 m/s towards the block B kept at rest. A spring with spring constant k = 3000 N/m is attached with the block B as shown in the figure. After the collision, suppose that the blocks A and B, along with the spring in constant compression state, move together, then the compression in the spring is (Neglect the mass of the spring)

21 / 75

SECTION-B (NUMERICAL VALUE TYPE QUESTIONS)

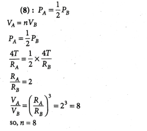
21. The excess pressure inside a soap bubble A in air is half the excess pressure inside another soap bubble B in air. If the volume of the bubble A is n times the volume of the bubble B, then, the value of n is ____________

22 / 75

22. An electron in the hydrogen atom initially in the fourth excited state makes a transition to nth energy state by emitting a photon of energy 2.86 eV. The integer value of n will be _______________

23 / 75

23. Light from a point source in air falls on a spherical glass surface (refractive index, μ = 1.5 and radius of curvature = 50 cm). The image is formed at a distance of 200 cm from the glass surface inside the glass. The magnitude of distance of the light source from the glass surface is _____________ m.

24 / 75

24. A physical quantity C is related to four other quantities P, q, r and s as follows C = Pq²/ r³ √s. The percentage errors in the measurement of p, q, r and s are 1%, 2%, 3% and 2%, respectively. The percentage error in the measurement of C will be _____________ %.

25 / 75

25. Two cells of emfs 1 V and 2 V and internal resistances 2 Ω and 1Ω , respectively, are connected in series with an external resistance of 6 Ω. The total current in the circuit is I_1. Now the same two cells in parallel configuration are connected to same external resistance. In this case, the total current drawn is I_2. The value of  (I_1/I_2) is x/3. The value of x is ________________.

26 / 75

CHEMISTRY

SECTION-A (MULTIPLE CHOICE QUESTIONS)

1. 40 mL of a mixture of CH3COOH and HCl (aqueous solution) is titrated against 0.1 M NaOH solution conductometrically. Which of the following statement is correct?

27 / 75

2.  The standard cell potential (E°_cell) of a fuel cell based on the oxidation of methanol in air that has been used to power television relay station is measured as 1.21 V. The standard half cell reduction potential for O₂ (E°_O_2/H_2O) is 1.229 V. Choose the correct statement.

28 / 75

3. The correct orders among the following are:

(A) Atomic radius: B < Al < Ga < In < Tl (B) Electronegativity: Al < Ga < In < Tl < B (C) Density: Tl < In < Ga < Al < B (D) 1st Ionisation energy: In < Al < Ga < Tl

29 / 75

4. Match the List -I with List -II

List-I (Family) List-II (Symbol of Element)
 A. Pnictogen (group 15) I. Ts
B. Chalcogen II. Og
C. Halogen  III. Lv
D. Noble gas IV. Mc

Choose the correct answer from the options given below:

30 / 75

5. The sequence from the following that would result in giving predominantly 3, 4, 5-tribromoaniline is

31 / 75

6. Given below are two statements:

Statement I: Wet cotton clothes made of cellulose based carbohydrate takes comparatively longer time to get dried than wet nylon polymer based clothes.

Statement II: Intermolecular hydrogen bonding with water molecule is more in nylon-based clothes than in the case of cotton clothes.

In the light of above statements, choose the correct answer from the options given below:

32 / 75

7. Given below are two statements:

Statement I: When a system containing ice in equilibrium with water (liquid) is heated, heat is absorbed by the system and there is no change in the temperature of the system until whole ice gets melted.

Statement II: At melting point of ice, there is absorption of heat in order to overcome intermolecular forces of attraction within the molecules of water in ice and kinetic energy of molecules is not increased at melting point.

In the light of the above statements, choose the correct answer from the options given below:

33 / 75

8. 10 mL of 2 M NaOH solution is added to 20 mL of 1 M HCl solution kept in a beaker. Now, 10 mL of this mixture is poured into a volumetric flask of 100 mL containing 2 moles of HCl and made the volume upto the mark with distilled water. The solution in this flask is

34 / 75

9. Consider the following statements related to temperature dependence of rate constants. Identify the correct statements.

A. The Arrhenius equation holds true only for an elementary homogeneous reaction.

B. The unit of A is same as that of k in Arrhenius equation.

C. At a given temperature, a low activation energy means a fast reaction.

D. A and E_a as used in Arrhenius equation depend on temperature.

E. When E_a >> RT, A and E_a become interdependent.

Choose the correct answer from the options given below:

35 / 75

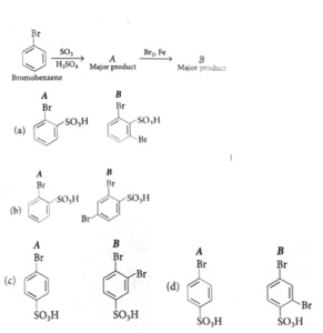
10. In the following series of reactions identify the major products A and B respectively.

36 / 75

11. Given below are two statements:

Statement I: CrO3 is a stronger oxidizing agent than M0O3.

Statement II: Cr(VI) is more stable than Mo(VI).

In the light of the above statements, choose the correct answer from the options given below:

37 / 75

12.  Fat soluble vitamins are:

A. Vitamin B₁                                            B. Vitamin C                                  C. Vitamin E

D. Vitamin B12                                          E. Vitamin K

Choose the correct answer from the options given below:

38 / 75

13. In Dumas' method for estimation of nitrogen 0.4 g of an organic compound gave 60 mL of nitrogen collected at 300 K temperature and 715 mm Hg pressure. The percentage composition of nitrogen in the compound is (Given: Aqueous tension at 300 K = 15 mm Hg)

39 / 75

14. Mass of magnesium required to produce 220 mL of hydrogen gas at STP on reaction with excess of dil. HCI is (Given: Molar mass of Mg is 24 g mol^-¹.)

40 / 75

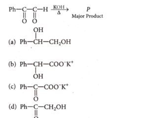
15. The major product (P) in the following reaction is :

41 / 75

16. Identify the diamagnetic octahedral complex ions from below:

A. [Mn(CN)_6]³-                                   B. [Co(NH3)_6]^3+                     C. [Fe(CN)_6]^4-        D. [Co(H2O)3F3] Choose the correct answer from the options given below:

42 / 75

17. For electrons in '2s' and '2p' orbitals, the orbital angular momentum values, respectively are

43 / 75

18. Given below are two statements:

Statement I: Hyperconjugation is not a permanent effect.

Statement II: In general, greater the number of alkyl groups attached to a positively charged C-atom, greater is the hyperconjugation interaction and stabilization of the cation.

In the light of the above statements, choose the correct answer from the options given below:

44 / 75

19. Compounds that should not be used as primary standards in titrimetric analysis are:

A. Na_2 Cr_2 O_7                            B. Oxalic acid                        C. NaOH                D. FeSO4.6H₂O

E. Sodium tetraborate

Choose the most appropriate answer from the options given below:

45 / 75

20. What is the correct IUPAC name of

46 / 75

SECTION-B (NUMERICAL VALUE TYPE QUESTIONS)

21. X g of nitrobenzene on nitration gave 4.2 g of m-dinitrobenzene. X =  ______________ g. (nearest integer) [Given: molar mass (in g mol^-¹) C: 12, H: 1, O: 16, N: 14]

47 / 75

22. A perfect gas (0.1 mol) having vector c_v = 1.50R (independent of temperature) undergoes the above transformation from point 1 to point 4. If each step is reversible, the total work done (w) while going from point 1 to point 4 is (-) _______________J. (nearest integer) [Given: R = 0.082 L atm K-¹ mol-¹]

48 / 75

23. A sample of n-octane (1.14 g) was completely burnt in excess of oxygen in a bomb calorimeter, whose heat capacity is 5 kJ K-¹. As a result of combustion reaction, the temperature of the calorimeter is increased by 5 K. The magnitude of the heat of combustion of octane at constant volume_____________ kJ mol-¹ (nearest integer).

49 / 75

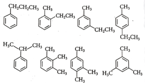
24. The total number of structural isomers possible for the substituted benzene derivatives with the molecular formula C9H12 is___________

50 / 75

25. Among, Sc, Mn, Co and Cu, identify the element with highest enthalpy of atomisation. The spin only magnetic moment value of that element in its +2 oxidation state is _______ B.M.  (in nearest integer).

51 / 75

Mathematics

SECTION-A (MULTIPLE CHOICE QUESTIONS)

1. The area of the region {(x, y): |x - y|≤ y ≤4√x} is

52 / 75

2. The number of solutions of the equation (4-√3) sinx-2√3 cos²x = -4/ 1+√3, x ∈ [-2π, 5π/2] is

53 / 75

3. The sum 1+ 1+3 / 2!+1+3+5/3!+1+3+5+7/4!+... upto ∞ terms, is equal to

54 / 75

4. Each of the angles β and γ that a given line makes with the positive y- and z-axes, respectively, is half of the angle that this line makes with the positive x-axes. Then the sum of all possible values of the angle β is

55 / 75

5. Let A = {-2,-1, 0, 1, 2, 3). Let R be a relation on A defined by xRy if and only if y = max{x, 1). Let l be the number of elements in R. Let m and n be the minimum number of elements required to be added in R to make it reflexive and symmetric relations, respectively. Then l + m + n is equal to

56 / 75

6. If the domain of the function f(x) = log_7 (1 - log_4 (x²- 9x + 18)) is (α, β) ∪ (γ, δ), then α + β + γ+ δ is equal to

57 / 75

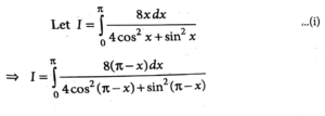
7.

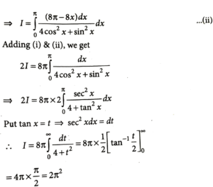
58 / 75

8. The distance of the point (7, 10, 11)  from the line x-4/1 = y-4/0 = z-2/3 along the line x-9/2 = y-13/3 = z-17/6 is

59 / 75

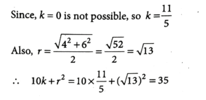
9. If the four distinct points (4, 6), (-1, 5), (0, 0) and (k, 3k) lie on a circle of radius r, then 10k +r^2 is equal to

60 / 75

10. If the probability that the random variable X takes the value x is given by P(X= x) = k(x+1)3^-x, x = 0, 1, 2, 3 ___________ where k is a constant, then P(X ≥ 3), is equal to

61 / 75

11. Let f: R→R be a function defined by f(x) = ||x+2|-2|x||. If m is the number of points of local minima and n is the number of points of local maxima of f, then m+n is

62 / 75

12. The shortest distance between the curves y² = 8x and x² + y² + 12y + 35 = 0 is :

63 / 75

13. Let C be the circle of minimum area enclosing the ellipse E: x^2/a^2+y^2/b^2 = 1 with eccentricity 1/2 and foci (±2, 0). Let PQR be a variable triangle, whose vertex P is on the circle C and the side QR of length 2a is parallel to the major axis of E and contains the point of intersection of E with the negative y-axis. Then the maximum area of the triangle PQR is:

64 / 75

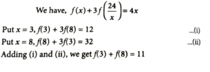
14. Let f be a function such that f(x) + 3f  (24/x) = 4x, x ≠ 0. Then f(3) + f(8) is equal to

65 / 75

15.

66 / 75

16. Let the equation x(x + 2)(12-k) = 2 have equal roots. Then the distance of the point (k, k/2) from the line 3x + 4y + 5 = 0 is

67 / 75

17. Consider the lines x(3λ + 1) + y (7λ + 2) = 17λ + 5, λ being a parameter, all passing through a point P. One of these lines (say L) is farthest from the origin. If the distance of L from the point (3, 6) is d, then the value of d² is

68 / 75

18. Line L₁ of slope 2 and line L₂ of slope 1/2 intersect at the origin O. In the first quadrant, P1, P2, ..., P12 are 12 points on line L₁ and Q1, Q2, ...., Q_9 are 9 points on line L2. Then the total number of triangles, that can be formed having vertices at three of the 22 points O, P1, P2,..., P12, Q1, Q2, ..., Q9, is:

69 / 75

19. Let the Mean and Variance of five observations x_₁ = 1, x_2 = 3, x_3 = a, x_4 = 7 and x_5 = b, a > b, be 5 and 10 respectively. Then the Variance of the observations n + x_n,  n = 1, 2, ...., 5 is

 

70 / 75

20. Let y = y(x) be the solution of the differential equation dy/dx + 3 (tan²x) y+3y = sec²x, y(0) =  1/3 + e³. Then y (π/4) is equal to

71 / 75

21.

72 / 75

22.

73 / 75

23. Let (1 + x + x²)¹º = a_0 + a_₁ x + a_2 x² +...+ a_20 x²º. If (a_1 + a_3 + a_5 + ..... + a_19) - 11a_2 = 121k, then k is equal to____

74 / 75

24. If the equation of the hyperbola with foci (4, 2) and (8, 2) is 3x² - y² - αx + βy + γ = 0, then a + β + γ is equal to ___________.

 

75 / 75

25.

Your score is

The average score is 20%