/150
0 votes, 0 avg
6

Your Time Starts Now

Time Out!!! Best of Luck


MBA 2026

LTL MAT 2026 FULL MOCK TEST 1

Greetings From Learn to Lead Academy!!!

The number of attempts remaining is 1

Greetings from LEARN TO LEAD ACADEMY !!! All the best !!!

1 / 150

  1. The average monthly salary of the works in a workshop is Rupees 8,500 . If the average monthly salary of 7 technicians is Rs. 10,000  and the average monthly salary of the rest is Rs. 7,800, then the total number of workers in the workshop is

2 / 150

2. There were 35 students in a hostel. If the number of students increase by 7, the expenses of mess increase by Rs. 42 per day while the average expenditure per head diminishes by 1. Find the original expenditure of the mess.

3 / 150

3. A man is 50 years old. His brother is 7 years older than him and his sister is 12 years younger than his brother. When his sister was 15 years old , then the men's age was :

4 / 150

4. The ratio of the number of boys to that of girls in a school is 4 :1. If 75% of boys and 70% of the girls are scholarship holders, then the percentage of students who do not get scholarship is

5 / 150

5. A tradesman gives 4 % discount on the marked price and gives 1 article free for buying every 15 articles thus gains 35 % . The marked price is increased above the cost price by.

6 / 150

6. A certain amount earns simple interest of Rs. 1750 after 7 years . Had the interest per annum been 2 % more, how much more interest would it have earned?

7 / 150

7. The number obtained by interchanging the digits of a two-digit number is less than the original number by 63. If the sum of the digits of the number is 11, what is the original number?

8 / 150

8.  Four Iron metal rods of  lengths 78 cm, 104 cm, 117 cm and 169 cm are to be cut into parts of equal length. Each part must be as long as possible. What is the maximum number of pieces that can be cut?

9 / 150

9. A tank has a leak which would empty the completely filled cistern in 20 hours. If the tank is full of water and a tap is opened which admits 2 liters of water per minute in the tank, the leak now takes 30 hours to empty the tank. How many liters of water does the tank hold?

10 / 150

10. A can cultivate (2/5)th of land in 6 days and B can cultivate (1/3)rd of the same land in 10 days . Working together A and B cultivate (4/5)th of the land in

11 / 150

11. (1² -2² +3² -4² + 5² - 6²+.., +9² - 10²) is equal to

12 / 150

12. The digit in the unit place of  [(251)^98 +(21)^29 - (106)^100 + (705)^35 - 16^4 +259] is

13 / 150

13. The ratio of the length of the parallel sides of a trapezium is 3:2. The shortest distance between them is 15 cm. If the area of the trapezium is 450 cm², then sum of lengths of the parallel sides is

14 / 150

14. The length of the three sides of a right angled triangle are (x -2) cm, x cm and (x +2) cm, respectively . Then the value of x is

15 / 150

15. Find the missing number

4832, 5840, 6848, ?

16 / 150

16.Find the missing number

6, 17, 39, 72, ?

17 / 150

17. Find the missing number

0.5 , 0.55, 0.65 , 0.8, ?

18 / 150

18. In each of these  questions, (I) and (II) are given . You have to solve both the equations and give answer .

I. x² - 8 √3x + 45 =0     II.  y² - √2y  -24 =0

19 / 150

19. In each of these  questions, (I) and (II) are given . You have to solve both the equations and give answer .

I. x = 3√2744

II. y = √487

20 / 150

20. In each of these questions, two equations I  and II are given. You have to solve both the equations and given answer.

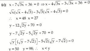
I. x- 7√3x + 36 =0    II. y - 12√2y +70 = 0    if

21 / 150

21. The perimeter of one face of a cube is 20 cm. Its volume must be

22 / 150

22. A solid sphere is melted and recast into a right circular cone with a base radius equal to the radius of the sphere. What is the ratio of the height and radius of cone so formed?

23 / 150

23. The system of equations kx - y = 2  and 6x -2y =3  has a unique solution when

 

24 / 150

24. The fare of a bus is ₹ x  for the first five kilometers and ₹13 per kilometers thereafter . If a passenger pays ₹ 2,402 for a journey of 187 kilometers, what is the value of x?

25 / 150

25. Directions for questions: Each problem contains a question followed by two statements I and II . You have to select the correct answer from  (a) and (d) on the basis of the statements. Mark your answer as:

What is the value of  X + 2Y?

I. 2X +4Y = 20

II. 3X+8Y = 35.

26 / 150

Directions for questions: Each problem contains a question followed by two statements I and II . You have to select the correct answer from  (a) and (d) on the basis of the statements. Mark your answer as:

26. Arjun paid ₹1300 for the tickets of a cricket match. How many tickets cost ₹200 each?

I. The price of the ticket of the match is either ₹150 or ₹200

II. Arjun has purchased more than two tickets of ₹200 each.

27 / 150

Directions for questions: Each problem contains a question followed by two statements I and II . You have to select the correct answer from  (a) and (d) on the basis of the statements. Mark your answer as:

27. What is the price of one shirt?

I. The price of two shirts and three trousers is ₹1050.

II. The price of three shirts and four trousers id ₹1450.

28 / 150

28. Directions for questions : Answer these question on the basis of the data given in the following table giving the trend in sales of four companies. The amounts has been given in lakshs.

Name of the company

Year Alpha Baron Celia Dowby
1986 12 2 18.5 12
1987 10 5 15 16
1988 18 7.5 16.5 15
1989 20 11.5 14.5 36
1990 25 15 50 48

The cumulative sales of all the companies put together in 1987 was how much of the sales of 1990?

29 / 150

29.

Directions for questions : Answer these question on the basis of the data given in the following table giving the trend in sales of four companies. The amounts has been given in lakshs.

Name of the company

Year Alpha Baron Celia Dowby
1986 12 2 18.5 12
1987 10 5 15 16
1988 18 7.5 16.5 15
1989 20 11.5 14.5 36
1990 25 15 50 48

Which two years has shown approximately equal sales for all the companies put together?

30 / 150

30. Directions for questions : Answer these question on the basis of the data given in the following table giving the trend in sales of four companies. The amounts has been given in lakshs.

Name of the company

Year Alpha Baron Celia Dowby
1986 12 2 18.5 12
1987 10 5 15 16
1988 18 7.5 16.5 15
1989 20 11.5 14.5 36
1990 25 15 50 48

Which company faced a decline in sales in 1989 over its previous year?

31 / 150

Q .NO 31 - 35.

Mixed Graph: Pie Chart breakup shows that number of employees in different department of an organization. Table shows the percentage of men in each department (Rest one woman)

Department Percentage of Men
IT 35
PRODUCTION 87
HR 25
MARKETING 75
DISTEIBUTION 50
ACCOUNTS 65

31. What is the Respective Ratio of the number of men from the marketing department to those from the accounts department

32 / 150

Department Percentage of Men
IT 35
PRODUCTION 87
HR 25
MARKETING 75
DISTEIBUTION 50
ACCOUNTS 65

 

32. The number of women from the IT department are what percent of the number of men from the same department (Rounded off to two digits after decimal)

33 / 150

 

Department Percentage of Men
IT 35
PRODUCTION 87
HR 25
MARKETING 75
DISTEIBUTION 50
ACCOUNTS 65

33. The total number of men from all departments together forms what percent of the total no. of employees in the organization?

34 / 150

Department Percentage of Men
IT 35
PRODUCTION 87
HR 25
MARKETING 75
DISTEIBUTION 50
ACCOUNTS 65

34. What is the total number of women from the production department and the HR department together?

35 / 150

Department Percentage of Men
IT 35
PRODUCTION 87
HR 25
MARKETING 75
DISTEIBUTION 50
ACCOUNTS 65

35. Which department has the highest number of women employees

36 / 150

Q. NO 36 to 40: Study the following graph carefully to answer these questions.

Percent Profit earned by selling Wheat and sugar over the years.

36. If the expenditure on production of sugar and wheat in 2002 was equal, what was the respective ratio of income through sales of these products?

37 / 150

37. The ratio of the amount of profit earned through sale of sugar in 2000 to that in 2001 was 7 : 6. What was the respective ratio of the expenditures?

38 / 150

38. Income through sales of wheat in 2004 was Rs. 16.8 lakhs. What was the expenditure on production?

39 / 150

39. If the total expenditure on production of wheat in 2001 was Rs. 13 lakhs, what was the amount of profit earned?

40 / 150

40. If the total income through sales of wheat and sugar in 1999 was Rs. 45 lakhs, what was the total expenditure on these two products?

41 / 150

(Q. NO 41 -45 )The following questions are to be answered on the basis of the pie-chart given below.

Person's monthly salary distributed over different expense heads

41. For a person, whose monthly salary is Rs. 6,000 p.m., how many items are there on which he has to spends more than Rs. 1000 p.m.?

42 / 150

Person's monthly salary distributed over different expense heads

 

42. For the same person, an expenditure of Rs. 1800 p.m. takes place on?

43 / 150

Person's monthly salary distributed over different expense heads

 

43. The annual savings for such a person will be approximately?

44 / 150

Person's monthly salary distributed over different expense heads

 

44. The monthly salary for a person who follows the same expense pattern, but has a petrol expense for Rs. 500 p.m., is?

45 / 150

Person's monthly salary distributed over different expense heads

 

45. The percentage of money spent on clothes and saving is equal to which other single item of expense?

46 / 150

Data Sufficiency 46 to 50:

46. What is the volume of a conical vessel?

I. The perimeter of the base of the vessel is 64 inches.

II. The volume of the vessel is 1/3rd of the volume of a cylinder of the same base and height.

47 / 150

47. What will Aishwary's age be 5 yr from now?

I. Aishwary's present age is twice the Vaibhav's present age.

II. Vaibhav, who is half of Aishwary's present age, was 21 yr. old, 5 yr. ago.

48 / 150

48. In how many hours can A alone complete the piece of work?

I. B alone can complete the piece of work in 28 h.

II. A, B and C together can complete the piece of work in 18 h.

49 / 150

49. Three numbers are in geometric progression and the  least of them is 1. Find the middle number.

I. The sum of the numbers is 21.

II. The product of the number is 64.

50 / 150

50. What is the value of n?

I. 3n+2m=18

II. n-m=2n-(4+m)

51 / 150

51. In each of the following questions, a question is followed by information given in three Statement I, II and III. You have to study the question along with the statements and decide the information given in which of the statement(s) is necessary to answer the question.

What is the present age of Sabir?

I. The present age of Sabir is half of his father's age.

II. After five years, the ratio of ages of Sabir and his father is 6: 11.

III. Sabir is younger to his brother by five years.

52 / 150

52. In each of the following questions, a question is followed by information given in three Statement I, II and III. You have to study the question along with the statements and decide the information given in which of the statement(s) is necessary to answer the question.

In how many days 10 women can finish the work?

I. 10 men finish the work in 6 days. 37

II. 10 women and 10 men finish the work in 3 (3/7) days.

III. If 10 men work 3 days and after that 10 women are deployed to work for men, the rest work is finished in 4 days.

53 / 150

Direction (53-55): Each question below is followed by two Statements I and II. You have to determine whether the data given in the statements are sufficient for answering the question. You should use the data and your knowledge of Mathematics to choose between the possible answers. Give answer

53. What is the speed of the boat in still water?

I. The boat travels at the speed of 4 km/h upstream.

II. The boat travels at the speed of 6km/h downstream.

54 / 150

54. What is the rate of interest per annum?

I. An amount of Rs. 6200 fetches simple interest of Rs. 1736 in 2 yг.

II. An amount of 4500 fetches compound interest of Rs. 1348.2 in 2 yr.

55 / 150

55. What is the value of the two digit number?

I. The product of the digits is 72 and the difference between the digit is 1.

II. The digit at the unit place is greater than the other.

56 / 150

56. What is the ratio of the present age of Rohan and his father?

I. Five year ago, Rohan's age was one-fifth of his father's age.

II. Two years ago, the sum of the ages of Rohan and his father was 36.

III. The sum of the ages of Rohan, his mother and his father is 62.

57 / 150

57. Question given below is followed by two Statements I and II. You have to determine whether the data given in the statements are sufficient for answering the question. You should use the data and your knowledge of Mathematics to choose between the possible answers. Give answer

The difference between the compound interest and the simple interest earned on a sum of money at same rate of interest for 3 yr. is '76.25. What is the sum?

I. The simple interest earned in 3 yr is '15000.

II. Rate of interest per annum is 5%

58 / 150

Each of these question is followed by two Statements marked as I and II. Decide whether the data provided in the statements is sufficient to answer the question. Mark answer as Give answer

58. Ms Unique Motors sold 80 per cent of the cars in its inventory during September. What was the total revenue from the sales of cars?

I. All but 60 cars in the showroom inventory were sold during September.

II. Cars were sold for an average price of Rs.4.5 lakh during September.

59 / 150

59. What is the monthly income of Mr. X?

I. Mr. X spends 85% of his income on various items and remaining amount is saved.

II. Monthly savings of Mr. X are Rs. 4500.

III. Out of the total money spent by Mr. X in a month, one-fifth is spent on food and remaining amount of Rs. 20400 on other items.

60 / 150

60. Each of these questions consists of a question and two Statements I and II. Decide whether the data provided in the Statements are sufficient to answer the question.

How much money did X invest?

I. An increase in the simple interest from 4(7/8)% to  5(1/8)% per annum increases his yearly income by Rs. 25.

II. The sum invested gets doubled, when invested at 8% annum for 12(1/2) yr.

61 / 150

Direction (61-65): Study the given information carefully to answer the given question.

J,K,L,M,N,O and G are seven different boxes of different colours i.e. Brown , Orange, Silver, Pink, Yellow, White and Green but not necessarily in the same order.

The Box which is of Brown colour is immediately above J. There are only two boxes between M and the box which is of Brown colour Box M is above the Brown colour box. The Box which is of Silver colour is above M but not immediately above M. There are only three boxes between L and the box which is of Silvercolour. The box which is of Greencolour is immediately above L. The box which is of Pink colour is immediately above the box G. Only one box is there between K and N. Box K is above N. Neither box K nor J is Yellow colour. J is not of orange colour.

61. How many box is /are there between M and G?

62 / 150

Direction (61-65): Study the given information carefully to answer the given question.

J,K,L,M,N,O and G are seven different boxes of different colours i.e. Brown , Orange, Silver, Pink, Yellow, White and Green but not necessarily in the same order.

The Box which is of Brown colour is immediately above J. There are only two boxes between M and the box which is of Brown colour Box M is above the Brown colour box. The Box which is of Silver colour is above M but not immediately above M. There are only three boxes between L and the box which is of Silvercolour. The box which is of Greencolour is immediately above L. The box which is of Pink colour is immediately above the box G. Only one box is there between K and N. Box K is above N. Neither box K nor J is Yellow colour. J is not of orange colour.

62. What is the colour of 'O'?

63 / 150

Direction (61-65): Study the given information carefully to answer the given question.

J,K,L,M,N,O and G are seven different boxes of different colours i.e. Brown , Orange, Silver, Pink, Yellow, White and Green but not necessarily in the same order.

The Box which is of Brown colour is immediately above J. There are only two boxes between M and the box which is of Brown colour Box M is above the Brown colour box. The Box which is of Silver colour is above M but not immediately above M. There are only three boxes between L and the box which is of Silvercolour. The box which is of Greencolour is immediately above L. The box which is of Pink colour is immediately above the box G. Only one box is there between K and N. Box K is above N. Neither box K nor J is Yellow colour. J is not of orange colour.

63. Find the pair of colour and boxes which is not correct?

64 / 150

Direction (61-65): Study the given information carefully to answer the given question.

J,K,L,M,N,O and G are seven different boxes of different colours i.e. Brown , Orange, Silver, Pink, Yellow, White and Green but not necessarily in the same order.

The Box which is of Brown colour is immediately above J. There are only two boxes between M and the box which is of Brown colour Box M is above the Brown colour box. The Box which is of Silver colour is above M but not immediately above M. There are only three boxes between L and the box which is of Silvercolour. The box which is of Greencolour is immediately above L. The box which is of Pink colour is immediately above the box G. Only one box is there between K and N. Box K is above N. Neither box K nor J is Yellow colour. J is not of orange colour.

64. Which of the following condition is correct regarding yellow colour with respect to N?

65 / 150

Direction (61-65): Study the given information carefully to answer the given question.

J,K,L,M,N,O and G are seven different boxes of different colours i.e. Brown , Orange, Silver, Pink, Yellow, White and Green but not necessarily in the same order.

The Box which is of Brown colour is immediately above J. There are only two boxes between M and the box which is of Brown colour Box M is above the Brown colour box. The Box which is of Silver colour is above M but not immediately above M. There are only three boxes between L and the box which is of Silvercolour. The box which is of Greencolour is immediately above L. The box which is of Pink colour is immediately above the box G. Only one box is there between K and N. Box K is above N. Neither box K nor J is Yellow colour. J is not of orange colour.

65. Which of the following colour belongs to 'J'?

66 / 150

Directions (66-70) : Study the following carefully and answer the given questions:

Eight persons M,N,O,P,Q,R,S, and T are sitting around a circular table facing the centre. They are different in profession. They are going are different places viz., Lucknow, Gurgaon, Delhi, Mumbai, Patna, Bangalore, Hyderabad, Pune. M, a doctor is going to Lucknow. Q is neither HR nor a lawyer but is sitting opposite to HR. O is second to right of S, an  engineer. R is either actor or HR and is going to Mumbai. Neither HR nor Leader goes to Mumbai. T, a leader is third to right of O. N is an artist and is going to Hyderabad. HR and Actor are sitting adjacent to each other. R, an actor is sitting second to left of N but second to right of O. Architecture is going to Bangalore . Engineer is going to Gurgaon while leader is going Delhi. P is not to Patna.

66. Who is an architecture?

67 / 150

Directions (66-70) : Study the following carefully and answer the given questions:

Eight persons M,N,O,P,Q,R,S, and T are sitting around a circular table facing the centre. They are different in profession. They are going are different places viz., Lucknow, Gurgaon, Delhi, Mumbai, Patna, Bangalore, Hyderabad, Pune. M, a doctor is going to Lucknow. Q is neither HR nor a lawyer but is sitting opposite to HR. O is second to right of S, an  engineer. R is either actor or HR and is going to Mumbai. Neither HR nor Leader goes to Mumbai. T, a leader is third to right of O. N is an artist and is going to Hyderabad. HR and Actor are sitting adjacent to each other. R, an actor is sitting second to left of N but second to right of O. Architecture is going to Bangalore . Engineer is going to Gurgaon while leader is going Delhi. P is not to Patna.

67. Who is going to Patna?

68 / 150

Directions (66-70) : Study the following carefully and answer the given questions:

Eight persons M,N,O,P,Q,R,S, and T are sitting around a circular table facing the centre. They are different in profession. They are going are different places viz., Lucknow, Gurgaon, Delhi, Mumbai, Patna, Bangalore, Hyderabad, Pune. M, a doctor is going to Lucknow. Q is neither HR nor a lawyer but is sitting opposite to HR. O is second to right of S, an  engineer. R is either actor or HR and is going to Mumbai. Neither HR nor Leader goes to Mumbai. T, a leader is third to right of O. N is an artist and is going to Hyderabad. HR and Actor are sitting adjacent to each other. R, an actor is sitting second to left of N but second to right of O. Architecture is going to Bangalore . Engineer is going to Gurgaon while leader is going Delhi. P is not to Patna.

68. What is P' s profession?

69 / 150

Directions (66-70) : Study the following carefully and answer the given questions:

Eight persons M,N,O,P,Q,R,S, and T are sitting around a circular table facing the centre. They are different in profession. They are going are different places viz., Lucknow, Gurgaon, Delhi, Mumbai, Patna, Bangalore, Hyderabad, Pune. M, a doctor is going to Lucknow. Q is neither HR nor a lawyer but is sitting opposite to HR. O is second to right of S, an  engineer. R is either actor or HR and is going to Mumbai. Neither HR nor Leader goes to Mumbai. T, a leader is third to right of O. N is an artist and is going to Hyderabad. HR and Actor are sitting adjacent to each other. R, an actor is sitting second to left of N but second to right of O. Architecture is going to Bangalore . Engineer is going to Gurgaon while leader is going Delhi. P is not to Patna.

69. How many persons are sitting between lawyer and engineer when counting clockwise from Engineer?

70 / 150

Directions (66-70) : Study the following carefully and answer the given questions:

Eight persons M,N,O,P,Q,R,S, and T are sitting around a circular table facing the centre. They are different in profession. They are going are different places viz., Lucknow, Gurgaon, Delhi, Mumbai, Patna, Bangalore, Hyderabad, Pune. M, a doctor is going to Lucknow. Q is neither HR nor a lawyer but is sitting opposite to HR. O is second to right of S, an  engineer. R is either actor or HR and is going to Mumbai. Neither HR nor Leader goes to Mumbai. T, a leader is third to right of O. N is an artist and is going to Hyderabad. HR and Actor are sitting adjacent to each other. R, an actor is sitting second to left of N but second to right of O. Architecture is going to Bangalore . Engineer is going to Gurgaon while leader is going Delhi. P is not to Patna.

70. Who is third to left of actor?

71 / 150

Directions (71 - 75): Study the following information carefully and answer the given questions:

A certain number of persons sit in a row adjacent to each other. Some of them like different fruits and others like different flowers. Six persons sit between the one who like mango and the one who like apple. The one who likes rose sit third to the left of the one who likes apple. Two persons sit between the one who likes rose and the one who likes marigold, who is not a neighbor of the one who likes mango. Only one person sit to the right of the one who likes marigold. No one sit to the right of the one who likes mango.

Note: The one who likes fruits faces South and the one who likes flowers face North.

71. How many persons sit in the row?

72 / 150

Directions (71 - 75): Study the following information carefully and answer the given questions:

A certain number of persons sit in a row adjacent to each other. Some of them like different fruits and others like different flowers. Six persons sit between the one who like mango and the one who like apple. The one who likes rose sit third to the left of the one who likes apple. Two persons sit between the one who likes rose and the one who likes marigold, who is not a neighbor of the one who likes mango. Only one person sit to the right of the one who likes marigold. No one sit to the right of the one who likes mango.

Note: The one who likes fruits faces South and the one who likes flowers face North.

72. How many persons sit between the one who like Mango and Rose?

73 / 150

Directions (71 - 75): Study the following information carefully and answer the given questions:

A certain number of persons sit in a row adjacent to each other. Some of them like different fruits and others like different flowers. Six persons sit between the one who like mango and the one who like apple. The one who likes rose sit third to the left of the one who likes apple. Two persons sit between the one who likes rose and the one who likes marigold, who is not a neighbor of the one who likes mango. Only one person sit to the right of the one who likes marigold. No one sit to the right of the one who likes mango.

Note: The one who likes fruits faces South and the one who likes flowers face North.

73. How many persons sits to the right of the one who likes marigold?

74 / 150

Directions (71 - 75): Study the following information carefully and answer the given questions:

A certain number of persons sit in a row adjacent to each other. Some of them like different fruits and others like different flowers. Six persons sit between the one who like mango and the one who like apple. The one who likes rose sit third to the left of the one who likes apple. Two persons sit between the one who likes rose and the one who likes marigold, who is not a neighbor of the one who likes mango. Only one person sit to the right of the one who likes marigold. No one sit to the right of the one who likes mango.

Note: The one who likes fruits faces South and the one who likes flowers face North.

74. What is the position of the one who likes Rose from the end?

75 / 150

Directions (71 - 75): Study the following information carefully and answer the given questions:

A certain number of persons sit in a row adjacent to each other. Some of them like different fruits and others like different flowers. Six persons sit between the one who like mango and the one who like apple. The one who likes rose sit third to the left of the one who likes apple. Two persons sit between the one who likes rose and the one who likes marigold, who is not a neighbor of the one who likes mango. Only one person sit to the right of the one who likes marigold. No one sit to the right of the one who likes mango.

Note: The one who likes fruits faces South and the one who likes flowers face North.

75. If the one who likes Orange sits third to the left of the one who likes mango then how many persons sit between the one who likes Apple and the one who likes Orange?

76 / 150

76. In a certain code, PRODUCTIONS is written as QQPCVEUHPMT . How is ORIENTATION written in that code?

77 / 150

77. If  A =1, BAN = 17, then INDIA = ?

78 / 150

78. Statement :

Cases of food poisoning due to consumption of liquor are increasing in rural areas.

Assumptions:

I. Percentage of people consuming liquor is more in rural areas.

II. There are many unauthorized spurious liquor shops in the rural areas.

79 / 150

79. Statement:

The Government has decided to levy2percent on the tax amount payable for funding drought relief programmes.

Assumptions:

I. The Government does not have sufficient money to fund drought relief programmes.

II. The amount collected by way of surcharge may be adequate to fund these drought relief programmes.

80 / 150

80. Statement :

An advertisement by bank X- "Our interest rates for education loan are lower than any other bank".

Assumptions:

I. Some other bank also provide education loans.

II. Interest rates charged on education loans are not same for all banks.

81 / 150

81. In a row of 40 boys, Adithya was shifted 10 places to the right of Rohan and Kewal was shifted 10 places to the left of Vilas. If Vilas was twenty-sixth from the left and there were three  boys between Kewal and Adithya after shifting, what was the position of Rohan in the row?

82 / 150

Syllogism.

82. Statements:

Some pearls are gems.

Some gems are diamonds.

All diamonds are rings.

All rings are bangles.

Conclusion :

I. Some bangles are rings.

II. All rings are diamonds.

III. All diamonds are bangles.

83 / 150

Syllogism.

83. Statements:

Some villages are cities.

Some cities are huts.

All huts are rivers.

Some rivers are tents.

Conclusions: Some tents are cities.

Some rivers are cities.

Some huts are villages.

84 / 150

Syllogism.

84. Statements:

All hotels are buses.

Some buses are cars.

All cars are trains.

Some trains are clouds.

Conclusions:

I. Some trains are buses.

II. Some trains are hotels.

III. Some clouds are cars.

85 / 150

85. Deepak starts walking straights towards east. After walking 75 meters, he turns to the left and walks 25 meters straight. Again the turns to the left, walks a distance of 4 meters straight, again he turns to the left and walks a distance of 25 meters. How far is he from the point?

86 / 150

86. Shyam walked 6 metres facing towards East, then took a right turn and walked a distance of 9 metres. He then took a left turn and walked a distance of 6 metres. How far is he from the straight point?

87 / 150

87. odd one out

a) Violet    b) Blue

c) Green     d) White

88 / 150

88. In below questions out the odd numbers/letters/numbers pairs from the given alternatives.

a) 217           b) 730

c)567            d)126

89 / 150

89. Missing terms in series

M5D, O7G, Q10J, ?, U19P

90 / 150

90. Missing terms in series.

(Y, V, S ,P, M, ?)

91 / 150

English (91 to 95)

The strongest haunts of life are in the deep sea, by which is meant the floor of the deepest part of the ocean and the layers of dark water near the floor. Life is found six miles below the surface where the water pressure is enormous more than 6000 pounds to the square inch. It is very cold there always about zero. It is also absolutely dark except for the fitful gleams of some fishes which, like fireflies, give out light of their own. It is too deep and dark for any plants to grow because paints need light, but no depth it seems, is too great for animal life

As there are no plants at this depth the animals must feed upon one another. The struggle to live is keen. The stomachs of some of the fishes stretch amazingly, so they may swallow objects larger than themselves. When a whale or a tortoise meets death in the ocean and sinks to the bottom there is a great feasting by millions of living things till the monster is devoured.

The sea swarms with strange and curious animals prowling about in the dark, some with long feelers and some with ling limbs like stills. Then, there are the cuttle fishes and true fishes stealing along. Certain kinds here are blind. They depend upon great feelers to get about and capture food

In the blackness of the deep sea many animals produce their own lights. This light may attract other fishes wanted fir food. But some deep-sea fishes have very large eyes so as to see in the clear light that they themselves make. Some of these animals have been brought up by dredgers at night and it is said that on these occasions “they gave off flashes of light, beside which the twenty torches used for working light were pale.” Some of these animals were carried into the laboratory where the lights were turned out. These creatures threw out brilliant jets of fire which changed from red to orange. Other shed green lights.

91. "It Is too deep and dark for any plants to grow" (Para 1)

92 / 150

The strongest haunts of life are in the deep sea, by which is meant the floor of the deepest part of the ocean and the layers of dark water near the floor. Life is found six miles below the surface where the water pressure is enormous more than 6000 pounds to the square inch. It is very cold there always about zero. It is also absolutely dark except for the fitful gleams of some fishes which, like fireflies, give out light of their own. It is too deep and dark for any plants to grow because paints need light, but no depth it seems, is too great for animal life

As there are no plants at this depth the animals must feed upon one another. The

struggle to live is keen. The stomachs of some of the fishes stretch amazingly, so they may swallow objects larger than themselves. When a whale or a tortoise meets death in the ocean and sinks to the bottom there is a great feasting by millions of living things till the monster is devoured.

The sea swarms with strange and curious animals prowling about in the dark, some with long feelers and some with ling limbs like stills. Then, there are the cuttle fishes and true fishes stealing along. Certain kinds here are blind. They depend upon great feelers to get about and capture food

In the blackness of the deep sea many animals produce their own lights. This light may attract other fishes wanted fir food. But some deep-sea fishes have very large eyes so as to see in the clear light that they themselves make. Some of these animals have been brought up by dredgers at night and it is said that on these occasions “they gave off flashes of light, beside which the twenty torches used for working light were pale.” Some of these animals were carried into the laboratory where the lights were turned out. These creatures threw out brilliant jets of fire which changed from red to orange. Others shed green lights.

92. ".....but no depth, It seems is too great for animal life."

93 / 150

The strongest haunts of life are in the deep sea, by which is meant the floor of the deepest part of the ocean and the layers of dark water near the floor. Life is found six miles below the surface where the water pressure is enormous more than 6000 pounds to the square inch. It is very cold there always about zero. It is also absolutely dark except for the fitful gleams of some fishes which, like fireflies, give out light of their own. It is too deep and dark for any plants to grow because paints need light, but no depth it seems, is too great for animal life

As there are no plants at this depth the animals must feed upon one another. The struggle to live is keen. The stomachs of some of the fishes stretch amazingly, so they may swallow objects larger than themselves. When a whale or a tortoise meets death in the ocean and sinks to the bottom there is a great feasting by millions of living things till the monster is devoured.

The sea swarms with strange and curious animals prowling about in the dark, some with long feelers and some with ling limbs like stills. Then, there are the cuttle fishes and true fishes stealing along. Certain kinds here are blind. They depend upon great feelers to get about and capture food

In the blackness of the deep sea many animals produce their own lights. This light may attract other fishes wanted fir food. But some deep-sea fishes have very large eyes so as to see in the clear light that they themselves make. Some of these animals have been brought up by dredgers at night and it is said that on these occasions “they gave off flashes of light, beside which the twenty torches used for working light were pale.” Some of these animals were carried into the laboratory where the lights were turned out. These creatures threw out brilliant jets of fire which changed from red to orange. Others shed green ligh

93.  Which of the following statements best summarises (Para 2)?

 

94 / 150

The strongest haunts of life are in the deep sea, by which is meant the floor of the deepest part of the ocean and the layers of dark water near the floor. Life is found six miles below the surface where the water pressure is enormous more than 6000 pounds to the square inch. It is very cold there always about zero. It is also absolutely dark except for the fitful gleams of some fishes which, like fireflies, give out light of their own. It is too deep and dark for any plants to grow because paints need light, but no depth it seems, is too great for animal life

As there are no plants at this depth the animals must feed upon one another. The struggle to live is keen. The stomachs of some of the fishes stretch amazingly, so they may swallow objects larger than themselves. When a whale or a tortoise meets death in the ocean and sinks to the bottom there is a great feasting by millions of living things till the monster is devoured.

The sea swarms with strange and curious animals prowling about in the dark, some with long feelers and some with ling limbs like stills. Then, there are the cuttle fishes and true fishes stealing along. Certain kinds here are blind. They depend upon great feelers to get about and capture food

In the blackness of the deep sea many animals produce their own lights. This light may attract other fishes wanted fir food. But some deep-sea fishes have very large eyes so as to see in the clear light that they themselves make. Some of these animals have been brought up by dredgers at night and it is said that on these occasions “they gave off flashes of light, beside which the twenty torches used for working light were pale.” Some of these animals were carried into the laboratory where the lights were turned out. These creatures threw out brilliant jets of fire which changed from red to orange. Others shed green lights.

4. Cuttle fishes depend upon their feelers mainly to

95 / 150

The strongest haunts of life are in the deep sea, by which is meant the floor of the deepest part of the ocean and the layers of dark water near the floor. Life is found six miles below the surface where the water pressure is enormous more than 6000 pounds to the square inch. It is very cold there always about zero. It is also absolutely dark except for the fitful gleams of some fishes which, like fireflies, give out light of their own. It is too deep and dark for any plants to grow because paints need light, but no depth it seems, is too great for animal life

As there are no plants at this depth the animals must feed upon one another. The struggle to live is keen. The stomachs of some of the fishes stretch amazingly, so they may swallow objects larger than themselves. When a whale or a tortoise meets death in the ocean and sinks to the bottom there is a great feasting by millions of living things till the monster is devoured.

The sea swarms with strange and curious animals prowling about in the dark, some with long feelers and some with ling limbs like stills. Then, there are the cuttle fishes and true fishes stealing along. Certain kinds here are blind. They depend upon great feelers to get about and capture food

In the blackness of the deep sea many animals produce their own lights. This light may attract other fishes wanted fir food. But some deep-sea fishes have very large eyes so as to see in the clear light that they themselves make. Some of these animals have been brought up by dredgers at night and it is said that on these occasions “they gave off flashes of light, beside which the twenty torches used for working light were pale.” Some of these animals were carried into the laboratory where the lights were turned out. These creatures threw out brilliant jets of fire which changed from red to orange. Others shed green lights.

95. The last paragraph is about

96 / 150

Q. NO 96 to 100:

Fingerprints are the marks made by the ridges on the ends of the fingers and thumbs. These ridges form a pattern that stays the same throughout a person’s life. No two persons have ever had the same fingerprints. So, fingerprints are a foolproof way of identifying a person.

A fingerprint record is made in an interesting manner. A small piece of metal is coated with a thin film of ink. Next, a person’s finger and thumb tips are pressed against the inked surface. Then, the fingertips are pressed on a white card. The prints are recorded in exact detail

Fingerprinting is often used to solve crimes. Fingerprints are picked up at the scene of a crime. These are compared with those of a suspect. Millions of fingerprints are kept on files by police departments.

Fingerprinting is also used in finding missing persons and identifying unknown dead. It is used to screen people who apply for certain jobs.

It is thought that the Chinese used thumb prints to sign documents a long time before Christ. The system used today was invented by Sir Francis Galton in the 1880’s. In 1901 Sir ER Henry found a simple way of grouping fingerprints. His system is used by many law-enforcement organizations.

96. Fingerprints are the most______________ way of identifying a person.

97 / 150

Fingerprints are the marks made by the ridges on the ends of the fingers and thumbs. These ridges form a pattern that stays the same throughout a person’s life. No two persons have ever had the same fingerprints. So, fingerprints are a foolproof way of identifying a person.

A fingerprint record is made in an interesting manner. A small piece of metal is coated with a thin film of ink. Next, a person’s finger and thumb tips are pressed against the inked surface. Then, the fingertips are pressed on a white card. The prints are recorded in exact detail

Fingerprinting is often used to solve crimes. Fingerprints are picked up at the scene of a crime. These are compared with those of a suspect. Millions of fingerprints are kept on files by police departments.

Fingerprinting is also used in finding missing persons and identifying unknown dead. It is used to screen people who apply for certain jobs.

It is thought that the Chinese used thumb prints to sign documents a long time before Christ. The system used today was invented by Sir Francis Galton in the 1880’s. In 1901 Sir ER Henry found a simple way of grouping fingerprints. His system is used by many law-enforcement organizations.

97. The main reason why fingerprinting is used for identification is that

98 / 150

Fingerprints are the marks made by the ridges on the ends of the fingers and thumbs. These ridges form a pattern that stays the same throughout a person’s life. No two persons have ever had the same fingerprints. So, fingerprints are a foolproof way of identifying a person.

A fingerprint record is made in an interesting manner. A small piece of metal is coated with a thin film of ink. Next, a person’s finger and thumb tips are pressed against the inked surface. Then, the fingertips are pressed on a white card. The prints are recorded in exact detail

Fingerprinting is often used to solve crimes. Fingerprints are picked up at the scene of a crime. These are compared with those of a suspect. Millions of fingerprints are kept on files by police departments.

Fingerprinting is also used in finding missing persons and identifying unknown dead. It is used to screen people who apply for certain jobs.

It is thought that the Chinese used thumb prints to sign documents a long time before Christ. The system used today was invented by Sir Francis Galton in the 1880’s. In 1901 Sir ER Henry found a simple way of grouping fingerprints. His system is used by many law-enforcement organizations.

98. Who first evolved a system of using finger impressions to authenticate documents?

99 / 150

Fingerprints are the marks made by the ridges on the ends of the fingers and thumbs. These ridges form a pattern that stays the same throughout a person’s life. No two persons have ever had the same fingerprints. So, fingerprints are a foolproof way of identifying a person.

A fingerprint record is made in an interesting manner. A small piece of metal is coated with a thin film of ink. Next, a person’s finger and thumb tips are pressed against the inked surface. Then, the fingertips are pressed on a white card. The prints are recorded in exact detail

Fingerprinting is often used to solve crimes. Fingerprints are picked up at the scene of a crime. These are compared with those of a suspect. Millions of fingerprints are kept on files by police departments.

Fingerprinting is also used in finding missing persons and identifying unknown dead. It is used to screen people who apply for certain jobs.

It is thought that the Chinese used thumb prints to sign documents a long time before Christ. The system used today was invented by Sir Francis Galton in the 1880’s. In 1901 Sir ER Henry found a simple way of grouping fingerprints. His system is used by many law-enforcement organizations.

99.The present system of recording fingerprints is around years old.

100 / 150

Fingerprints are the marks made by the ridges on the ends of the fingers and thumbs. These ridges form a pattern that stays the same throughout a person’s life. No two persons have ever had the same fingerprints. So, fingerprints are a foolproof way of identifying a person.

A fingerprint record is made in an interesting manner. A small piece of metal is coated with a thin film of ink. Next, a person’s finger and thumb tips are pressed against the inked surface. Then, the fingertips are pressed on a white card. The prints are recorded in exact detail

Fingerprinting is often used to solve crimes. Fingerprints are picked up at the scene of a crime. These are compared with those of a suspect. Millions of fingerprints are kept on files by police departments.

Fingerprinting is also used in finding missing persons and identifying unknown dead. It is used to screen people who apply for certain jobs.

It is thought that the Chinese used thumb prints to sign documents a long time before Christ. The system used today was invented by Sir Francis Galton in the 1880’s. In 1901 Sir ER Henry found a simple way of grouping fingerprints. His system is used by many law-enforcement organizations.

100.  The fingerprints are stored for record

101 / 150

Cloze Test

101. The Aryans 101 about Northern Asia and Europe over the wide grasslands. But as their numbers grew and the climate became drier and the land 102, there was not 103 food for all of them to eat. 104 they were forced to move to other parts of the world in search of 105.

102 / 150

cloze test 102.

Aryans 101 about Northern Asia and Europe over the wide grasslands. But as their numbers grew and the climate became drier and the land 102, there was not 103 food for all of them to eat. 104 they were forced to move to other parts of the world in search of 105.

103 / 150

cloze test 103.

Aryans 101 about Northern Asia and Europe over the wide grasslands. But as their numbers grew and the climate became drier and the land 102, there was not 103 food for all of them to eat. 104 they were forced to move to other parts of the world in search of 105.

104 / 150

cloze test 104.

Aryans 101 about Northern Asia and Europe over the wide grasslands. But as their numbers grew and the climate became drier and the land 102, there was not 103 food for all of them to eat. 104 they were forced to move to other parts of the world in search of 105.

105 / 150

cloze test 105.

Aryans 101 about Northern Asia and Europe over the wide grasslands. But as their numbers grew and the climate became drier and the land 102, there was not 103 food for all of them to eat. 104 they were forced to move to other parts of the world in search of 105.

106 / 150

Q. NO 106-110.ERROR SPOTTING

106. Looking into the situation (a) /that prevailed a few years ago (b)/ he was taken that decision. (c)/ No error (d)

107 / 150

107. The secret of his good health lies in the fact (a)/ that he is getting up before sunrise (b)/ and has a two mile walk every morning. (c)/ No error (d)

108 / 150

108. The old man who is sitting in that room (a)/ lived here for more than a month (b)/ but he has never created any problem. (c)/ No error (d)

109 / 150

109. I knew our college library was run chaotically (a)/ but only recently did I discover (b)/ how bad the situation is.(c)/ No error (d)

110 / 150

110. The judge had not given (a)/ any decision until (b)/ he had studied the case. (c)/ No error (d)

111 / 150

Directions (Q.Nos. 111-115) In the following questions, four alternatives are given for the idiom/phrase underlined sentence. Choose the alternative, which best expresses the meaning of the idiom/phrase.

111. I am tired of the rat-race in the corporate sector.

112 / 150

Idioms and phrases

112. Sachin is an indifferent student. He is often all at sea.

113 / 150

Idioms and phrases

113. I am waiting for the old man to kick the bucket so that I can get his money.

114 / 150

Idioms and phrases

114. You can easily overcome this situation if you keep your head.

115 / 150

Idioms and phrases

115. To roll up one's sleeves

116 / 150

Q (116-117) Sentence Improved

116. In the following questions you will find sentences, part of which are italicized. Compare the italicized part of each sentence with the expressions (a), (b) and (c) given below. Choose the expression which is an improvement upon the italicized part. If none of the three expressions improves the sentence, your answer is (d).

He stopped to work an hour ago.

117 / 150

Sentence Improved

117. In the following questions you will find sentences, part of which are italicized. Compare the italicized part of each sentence with the expressions (a), (b) and (c) given below. Choose the expression which is an improvement upon the italicized part. If none of the three expressions improves the sentence, your answer is (d).

Mr Patel and the other dissident leaders have taken shelter at the Church last month after the authorities ordered their arrest.

118 / 150

Q No. 118 to 120 In each of the following questions, choose the correctly spelt word.

118. (a)Pitiaeble (b) Pitiable (c)pitiabale (d)Pitiebale

 

119 / 150

Q No. 118 to 120 In each of the following questions, choose the correctly spelt word.

119. (a) Sacrilegeous (b) Sacrilegious (c) Sacriligous (d) Sacreligious

120 / 150

Q No. 118 to 120 In each of the following questions, choose the correctly spelt word.

120. (a) Puerille (b) Puerrile (c) Puerile (d) Purrile

121 / 150

GENAREL KNOWLEDGE 121 - 150

121. By what percentage did foreign Direct Investment (FDI) inflows into India increase in 2025, reaching USD 47 billion?

122 / 150

122. According to SEBI's proposal, from which of the following dates will only certified individuals be eligible to be appointed as, or continue to act as compliance officers of managers  of alternative investment funds (AIFs)?

123 / 150

123. Following the signing of an MoU with the Reserve Bank of India (RBI), the Delhi government  will raise funds from the open market for the first time. At Approximately what interest rate will these borrowings be made?

124 / 150

124. Which company retained its position as the world's most valuable Information Technology services brand in 2026, according to Brand Finance

125 / 150

125. As  of 2026, the reserve Bank of India (RBI) issued the revised Integrated Ombudsman Scheme which will come into effect from which date?

126 / 150

126.  Which bank regained its position as the second - most valuable bank in India by  market capitalization, surpassing ICICI bank?

127 / 150

127. As of  January 2026, Arijit Basu has been appointed as the part- time Chairman of which bank?

128 / 150

128. How much budget allocation did the Government of India provide in Union Budget 2025-26 specifically for cybersecurity strengthening?

129 / 150

129. The World Bank- assisted Jal Sanrakshit Haryana Project aims to make Haryana self - reliant in which sector?

130 / 150

130. Which Indian state reported the highest household participation with 21% in securities markets according to the Securities and Exchange Board of India (SEBI) survey?

131 / 150

131. Which TReDS platform became the first in India to declare and pay an interim dividend of 21. 6%, marking a historic milestone in the Indian TReDS ecosystem?

132 / 150

132.  Which Institute did the Indian Army sign a Memorandum of Understanding (MoU) with to jointly develop a fully indigenous Artificial Intelligence system?

133 / 150

133. Which of the following countries joined the Eurozone and adopted the 'Euro' as its official currency on January 1, 2026, thereby becoming the 21st member of the euro area?

134 / 150

134. In the "Rupee Comes From" chart, which source contributes the largest share at 24%?

135 / 150

135. As of 2026, Martyrs Day In India is observed on 30th January to commemorate the death of which leader?

136 / 150

136. India's first man-made beach micro nation, Republic of Nature, is located in Chennai, Tamil Nadu. It is developed at a cost of _____________.

137 / 150

137. Which former Finance Minister of India presented the Union Budget the maximum number of times overall, though not consecutively?

138 / 150

138. The Ministry of Finance has notified a new tax structure for 'sin goods', replacing the GST compensation cess with the tobacco additional excise duty and the Pan Masala Health & National Security Cess. From which date will this new tax structure come into effect?

139 / 150

139. According to the Union Minister of Agriculture and Farmers' Welfare, Shivraj Singh Chouhan, India has become the world's largest rice producer, surpassing China. What was India's total rice output that led to this achievement?

140 / 150

140. Who is the author of the book The Life and Legacy of Arun Jaitley?

141 / 150

141. According to a recent Government of India release, India has surpassed Japan to become the world's 4th-largest economy. India has set a 2030 target of becoming the 3rd-largest economic power by overtaking which of the following countries, with a projected GDP of $7.3 trillion?

142 / 150

142. What is the name of Microsoft's second - generation in - house AI processor?

143 / 150

143. How much primary capital will Emirates NBD Bank Infuse to acquire a controlling stake In RBL Bank?  USD 2 billion USD 3 billion USD 4 billion USD 5 billion

144 / 150

144. Which sector has the highest specific expenditure allocation in crore for 2026-27?

145 / 150

145. What is the total Revenue Expenditure estimated for 2026-27 (BE)?  38.7 Lakh Crore 41.3 Lakh Crore 36.0 Lakh Crore 35.3 Lakh Crore

146 / 150

146. Which group is central to the "Yuva Shakti-driven Budget"?

147 / 150

147. The Defence Research and Development Organisation (DRDO) observed its '________ Foundation Day' on January 1, 2026.

148 / 150

148. In the ''Rupee Goes To'' chart, which sector receives the highest allocation at 2%

149 / 150

149. What is the name of Microsoft's second-generation in-house AI processor?

150 / 150

150. Which city topped the Cost -of- Living Index by City 2026 released by Numbeo as the expensive city in the world?

Your score is

The average score is 6%