/75
0 votes, 0 avg
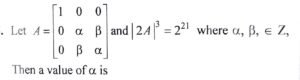
9

Your time starts now

Time out !!!!


IIT-JEE 2026

C11 JEE FT1

Greetings from LEARN TO LEAD ACADEMY

The number of attempts remaining is 2

Greetings from LEARN TO LEAD ACADEMY !!! All the best !!!!

1 / 75

CHEMISTRY

  1.  Which of the following pairs of gases contains the same number of molecules?

2 / 75

2. Formation of CO and CO2 illustrates the law of ————–.

3 / 75

3. Which of the following statements is/are true for pure substances?

4 / 75

4. Assertion (A): At 273 K & 1 bar 22.4 L of both oxygen & CO2 contains an equal number of molecules.

Reason (R): According to Avogadro’s law, at a constant temperature & pressure equal volumes of all gases contain an equal number of molecules

5 / 75

5. What will be the molarity of a solution, which contains 5.85 g of NaCl(s) per 500 mL?

6 / 75

6. The number of atoms present in one mole of an element is equal to Avogadro number. Which of the following element contains the greatest number of atoms?

7 / 75

7. One mole of any substance contains 6.022 × 10²³ atoms/molecules. Number of molecules of H2 SO4 present in 100 mL of 0.02M H2SO4 solution is ______.

8 / 75

8. The empirical formula and molecular mass of a compound are CH2O and 180 g respectively. What will be the molecular formula of the compound?

9 / 75

9. Which of the following reactions is not correct according to the law of conservation of mass.

10 / 75

10. Assertion (A): One atomic mass unit is defined as one twelfth of the mass of one carbon-12 atom.

Reason (R): Carbon-12 isotope is the most abundant isotope of carbon and has been chosen as standard.

11 / 75

11. Match the following:

(i) 88 g of CO2                                               (a) 0.25 mol

(ii) 6.022 ×1023 molecules of H2O           (b) 2 mol

(iii) 5.6 litres of O2 at STP                          (c) 1 mol

(iv) 96 g of O2                                               (d) 6.022 × 1023 molecules

(v) 1 mol of any gas                                      (e) 3 mol

12 / 75

12. Which of the following is not an example of redox reaction?

13 / 75

13. The oxidation number of an element in a compound is evaluated on the basis of certain rules. Which of the following rules is not correct in this respect?

14 / 75

14. In which of the following compounds, an element exhibits two different oxidation states.

15 / 75

15. Identify disproportionation reaction

16 / 75

16. Which of the following elements does not show disproportionation tendency?

17 / 75

17. Which of the following arrangements represent increasing oxidation number of the central atom?

18 / 75

18. Match Column I with Column II for the oxidation states of the central atoms.

Column I               Column I

(i) Cr2O7 2–        (a) + 3

(ii) MnO4 –         (b) + 4

(iii) VO3 –           (c) + 5

(iv) FeF6 3–       (d) + 6

                              (e) + 7

19 / 75

19. Assertion (A): The decomposition of hydrogen peroxide to form water and oxygen is an example of disproportionation reaction.

Reason (R): The oxygen of peroxide is in –1 oxidation state and it is converted to zero oxidation state in O2 and –2 oxidation state in H2O.

20 / 75

20. Assertion (A): Among halogens fluorine is the best oxidant.

Reason (R): Fluorine is the most electronegative atom .

21 / 75

21. The most powerful oxidising agent among the following is:

22 / 75

22. Consider the following reaction:

Zn + Cu^2+ → Zn^2+ + Cu

With reference to the above, which one of the following is the correct statement?

23 / 75

23. Reduction never involves:

24 / 75

24. In the reaction

3Br2 + 6CO3²- + 3H2O → 5Br + BrO3– + 6HCO3–

25 / 75

25. The oxidation number of Cr in K2Cr2O7 is:

26 / 75

MATHS

1. n-1ˆC_r = (kˆ2−8)nˆC_r+1 if and only if :

27 / 75

2. The distance, of the point (7, -2, 11) from the line x-6/1 = y-4/0=z-8/3 along the line x-5/2 = y-1/-3=z-5/6 is

28 / 75

3. The number of common terms in the progressions 4, 9, 14, 19,..., up to 25th term and 3, 6, 9, 12, ..., up to 37th term is:

29 / 75

4. If the shortest distance between the lines x-4/1 = y+1/2= z/-3 and x-λ/2  =y +1/4 = z-2/-5 is 6/√5

then the sum of all possible values of λ is

30 / 75

5. Let S = {1, 2, 3, ..., 10}. Suppose M is the set of all the subsets of S, then the relation R = {(A, B): A∩ B ≠ Φ; А, B ∈ M} is:

31 / 75

6. Statement-I: f(-x) is the inverse of the matrix f(x).

Statement-II: f(x) f(y) = f(x + y).

In the light of the above statements, choose the correct answer from the options given below

32 / 75

7. The function f: N - {1} → N; defined by f(n) = the A highest prime factor of n, is:

33 / 75

8.

34 / 75

9.

35 / 75

10. The 20th term from the end of the progression 20, 19(1/4), 18(1/2), 17(3/4), ....–129 (1/4) is:

36 / 75

11.

37 / 75

12. If the sum of squares of all real values of α, for which the lines 2x-y+3=0,6x+3y+1=0 and αx+2y-2= 0 do not form a triangle is p, then the greatest integer less than or equal to p is.... .

38 / 75

13. If in a G.P. of 64 terms, the sum of all the terms is 7 times the sum of the odd terms of the G.P, then the common ratio of the G.P. is equal to

39 / 75

14. In an A.P., the sixth terms a_6 = 2. If the a_1, a_4, a_5, is the greatest, then the common difference of the A.P., is equal to

40 / 75

15. If z = 1/2 -2i, is such that | z+ 1| = α z +β(1+i), i =√-1 and α, β∈R, then α+β is equal to

41 / 75

16. Let (5, a/4) be the circumcenter of a triangle with vertices A(a, -2), B(a, 6)  and C(a/4, -2). Let α denote the circumradius, β denote the area and γ denote the perimeter of the triangle. Then α + β + γ is

42 / 75

17.

43 / 75

18. Let PQR be a triangle with R(-1, 4, 2). Suppose M(2, 1, 2) is the mid point of PQ. The distance of the centroid of ΔPQR from the point of intersection of the line x-2/0 = y/2 = z+3/-1 and x-1/1 = y+3/-3 = z+1/1 is

44 / 75

19. All the letters of the word "GTWENTY" are written in all possible ways with or without meaning and these words are written as in a dictionary. The serial number of the word "GTWENTY" is ___________________ .

45 / 75

20. If 11ˆ C_1/2 +11ˆC_2/3+ ... + 11ˆC_9/10 = n/m with gcd (n,m) = 1, then n +m is equal to ____________

46 / 75

21.  The sum of the |p^-1 AP-2l| is equal to

47 / 75

22. Number of ways of arranging 8 identical books into 4 identical shelves where any number of shelves may remain empty is equal to

48 / 75

23. Let P(3, 2, 3); Q(4, 6, 2) and R(7, 3, 2) be the vertices of ΔPQR. Then, the angle ∠QPR is

49 / 75

24. If each term of a geometric progression a_1, a_2, a_3, ... with a_1 = 1/8 and a_2 ≠ a_₁, is the arithmetic mean of the next two terms and S_n = a_1 + a_₂ + ... + a_n, then S_20-S_18 is equal to

50 / 75

25. Let O be the origin, and M and N be the points on the lines x-5/4 = y-4/1 = z-5/3 and x+8/12 = y +2/5 = z +11/9 respectively such that MN is the shortest distance between the given lines. Then vector OM. vector ON is equal to

51 / 75

PHYSICS

1. A physical quantity Q is found to depend on quantities a, b, c by the relation Q = a^4b^3/c^2.  The percentage error in a, b and c are 3%, 4% and 5% respectively. Then, the percentage error in Q is

52 / 75

2. Two resistances are given as R_₁ = (10 ± 0.5) Ω and R_2 = (15 ± 0.5) Ω. The percentage error in the measurement of equivalent resistance when they are connected in parallel is

53 / 75

3. A cylindrical wire of mass (0.4 ± 0.01) g has length (8 ± 0.04) cm and radius (6±0.03) mm. The maximum error in its density will be

54 / 75

4. Given below are two statements:

Statement I: Astronomical unit (Au), Parsec (Pc) and Light year (ly) are units for measuring astronomical distances.

Statement II: Au < Parsec (Pc) < ly In the light of the above statements, choose the most appropriate answer from the options given below

55 / 75

5. Match List I with List II.

List-I                                                                List-II

A. Torque                                                    I. [M^1L^1T^-2A^-2]

B. Magnetic field                                       II. [L^2A^1]

C. Magnetic moment                                III. [M^1T^-2A^-1]

D. Permeability of free space                  IV. [M^1L^2T^-2]

Choose the correct answer from the options given below.

56 / 75

6. Match List I with List II.

List I                                                                                         List II

A. Torque                                                                             I. ML^-2T^-2

B. Stress                                                                              II. ML^2T^-2

C. Pressure gradient                                                         III. ML^-1T^-1

D. Coefficient of viscosity                                                IV. ML^-1T^-2

Choose the correct answer from the options given below.

57 / 75

7. From the v-t graph shown, the ratio of distance to displacement in 25 s of motion is

58 / 75

8. The velocity time graph of a body moving in a straight line is shown in figure.

The ratio of displacement to distance travelled by the body in time 0 to 10 s is

59 / 75

9. An object moves with speed v_1, v_2 and v_3 along a line segment AB, BC and CD respectively as shown in figure. Where AB = BC and AD = 3AB, then average speed of the object will be

60 / 75

10. A bullet is shot vertically downwards with an initial velocity of 100 m/s from a certain height. Within 10s the bullet reaches the ground and instantaneously comes to rest due to the perfectly inelastic collision. The velocity- time curve for total time t = 20 s will be (Take g = 10 m/s²).

61 / 75

11. The velocity of a particle is v = v_o + gt + Ft². Its position is x = 0 at t = 0; then its displacement after time        (t = 1) is

62 / 75

12. The velocity of a particle is v = v_o + gt + ft². If its position is x = 0 at t = 0, then its displacement after unit time (t = 1) is

63 / 75

13. Which graph corresponds to an object moving with a constant negative acceleration and a positive velocity?

64 / 75

14. A body starts from rest at time t = 0, the acceleration time graph is shown in the figure. The maximum velocity attained by the body will be

65 / 75

15. A particle moves in a straight line so that its displacement x at any time t is given by x² = 1 + t². Its acceleration at any time t is x^-n where n =________________

66 / 75

16. The velocity of the bullet becomes one third after it penetrates 4 cm in a wooden block. Assuming that bullet is facing a constant resistance during its motion in the block. The bullet stops completely after travelling at        (4 + x) cm inside the block. The value of x is

67 / 75

17. A ball is thrown up with a certain velocity so that is reaches a height h. Find the ratio of the two different times of the ball reaching h/3 in both the directions.

68 / 75

18. A passenger sitting in a train A moving at 90 km/h observes another train B moving in the opposite direction for 8 s. If the velocity of the train B is 54 km/h, then length of train B is

69 / 75

19. The speed of a swimmer is 4 km h^-1 in still water. If the swimmer makes his strokes normal to the flow of river of width 1 km, he reaches a point 750 m down the stream on the opposite bank. The speed of the river water is ____________ km h^-1.

70 / 75

20. At time t = 0 a particle starts travelling from a height 7z ̂ cm in a plane keeping z coordinate constant. At any instant of time it's position along the x ̂ and y ̂ directions are defined as 3t and 5t^3 respectively. At t = 1 s acceleration of the particle will be

71 / 75

21. Two projectile thrown at 30° and 45° with the horizontal respectively, reach the maximum height in same time. The ratio of their initial velocities is

72 / 75

22. 100 balls each of mass m moving with speed v simultaneously strike a wall normally and reflected back with same speed, in time t s. The total force exerted by the balls on the wall is

73 / 75

23. A monkey of mass 50 kg climbs on a rope which can withstand the tension (T) of 350 N. If monkey initially climbs down with an acceleration of 4 m/s² and then climbs up with an acceleration of 5 m/s². Choose the correct option (g = 10 m/s²)

74 / 75

24. Two masses M₁ and M₂ are tied together at the two ends of a light inextensible string that passes over a frictionless pulley. When the mass M₂ is twice that of M₁, the acceleration of the system is a₁. When the mass M₂ is thrice that of M₁, the acceleration of the system is a₂. The ratio a_1/a_2 will be

75 / 75

25. A balloon has mass of 10 g in air. The air escapes from the balloon at a uniform rate with velocity 4.5 cm/s. If the balloon shrinks in 5 s completely. Then, the average force acting on that balloon will be (in dyne)

Your score is

The average score is 29%