/75
0 votes, 0 avg
2

Your time starts now!!!

Time out !!!


IIT JEE MAIN 2026

LTL JEE MAIN FT -19

Greetings from LEARN TO LEAD ACADEMY!!!

The number of attempts remaining is 3

Greetings from LEARN TO LEAD ACADEMY!!! All the best!!!

1 / 75

PHYSICS

SECTION - A (MULTIPLE CHOICE QUESTIONS)

1. If ε, E and t represent the free space permittivity, electric field and time respectively, then the unit of εE/t will be

2 / 75

2. In parallax method for the determination of focal length of a concave mirror, the object should always be placed

 

3 / 75

3. Given below are two statements:

Statement I: An object moves from position r_₁ to position r_2 under a conservative force field F^→. The work done by the force is W= -∫^r_2_r_1 F^→.dr^→

Statement II: Any object moving from one location to another location can follow infinite number of paths. Therefore, the amount of work done by the object changes with the path it follows for a conservative force.

In the light of the above statements, choose the correct answer from the options given below:

4 / 75

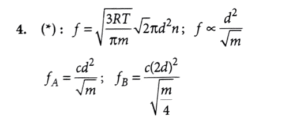
4. Consider two boxes containing ideal gases A and B such that their temperatures, pressures and number densities are same. The molecular size of A is half of that of B and mass of molecule A is four times that of B. If the collision frequency in gas B is 32 × 10^18/s then collision frequency in gas A is _________/s.

5 / 75

5. Using a simple pendulum experiment g is determined by measuring its time period T. Which of the following plots represent the correct relation between the pendulum length L and time period T?

6 / 75

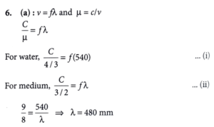
6. The wavelength of light, while it is passing through water is 540 nm. The refractive index of water is 4/3. The wavelength of the same light when it is passing through a transparent medium having refractive index of 3/2 is ________ nm.

7 / 75

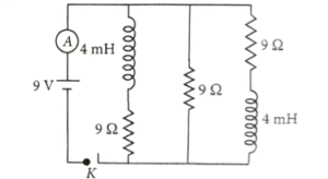
7. Figure shows the circuit that contains three resistances (9Ω each) and two inductors (4 mH each). The reading of ammeter at the moment switch K is turned on, is _____ A.

8 / 75

8. The correct truth table for the given input data of the following logic gate is

9 / 75

9. An electric power line having total resistance of 2 Ω, delivers 1 kW of power at 250 V. The percentage efficiency of transmission line is _______.

10 / 75

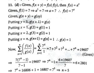
10. Which of the following are true for a single slit diffraction?

A. Width of central maxima increases with increase in wavelength keeping slit width constant.

B. Width of central maxima increases with decrease in wavelength keeping slit width constant.

C. Width of central maxima increases with decrease in slit width at constant wavelength.

D. Width of central maxima increases with increase in slit width at constant wavelength.

E. Brightness of central maxima increases for decrease in wavelength at constant slit width.

11 / 75

11. In an open organ pipe υ_₃ and υ_6 are 3rd and 6th harmonic frequencies, respectively. If υ_6 - υ_3 = 2200 Hz then length of the pipe is _________ mm.

(Take velocity of sound in air is 330 m/s.)

12 / 75

12. Light is incident on a metallic plate having work function 110 × 10^-20 J. If the produced photoelectrons have zero kinetic energy then the angular frequency of the incident light is ________ rad/s. (h = 6.63 × 10^-34 J.s).

13 / 75

13.  The smallest wavelength of Lyman series is 91 nm. The difference between the largest wavelengths of Paschen and Balmer series is nearly _________ nm.

14 / 75

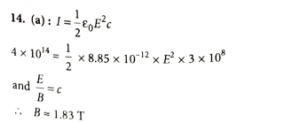
14. A laser beam has intensity of 4.0 ×  10^14 W/m². The amplitude of magnetic field associated with beam is ________T. (Take ε_0 = 8.85 × 10^-12 C²/Nm² and c = 3 × 10^8 m/s)

15 / 75

15. When a part of a straight capillary tube is placed vertically in a liquid, the liquid raises upto certain height h. If the inner radius of the capillary tube, density of the liquid and surface tension of the liquid decrease by 1% each, then the height of the liquid in the tube will change by ______ %.

16 / 75

16. Given below are two statements:

Statement I: For a mechanical system of many particles total kinetic energy is the sum of kinetic energies of all the particles.

Statement II: The total kinetic energy can be the sum of kinetic energy of the center of mass w.r.t to the origin and the kinetic energy of all the particles w.r.t. the center of mass as the reference.

In the light of the above statements, choose the correct answer from the options given below:

17 / 75

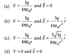
17. Five positive charges each having charge q are placed at the vertices of a pentagon as shown in the figure. The electric potential (V) and the electric field (E^→) at the center O of the pentagon due to these five positive charges are

 

 

18 / 75

18. A uniform bar of length 12 cm and mass 20 m lies on a smooth horizontal table. Two point masses m and 2m are moving in opposite directions with same speed of v and in the same plane as the bar, as shown in figure. These masses strike the bar simultaneously and get stuck to it. After collision the entire system is rotating with angular frequency ω. The ratio of υ and ω is:

19 / 75

19. Three small identical bubbles of water having same charge on each coalesce to form a bigger bubble. Then the ratio of the potentials on one initial bubble and that on the resultant bigger bubble is

20 / 75

20. Given below are two statements:

Statement I: A satellite is moving around earth in the orbit very close to the earth surface. The time period of revolution of satellite depends upon the density of earth.

Statement II: The time period of revolution of the satellite is Τ = 2π √R_e/g. (for satellite very close to the earth surface), where R_e, radius of earth and g acceleration due to gravity.

In the light of the above statements, choose the correct answer from the options given below

21 / 75

SECTION-B (NUMERICAL VALUE TYPE QUESTIONS)

21. A capacitor P with capacitance 10 × 10^-6 F is fully charged with a potential difference of 6.0 V and disconnected from the battery. The charged capacitor P is connected across another capacitor Q with capacitance 20 ×  10^-6 F. The charge on capacitor Q when equilibrium is established will be α × 10^-5 C (assume capacitor Q does not have any charge initially), the value of α is ________.

22 / 75

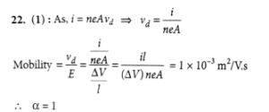
22. A cylindrical conductor of length 2 m and area of cross- section 0.2 mm² carries an electric current of 1.6 A when its ends are connected to a 2 V battery. Mobility of electrons in the conductor is α × 10^-3 m²/V.s. The value of α is ___________.

(Electron concentration = 5 × 10^28/m³ and electron charge = 1.6 × 10^-19 C)

23 / 75

23. Two masses m and 2m are connected by a light string going over a pulley (disc) of mass 30m with radius r = 0.1 m. The pulley is mounted in a vertical plane and it is free to rotate about its axis. The 2m mass is released from rest and its speed when it has descended through a height of 3.6 m is __________ m/s. (Assume string does not slip and g = 10 m/s²)

24 / 75

24. An insulated cylinder of volume 60 cm³ is filled with a gas at 27°C and 2 atmospheric pressure. Then the gas is compressed making the final volume as 20 cm³ while allowing the temperature to rise to 77°C. The final pressure is ________________ atmospheric pressure.

25 / 75

25. A conducting circular loop is rotated about its diameter at a constant angular speed of 100 rad/s in a magnetic field of 0.5 T perpendicular to the axis of rotation. When the loop is rotated by 30° from the horizontal position, the induced EMF is 15.4 mV. The radius of the loop is _______ mm.

26 / 75

CHEMISTRY

SECTION -A (Multiple Choice Questions)

1. Consider the following reaction:

The product Y formed is

27 / 75

2. Match List-I with List-II.

List-I Reaction of glucose with List-II Product formed
A. Hydroxylamine I. Gluconic acid
B. Br₂ water II. Glucose pentacetate
C. Excess acetic anhydride III. Saccharic acid
 D. Concentrated HNO3 IV. Glucoxime

Choose the correct answer from the options given below:

 

28 / 75

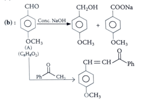
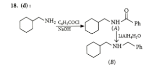
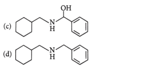
3. The compound A, C_8H_8O_₂ reacts with acetophenone to form a single product via cross-Aldol condensation. The compound A on reaction with conc. NaOH forms a substituted benzyl alcohol as one of the two products. The compound A is

29 / 75

4.  Consider the following reduction processes:

Al^3+  + 3e^- → Al_(s), E^° = -1.66V

Fe^3+ + e^- → Fe^2+, E° = +0.77 V

Co^³+ + e^- → Co^2+, E° = +1.81 V

Cr^3+ 3e^- Cr_(s), E° = -0.74 V

The tendency to act as reducing agent decreases in the order:

30 / 75

5.  Given below are two statements:

Statement I: C < O < N< F is the correct order in terms of first ionization enthalpy values. Statement II: S >Se > Te > Po > O is the correct order in terms of the magnitude of electron gain enthalpy values. In the light of the above statements, choose the correct answer from the options given below:

 

31 / 75

6. The energy of first (lowest) Balmer line of H atom is x J. The energy (in J) of second Balmer line of H-atoms is

32 / 75

7. At T(K), 100 g of 98% H₂SO₄ (w/w) aqueous solution is mixed with 100 g of 49% H₂SO₄ (w/w) aqueous solution. What is the mole fraction of H₂SO₄ in the resultant solution?

(Given: Atomic mass H = 1 u; S = 32 u; O = 16 u) (Assume that temperature after mixing remains constant.)

33 / 75

8. The IUPAC name of the following compound is

34 / 75

9.  A+2B → AB2

36.0 g of A (molar mass: 60 g mol^-1) and 56.0 g of B (molar mass: 80 g mol^-1) are allowed to react. Which of the following statements are correct?

A. A is the limiting reagent.

B. 77.0 g of AB_2 is formed

C. Molar mass of AB_2 is 140 g mol^-1

D. 15.0 g of A is left unreached after the completion of reaction.

Choose the correct answer from the options given below.

35 / 75

10. The dibromo compound [P] (molecular formula: C_9H_10Br_2) when heated with excess sodamide followed by treatment with dilute HCl gives [Q]. On warming [Q] with mercuric sulphate and dilute sulphuric acid yield [R] which gives positive Iodoform test but negative Tollens' test. The compound [P] is

36 / 75

11. Given below are two statements :

Statement I: The first ionization enthalpy of Cr is lower than that of Mn.

Statement II: The second and third ionization enthalpies of Cr are higher than those of Mn.

In the light of the above statements, choose the correct answer from the options given below :

37 / 75

12.  Which of the following mixture gives a buffer solution with pH = 9.25 ?

Given: pK_b (NH_4OH) = 4.75

38 / 75

13. Among H_2S, H_2O, NF_3, NH_3 and CHCl_3, identify the molecule (X) with lowest dipole moment value. The number of lone pairs of electrons present on the central atom of the molecule (X) is

39 / 75

14. 3,3-Dimethyl-2-butanol cannot be prepared by

 

Choose the correct answer from the options given below:

40 / 75

15. Correct statements regarding Arrhenius equations among the following are:

A. Factor e^-E_a^/RT corresponds to fraction of molecules having kinetic energy less than E_a

B. At a given temperature, lower the E_a, faster is the reaction.

C. Increase in temperature by about 10°C doubles the rate of reaction.

D. Plot of log k vs = 1/ T gives a straight line with slope = -E_a/R.

Choose the correct answer from the options given below:

41 / 75

16. [Ni(PPh₃)₂Cl₂] is a paramagnetic complex. Identify the incorrect statements about this complex.

A. The complex exhibits geometrical isomerism.

B. The complex is white in colour.

C. The calculated spin-only magnetic moment of the complex is 2.84 Β.Μ.

D. The calculated CFSE (Crystal Field Stabilization Energy) of Ni in this complex is -0.8 Δ_ο

E. The geometrical arrangement of ligands in this complex is similar to that in Ni(CO)_4.

Choose the correct answer from the options given below:

42 / 75

17. Identify the correct statements:

A. Hydrated salts can be used as primary standard.

B. Primary standard should not undergo any reaction with air.

C. Reactions of primary standard with another substance should be instantaneous and stoichiometric.

D. Primary standard should not be soluble in water.

E. Primary standard should have low relative molar mass.

Choose the correct answer from the options given below:

43 / 75

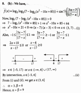
44 / 75

19. Given below are two statements:

Statement I: Elements X and Y are the most and least electronegative elements, respectively among N, As, Sb and P. The nature of the oxides X_₂O_₃ and Y_₂O_₃ is acidic and amphoteric respectively.

Statement II: BCl_3 is covalent in nature and gets hydrolyzed in water. It produces [B(OH)_4]^- and [B(H_2O)_6]^3+ in aqueous medium.

In the light of the above statements, choose the correct answer from the options given below :

45 / 75

20. When 1 g of compound (X) is subjected to Kjeldahl's method for estimation of nitrogen, 15 mL 1 M H_2SO_4 was neutralized by ammonia evolved. The percentage of nitrogen in compound (X) is

46 / 75

SECTION-B (NUMERICAL TYPE QUESTIONS)

21.

47 / 75

22. If the enthalpy of sublimation of Li is 155 kJ mol^-¹, enthalpy of dissociation of F_2 is 150 kJ mol^-¹, ionization enthalpy of Li is 520 kJ mol^-¹ electron gain enthalpy of F is -313 kJ mol^-¹, standard enthalpy of formation of LiF is -594 kJ mol^-¹. The magnitude of lattice enthalpy of LiF is ___________ kJ mol^-¹. (Nearest Integer)

48 / 75

23. Consider the following electrochemical cell : Pt | O_2(g) (1 bar) | HCl_(aq) || M²+(aq, 1.0M) | M(s)

The pH above which, oxygen gas would start to evolve at anode is  ________ (Nearest Integer)

49 / 75

24. Among the following oxides of 3d elements, the number of mixed oxides are Ti_2O_3, V_2O_4, Cr_2O_3, Mn_3O_4, Fe_3O_4, Fe_2O_3, CO_3O_4

50 / 75

25. The mass of benzanilide obtained from the benzoylation reaction of 5.8 g of aniline, if yield of product is 82% is ________ g (Nearest integer).

(Given molar mass in g mol¯¹ H: 1, C: 12, N: 14, O: 16)

 

 

51 / 75

MATHEMATICS (SECTION-A Multiple Choice Questions)

  1. The number of elements in the relation R = {(x, y): 4x² + y² < 52, x, y ∈ Z} is

52 / 75

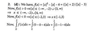
2. Let f(x) = [x]² - [x + 3] - 3, x ∈ R, where [.] is the greatest integer function. Then

53 / 75

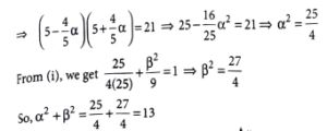
3. Let S and S' be the foci of the ellipse x²/25+y²/9 = 1 and P(α, β) be a point on the ellipse in the first quadrant. If (SP)² + (S'P)² - SP. S'P = 37, then α² + β² is equal to :

54 / 75

4. The area of the region A = {(x, y) : 4x² + y² ≤ 8 and y² ≤ 4x} is

55 / 75

5. Among the statements (S_₁): If A(5, -1) and B(-2, 3) are two vertices of a triangle, whose ortho centre is (0, 0), then its third vertex is (-4, -7) and

(S_2): If positive numbers 2a, b, c are three consecutive terms of an A.P., then the lines ax + by + c = 0 are concurrent at (2,-2),

56 / 75

6.   then a^2 + b^2+ c^2 is  equal to :

57 / 75

7. 

58 / 75

8.

59 / 75

9.

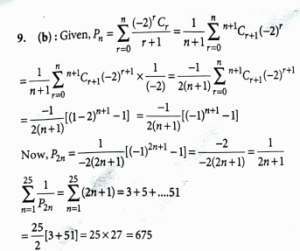
60 / 75

10.

61 / 75

11.

62 / 75

12. If the mean deviation about the median of the numbers k, 2k, 3k,...,1000k is 500, then k² is equal to

63 / 75

13. Let P(10,2√15) be a point on the hyperbola x^2/a^2-y^2/b^2 =1, whose foci are S and S'. If the length of its latus rectum is 8, then the square of the area of ΔPSS' is equal to

64 / 75

14.

65 / 75

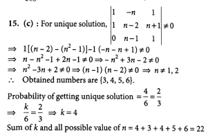
15. Let n be the number obtained on rolling a fair die. If the probability that the system x -ny + z = 6; x + (n-2)y + (n + 1)z = 8; (n - 1)y + z = 1 has a unique solution is k/6. then the sum of k and all possible values of n is

66 / 75

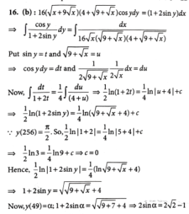
16. If y = y(x) satisfies the differential equation 16(√x+9√x)(4+√9+√x) cos ydy = (1+2sin y)dx,  x > 0 and y(256) = π/2, y(49) = α, then 2 sin α is equal to

67 / 75

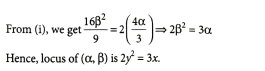
17. Let the locus of the mid-point of the chord through the origin O of the parabola y² = 4x be the curve S. Let P be any point on S. Then the locus of the point, which internally divides OP in the ratio 3: 1, is

68 / 75

18. a^→ = 2i^-j^+k^ and b^→ = λj^+2k^, λ ∈ Z be two vectors. Let c^→ =a^→ ×  b ^→ and d^→ be a vector of magnitude 2 in yz-plane. If |c^→|=√53, then the maximum possible value of (c^→.d^→)² is equal to

69 / 75

19. Let α, β be the roots of the quadratic equation 12x² - 20x + 3λ = 0, λ ∈ Ζ. If  1/2≤|β-α|≤ 3/2, then the sum of all possible values of λ is

70 / 75

20. Let L be the line x+1/2 = y + 1/3 = z+3/6 and let S be the set of all points (a, b, c) on L, whose distance from the line x+1/2  = y +1 /3 = z-9/0 along the line L is 7. Then Σ↓(a, b, c) ∈s  (a, b, c) is equal to

71 / 75

SECTION -B (NUMERICAL VALUR TYPE QUESTIONS)

21.

72 / 75

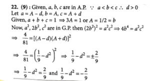
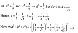
22. Suppose a, b, c are in A. P. and a², 2b^2, c² are in G.P. If a < b < c and a + b + c = 1, then 9(a² + b² + c²) is equal to _________.

73 / 75

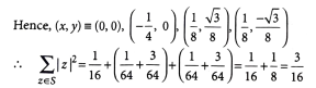
23. Let S be the set of the first 11 natural numbers. Then the number of elements in A = {B⊆S: n(B) ≥2 and the product of all elements of B is even} is ______.

74 / 75

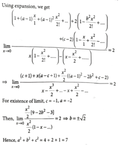
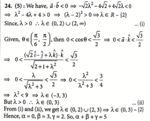
24.  Let a vector a^→ = √2i^-j^+λk^, λ>0, make an obtuse angle with the vector b^→ = -λ² i^+4√2j^+4√2k^ and an angle θ, π/6 < θ < π/2, with the positive z-axis. If the set of all possible values of λ is (α, β) – {γ}, then α + β + γ is equal to _______.

75 / 75

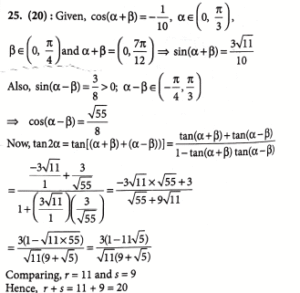
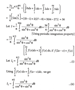
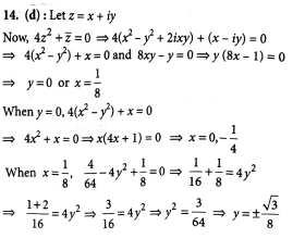
25.  Let cos (α+β) = - 1/10 and sin (α-β) = 3/8, where 0 < α < π/3 and 0 < β < π/4. If tan 2 α = 3(1-r√5)/√11 (s+√5), r, s ∈ N, then r + s is equal to _______.

Your score is

The average score is 23%