/75
0 votes, 0 avg
1

Your time starts now!!!

Time out!!!


IIT JEE MAIN 2026

LTL JEE MAIN FT -18

Greetings from LEARN TO LEAD ACADEMY!!!

The number of attempts remaining is 2

Greetings from LEARN TO LEAD ACADEMY!!! All the best!!!

1 / 75

Physics Section A- Multiple Choice Questions

1. Three identical coils C_1, C_2 and C_3 are closely placed such that they share a common axis. C_₂ is exactly midway. C_1 carries current I in anti-clockwise direction while C_3 carries current I in clockwise direction. An induced current flows through C_₂ will be in clockwise direction when

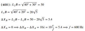
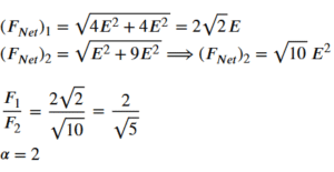
2 / 75

2. Rods x and y of equal dimensions but of different materials are joined as shown in figure. Temperatures of end points A and F are maintained at 100°C and 40°C respectively. Given the thermal conductivity of rod x is three times of that of rod y. The temperature at junction points B and E are (close to):

3 / 75

3. A meter bridge with two resistances R_₁ and R_2 as shown in figure was balanced (null point) at 40 cm from the point P. The null point changed to 50 cm from the point P, when 16 Ω resistance is connected in parallel to R_2. The values of resistances R_₁ and R_₂ are ________.

4 / 75

4. Given below are two statements:

Statement I: Pressure of a fluid is exerted only on a solid surface in contact as the fluid-pressure does not exist everywhere in a still fluid.

Statement II: Excess potential Energy of the molecules on the surface of a liquid, when compared to interior, results in surface tension.

In the light of the above statements, choose the correct answer from the options given below.

5 / 75

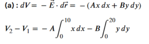
5. Electric field in a region is given by E^→ = Ax i^ + By j^, where A = 10 V/m² and B = 5 V/m². If the electric potential at a point (10, 20) is 500 V, then the electric potential at origin is ___________V.

6 / 75

6. A simple pendulum has a bob with mass m and charge q. The pendulum string has negligible mass. When a uniform and horizontal electric field E^→ is applied, the tension in the string changes. The final tension in the string, when pendulum attains an equilibrium position is  ______________. (g: acceleration due to gravity)

7 / 75

7. The escape velocity from a spherical planet A is 10 km/s, The escape velocity from another planet B whose density and radius are 10% of those of planet A, is __________ m/s.

8 / 75

8. XPQY is a vertical smooth long loop having a total resistance R where PX is parallel to QY and separation between them is l. A constant magnetic field B perpendicular to the plane of the loop exists in the entire space. A rod CD of length L (L > Ɩ) and mass m is made to slide down from rest under the gravity as shown in figure. The terminal speed acquired by the rod is _______ m/s. (g = acceleration due to gravity)

9 / 75

9. Match the List -I with list -II

List-I  List-II
 A. Spring constant I. ML^2T^-2K^-1
B. Thermal conductivity II. ML^OT^-2
C. Boltzmann constant III. ML^2T^-3A^-2
D. Inductive reactance IV. MLT^3K^-1

Choose the correct answer from the options given below.

10 / 75

10. The minimum frequency of photon required to break a particle of mass 15.348 amu into 4α particles is______ kHz. [Mass of He nucleus = 4.002 amu, 1amu = 1.66 × 10^-27 kg, h = 6.6 × 10^-34 J.s and c = 3 × 10^8m/s]

11 / 75

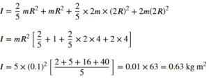
11. A solid sphere of mass 5 kg and radius 10 cm is kept in contact with another solid sphere of mass 10 kg and radius 20 cm. The moment of inertia of this pair of spheres about the tangent passing through the point of contact is __________kg.m^²

12 / 75

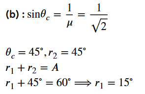
12. Consider an equilateral prism (refractive index √2). A ray of light is incident on its one surface at a certain angle i. If the emergent ray is found to graze along the other surface then the angle of refraction at the incident surface is close to _______________.

13 / 75

13. Net gravitational force at the center of a square is found to be F_₁ when four particles having mass M, 2M, 3M and 4M are placed at the four corners of the square as shown in figure and it is F_₂ when the positions of 3M and 4M are interchanged. F_1/F_2 is α /√5. ratio value of α is _____________.

14 / 75

14. Six point charges are kept 60° apart from each other on the circumference of a circle of radius R as shown in figure. The net electric field at the center of the circle is __________ (ε_0 is permittivity of free space).

15 / 75

15. A thin convex lens of focal length 5 cm and a thin concave lens of focal length 4 cm are combined together (without any gap) and this combination has magnification m₁ when an object is placed 10 cm before the convex lens. Keeping the positions of convex lens and object undisturbed a gap of 1 cm is introduced between the lenses by moving the concave lens away, which lead to a change in magnification of total lens m system to m₂. The value of |m_1/m_2| is __________.

16 / 75

16. 7.9 MeV α -particle scatters from a target material of atomic number 79. From the given data the estimated diameter of nuclei of the target material is (approximately)___________ m.

[1/4πε_0 = 9 × 10^9 Nm²/C² and electron charge = 1.6 × 10^-19 C]

17 / 75

17. A cylindrical tube AB of length Ɩ, closed at both ends contains an ideal gas of 1 mol having molecular weight M. The tube is rotated in a horizontal plane with constant angular velocity ω about an axis perpendicular to AB and passing through the edge at end A, as shown in the figure. If P_A and P_B are the pressures at A and B respectively, then (Consider the temperature is same at all points in the tube)

18 / 75

18. Find the correct combination of A, B, C and D inputs which can cause the LED to glow.

19 / 75

19. A projectile is thrown upward at an angle 60° with the horizontal. The speed of the projectile is 20 m/s when its direction of motion is 45° with the horizontal. The initial speed of the projectile is ______ m/s.

20 / 75

20. The volume of an ideal gas increases 8 times and temperature becomes (1/4)^th of initial temperature during a reversible change. If there is no exchange of  heat in this process (ΔQ = 0) then identify the gas from the following options. (Assuming the gases given in the options are ideal gases).

21 / 75

SECTION-B (NUMERICAL VALUE TYPE QUESTIONS)

21. Two loudspeakers (L_₁ and L_₂) are placed with a separation of 10 m, as shown in figure. Both speakers are fed with an audio input signal of same frequency with constant volume. A voice recorder, initially at point A, at equidistance to both loud speakers, is moved by 25 m along the line AB while monitoring the audio signal. The measured signal was found to undergo 10 cycles of minima and maxima during the movement. The frequency of the input signal is__________  Hz. (Speed of sound in air is 324 m/s and √5 = 2.23

22 / 75

22. A parallel beam of light travelling in air (refractive index 1.0) is incident on a convex spherical glass surface of radius of curvature 50 cm. Refractive index of glass is 1.5. The rays converge to a point at a distance x cm from the centre of the curvature of the spherical surface. The value of x is _________ cm.

23 / 75

23. A circular disc has radius R_₁ and thickness T_₁. Another circular disc made of the same material has radius R_2 and thickness T_₂. If the moment of inertia of both discs are same and R_1/R_2 = 2 thenT_1/T_2 = 1/α. The value of α is _________.

24 / 75

24. Inductance of a coil with 10^4 turns is 10 mH and it is connected to a dc source of 10 V with internal resistance of 10 Ω. The energy density in the inductor when the current reaches (1)/e of its maximum value is απ × 1/e^2 -J/m³. The value of α is ________.  (μ_ο = 4π × 10^-7 Tm/A)

25 / 75

25. The electric field of a plane electromagnetic wave, travelling in an unknown non-magnetic medium is given by, E_y = 20 sin(3 × 10^6x - 4.5 ×  10^14 t) V/m (where x, t and other values have S.I. units). The dielectric constant of the medium is__________. (Speed of light in free space is 3 × 10^8 m/s)

26 / 75

CHEMISTRY

SECTION - A (MULTIPLE CHOICE QUESTION)

1.Consider the transition metal ions Mn^³+, Cr^³+, Fe^3+ and Co^³+ and all form low spin octahedral complexes. The correct decreasing order of unpaired electrons in their respective d-orbitals of the complexes is

27 / 75

2. Given below are two statements:

Statement I: Benzene is nitrated to give nitrobenzene, which on further treatment with CH_3COCI/AlCl_3 will

give

 

Statement II: - NO_2 group is a m-directing and deactivating group.

In the light of the above statements, choose the most appropriate answer from the options given below.

28 / 75

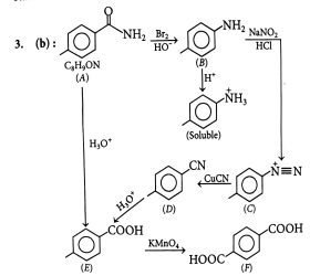
3. 'A' is a neutral organic compound (M.F: C_8H_9ON). On treatment with aqueous Br_₂/HO^(-), 'A' forms a compound 'B' which is soluble in dilute acid. 'B' on treatment with aqueous NaNO_2/HCl (0-5 °C) produces a compound 'C' which on treatment with CuCN/NaCN produces 'D'. Hydrolysis of 'D' produces 'E' which is also obtainable from the hydrolysis of 'A'. 'E' on treatment with acidified KMnO_4 produces 'F. 'F contains two different types of hydrogen atoms. The structure of 'A' is

29 / 75

4. In the reaction, 2Al_(s) + 6HCl_(aq) → 2Al^³+_(aq) + 6Cl^- _(aq) + 3H_2(g)

 

30 / 75

5. As compared with chlorocyclohexane, which of the following statements correctly apply to chlorobenzene?

A. The magnitude of negative charge is more on chlorine atom.

B. The C-Cl bond has partial double bond character.

C. C-Cl bond is less polar.

D. CCl bond is longer due to repulsion between delocalised electrons of the aromatic ring and lone pairs of electrons of chlorine.

E. The CCl bond is formed using sp^² hybridised orbital of carbon.

Choose the correct answer from the options given below:

31 / 75

6.  A first row transition metal (M) does not liberate H_₂ gas from dilute HCl. 1 mole of aqueous solution of MSO_4 is treated with excess of aqueous KCN and then H_2S_(g) is passed through the solution. The amount of MS (metal sulphide) formed from the above reaction is _______mol.

32 / 75

7. Two p-block elements X and Y form fluorides of the type EF_3. The fluoride compound XF_3 is a Lewis acid and YF_3 is a Lewis base. The hybridizations of the central atoms of XF_3 and YF_3 respectively are

33 / 75

8. Given below are two statements:

Statement I: Phenol on treatment with CHCl_3/aq. KOH under refluxing condition, followed by acidification produces p-hydroxy benzaldehyde as the major product and o-hydroxy benzaldehyde as the minor product. Statement II: The mixture of p-hydroxybenzaldehyde and o-hydroxybenzaldehyde can be easily separated through steam distillation.

In the light of the above statements, choose the correct answer from the options given below.

34 / 75

9. The formal charges on the atoms marked as (1) to (4) in the Lewis representation of HNO_3 molecule respectively are

35 / 75

10. Match the List -I with List-II.

List-I Reagents List-II Name of reaction involving carbonyl compounds
A. NH_2-NH_2, KOH I. Tollens’ test
 B. Ag(NH3_)_2OH II. Clemmensen reduction
C. Aq. CuSO_4, sodium potassium tartarate, KOH III. Wolff-Kishner reduction
D. Zn – Hg, HCl  IV. Fehling’s test

Choose the correct answer from the options given below:

36 / 75

11. The energy required by electrons, present in the first Bohr orbit of hydrogen atom to be excited to second Bohr orbit is __________ J mol^-¹. (Given: R_H = 2.18 × 10^-11 ergs)

37 / 75

12. The correct order of the rate of reaction of the following reactants with nucleophile by S_N1 mechanism is: (Given: Structures I and II are rigid)

38 / 75

13. A 'p'-block element (E) and hydrogen forma binary cation (EH_x)^+, while EH_3 on treatment with K_₂HgI_4 in alkaline medium gives a precipitate of basic mercury (II) amido-iodine. Given below are first ionization enthalpy values (kJ mol^-¹) for first element each from group 13, 14, 15 and 16. Identify the correct first ionization enthalpy value for element E.

39 / 75

14.  Given below are two statements:

Statement I: Sucrose is dextrorotatory. However, sucrose upon hydrolysis gives a solution having mixture of products. This solution shows laevorotation.

Statement II: Hydrolysis of sucrose gives glucose and fructose. Since the laevorotation of glucose is more than the dextrorotation of fructose, the resulting solution becomes laevorotatory.

In the light of the above statements, choose the correct answer from the options given below.

40 / 75

15. The correct order of reactivity of CH_3Br in methanol with the following nucleophiles is F^-1, I^-, C_₂H_5O^- and C_6H_5O^-

41 / 75

16. Given below are two statements:

Statement I: The halogen that makes longest bond with hydrogen in HX, has the smallest covalent radius in its group.

Statement II: A group 15 element's hydride EH_3 has the lowest boiling point among corresponding hydrides of other group 15 elements. The maximum covalency of that element E is 4.

In the light of the above statements, choose the correct answer from the options given below.

42 / 75

17. Given below are two statements:

Statement I: The Henry's law constant K_H is constant with respect to variations in solution's concentration over the range for which the solution is ideally dilute.

Statement II: K_H does not differ for the same solute in different solvents.

In the light of the above statements, choose the correct answer from the options given below.

43 / 75

18. A → product (First order reaction) Three sets of experiment were performed for a reaction under similar experimental conditions:

Run 1 ⇒ 100 mL of 10 M solution of reactant A

Run 2 ⇒ 200 mL of 10 M solution of reactant A

Run 3 ⇒ 100 mL of 10 M solution of reactant A + 100 mL of H_₂O added.

The correct variation of rate of reaction is

44 / 75

19.  Consider a solution of CO_2(g) dissolved in water in a closed container. Which one of the following plots correctly represents variation of log (partial pressure of CO_2 in vapour phase above water) [y-axis] with log (mole fraction of CO_₂ in water) [x-axis] at 25°C?

45 / 75

20. Match List -I and List -II

List-I Thermodynamic Process List-II Magnitude in kJ
A. Work done in reversible, isothermal expansion of 2 mol of ideal gas from 2 dm^3 to 20 dm^3 at 300 Κ. I. 4
B. Work done in irreversible isothermal expansion of 1 mol ideal gas from 1 m^3 to 3 m^3 at 300 K against a constant pressure of 3 kPa II.11.5
 C. Change in internal energy for adiabatic expansion of a 1 mol ideal gas with change of temperature = 320 K and 3 C^− _V= 3/2R III. 6
D. Change in enthalpy at constant pressure of 1 mol ideal gas with change of temperature = 337 K and C^−_P = 5/2R IV. 7

Choose the correct answer from the options given  below:

46 / 75

SECTION-B (NUMERICAL VALUE TYPE QUESTIONS)

21. Sodium fusion extract of an organic compound (Y) with CHCl_3 and chlorine water gives violet color to the CHCl_3 layer. 0.15 g of (Y) gave 0.12 g of the silver halide precipitate in Carius method. Percentage of halogen in the compound (Y) is ___________ (Nearest integer) (Given: molar mass g mol^-1 C: 12, H: 1, Cl: 35.5, Br: 80, 1: 127)

47 / 75

22. The cycloalkene (X) on bromination consumes one mole of bromine per mole of (X) and gives the product (Y) in which C: Br ratio is 3: 1. The percentage of bromine in the product (Y) is % _______ (Nearest integer)

(Given: molar mass in g mol^-¹ H: 1, C: 12, O: 16, Br: 80)

48 / 75

23. The temperature at which the rate constants of the given below two gaseous reactions become equal is______K. (Nearest integer)

X → Y   k_1 = 10^6 e -30000/T

P → Q   k_2 = 10^4 e -24000/T

Given: ln 10 = 2.303

49 / 75

24.  Dissociation of a gas A_2 takes place according to the following chemical reaction. At equilibrium, the total pressure is 1 bar at 300 K.

A_2(g) ⇌ 2A_(g)

The standard Gibbs energy of formation of the involved substances has been provided below:

Substance ∆G^°_f/  kJ mol^-1
A_2

A

-100.00

-50.832

The degree of dissociation of A_2(g) is given by (x ×  10^-2)^1/2 where x = _______. (Nearest integer)

[Given: R = 8J mol^-¹ K^-¹, log2 = 0.3010, log 3 = 0.48] Assume degree of dissociation is not negligible.

50 / 75

25. Consider the following electrochemical cell at 298 K Pt|HSnO^-_2 _(aq) | Sn(OH)^2- _62 _(aq) | OH^- _(aq) | Bi_₂O_3(s) | Bi_(s)

If the reaction quotient at a given time is 10^6, then the cell EMF (E_cell) is_________  × 10^-1 V (Nearest integer). Given the standard half-cell reduction potential as

51 / 75

MATHEMATICS

SECTION-A

(MULTIPLE CHOICE QUESTIONS)

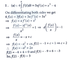
1. Let f : [1, ∞) →R be a f=differentiable function, If

52 / 75

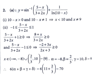
2. If the domain of the function f(x)  = sin^-1(5-x/3+2x)+1/ log_e (10-x) is (-∞,α] ∪ [β,γ)- {δ}, then 6 (α+β+γ+δ) is equal to

53 / 75

3. Two distinct numbers a and b are selected at random from 1, 2, 3, ..., 50. The probability, that their product ab is divisible by 3, is

54 / 75

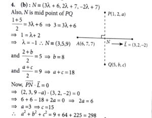
4. If the image of the point P(1, 2, a) in the line x - 6/3 =y - 7 /2  = 7- z/2 is Q(5, b, c), then a² + b² + c² is equal to

55 / 75

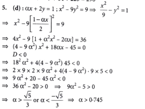
5. If the line α x + 2y = 1, where α ∈ R, does not meet the hyperbola x² - 9y² = 9, then a possible value of α is:

56 / 75

6. Let P(α, β, γ) be the point on the line x-1/2 =y+1/-3 = z at a distance 4√14 from the point (1, -1, 0) and nearer to the origin. Then the shortest distance, between the lines x- α /1 = y - β/2 = z- γ / 3 and x+5/2 = y-10/1=z-3/1, is equal to

57 / 75

7. Let f(x) = x^2025 - x^2000, x ∈ [0, 1] and the minimum value of the function f(x) in the interval [0, 1] be (80)^80 (n)^-81. Then n is equal to

58 / 75

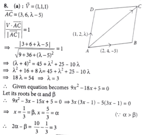
8.Let AB^→=2i^+4j^-5k^ and AD^→ = î+2j^+λk^, λεR. Let the projection of the vector v^→ = i^ +j^+k^ on the diagonal AC^→ of the parallelogram ABCD be of length one unit. If α , β, where α > β, be the roots of the equation λ²x^2 - 6λx + 5 = 0, then 2α – β is equal to

59 / 75

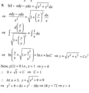
9. Let the solution curve of the differential equation xdy-ydx =√x² + y²dx, x > 0, y(1) = 0, be y = y(x). Then y(3) is equal to

60 / 75

10. The number of solutions of tan^-1 4x+tan^-1 6x = π/6,  where -1/ 2√6  < x <1/ 2√6, is equal to

61 / 75

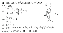
11. If the chord joining the points P_₁(x_1, y_1) and P_2(x_2, y_2) on the parabola y² = 12x subtends a right angle at the vertex of the parabola, then x_1x_2 - y_1y_2 is equal to

62 / 75

12. The coefficient of x^48 in (1+x) + 2(1+x)² + 3(1+x)³ + ... +100(1+x)^100 is equal to

63 / 75

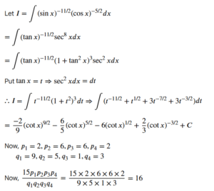
13.

64 / 75

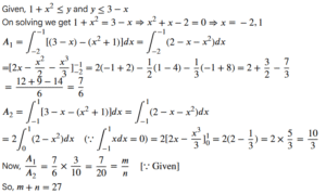
14. Let the line x = -1 divide the area of the region {(x, y): 1 + x^2 ≤ y ≤3 - x} in the ratio m : n, gcd (m, n) = 1. Then m + n is equal to

65 / 75

15. The number of distinct real solutions of the equation x|x + 4| + 3|x + 2| + 10 = 0 is

66 / 75

16. Let the relation R on the set M = {1, 2, 3, ..., 16} be given by R = {(x, y) : 4y = 5x – 3, x, y ∈ М}.Then the minimum number of elements required to be added in R, in order to make the relation symmetric, is equal to

67 / 75

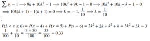
17. If a random variable x has the probability distribution

x 0 1 2 3 4 5 6 7
P(x) 0 2k k 3k 2k² 2k k²+ k 7k²

then P(3 < x ≤6) is equal to

68 / 75

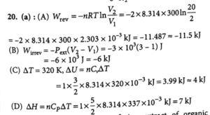
18. Let the set of all values of r, for which the circle (x + 1)² + (y + 4)² = r² and x² + y² - 4x - 2y - 4 = intersect at two distinct points be the interval (α, β). Then αβ is equal to

69 / 75

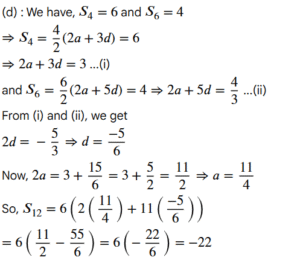
19. If the sum of the first four terms of an A. P. is 6 and the sum of its first six terms is 4, then the sum of its firs twelve terms is

70 / 75

20.

71 / 75

21.

72 / 75

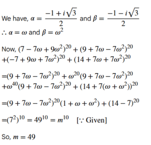
22. Let α = -1 + i√3/2 and β = -1 -i√3/2, i = √-1. If (7-7α+9β)^20 + (9+ 7α-7β)^20+(-7+9α+7β)^20 + (14+ 7α+7β)^20 = m^10, then m is ________.

73 / 75

23.

74 / 75

24. If cos^2 48°- sin^2 12° / sin^2 24° - sin^2 6° = α + β √5 /2 , where α, β ∈ N, then α + β is equal to _____

75 / 75

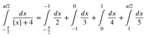
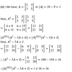
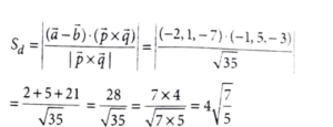
25. Let ABC be a triangle. Consider four points P_1 P_2,P_3 ,P_4 on the side AB, five points P_5, P_6, P_7, P_8, P_9 on the side BC, and four points P_1o, P_11, P_12, P_13 on the side AC. None of these points is a vertex of the triangle ABC. Then the total number of pentagons, that can be formed by taking all the vertices from the points P_1, P_2 ...P_13, is______.

Your score is

The average score is 18%