0 votes, 0 avg
3

Your time starts now!!!

Time out!!!


IIT JEE MAIN 2026

LTL JEE MAIN FT-17

Greetings from LEARN TO LEAD ACADEMY!!!

The number of attempts remaining is 2

Greetings from LEARN TO LEAD ACADEMY!!! All  the best!!!

1 / 75

Physics

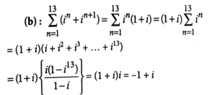
Section -A (Multiple Choice Questions)

1. As shown in the diagram, when the incident ray is parallel to base of the prism, the emergent ray grazes along the second surface. If refractive index of the material of prism is √2, the angle θ of prism is

2 / 75

2. The kinetic energy of a simple harmonic oscillator is oscillating with angular frequency of 176 rad/s. The frequency of this simple harmonic oscillator is _______ Hz.

[Take π = 22/7 ]

3 / 75

3. Given below are two statements:

Statement I: In a Young's double slit experiment, the angular separation of fringes will increase as the screen is moved away from the plane of the slits

Statement II: In a Young's double slit experiment, the angular separation of fringes will increase when monochromatic source is replaced by another monochromatic source of higher wavelength

In the light of the above statements, choose the correct answer from the options given below:

4 / 75

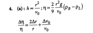
4. A spherical body of radius r and density σ falls freely through a viscous liquid having density ρ and viscosity Ƞ and attains a terminal velocity v_o. Estimated maximum error in the quantity Ƞ is (Ignore errors associated with σ, ρ and g, gravitational acceleration)

5 / 75

5. A river of width 200 m is flowing from West to East with a speed of 18 km/h. A boat, moving with speed of 36 km/h in still water, is made to travel one-round trip (bank to bank of the river). Minimum time taken by the boat for this journey and also the displacement along the river bank are ____________ and __________ respectively.

6 / 75

6.The charge stored by the capacitor C in the given circuit in the steady state is _________ μC.

7 / 75

7. The energy of an electron in an orbit of the Bohr's atom is -0.04 E_0 eV, where E_0 is the ground state energy. If L is the angular momentum of the electron in this orbit and h is the Planck's constant, then 2πL/h is _______.

8 / 75

8. A capacitor C is first charged fully with potential difference of V_o and disconnected from the battery. The charged capacitor is connected across an inductor having inductance L. In t s 25% of the initial energy in the capacitor is transferred to the inductor. The value of t is ________ S.

9 / 75

9. Keeping the significant figurers in view, the sum of the physical quantities 52.01 m, 153.2 m and 0.123 m is

10 / 75

10. The pulley shown in figure is made using a thin rim and two rods of length equal to diameter of the rim. The rim and each rod have a mass of M. Two blocks of mass of M and m are attached to two ends of a light string passing over the pulley, which is hinged to rotate freely in vertical plane about its center. The magnitudes of the acceleration experienced by the blocks is ____________ (Assume no slipping of string on pulley).

11 / 75

11. Two cars A and B each of mass 10^3 kg are moving on parallel tracks separated by a distance of 10 m, in same direction with speed 72 km/h and 36 km/h. The magnitude of angular momentum of car A with respect to car B is __________ J.s

12 / 75

12. A large drum having radius R is spinning around its axis with angular velocity ω, as shown in figure. The minimum value of w so that a body of mass M remains stuck to the inner wall of the drum, taking the coefficient of friction between the drum surface and mass M as µ, is

13 / 75

13. Consider two identical metallic spheres of radius R each having charge Q and mass m. Their centers have an initial separation of 4R. Both the spheres are given an initial speed of u towards each other. The minimum value of u, so that they can just touch each other is (Take k = 1/4πε_0 and assume kQ² > Gm² where G is the Gravitational constant)

14 / 75

14. A battery with EMF E and internal resistance r is connected across a resistance R. The power consumption in R will be maximum when

15 / 75

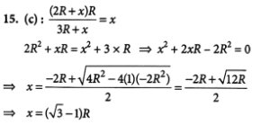
15. Two known resistance of R Ω and 2R Ω and one unknown resistance X Ω are connected in a circuit as shown in the figure. If the equivalent resistance between points A and B in the circuit is XΩ, then the value of X is ___ Ω.

16 / 75

16. Surface tension of two liquids (having same densities), T₁ and T₂, are measured using capillary rise method utilizing two tubes with inner radii of r_₁ and r_₂ where r_₁> r_₂. The measured liquid heights in these tubes are h_₁ and h_₂ respectively. [Ignore the weight of the liquid about the lowest point of miniscus). The heights h_1 and h_2 and surfaces tensions T_₁ and T_₂ satisfy the relation

17 / 75

17. The total length of potentiometer wire AB is 50 cm in the arrangement as shown in figure. If P is the point where the galvanometer shows zero reading then the length AP is _____ cm.

18 / 75

18. An infinitely long straight wire carrying current I is bent in a planer shape as shown in the diagram. The radius of the circular part is r. The magnetic field at the centre O of the circular loop is

19 / 75

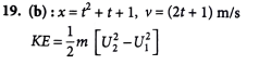
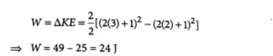
19. A body of mass 2 kg is moving along x-direction such that its displacement as function of time is given by x(t) = α t² + βt + γm, where α = 1 m/s², β = 1 m/s and γ = 1 m. The work done on the body during the time interval t = 2 s to t = 3 s, is _______ J.

20 / 75

20. The r.m.s. speed of oxygen molecules at 47°C is equal to that of the hydrogen molecules kept at ________°C. (Mass of oxygen molecule/mass of hydrogen molecule = 32/2)

21 / 75

SECTION-B (NUMERICAL VALUE TYPE QUESTIONS

21. A diatomic gas (γ = 1.4) does 100 J of work when it is expanded isobarically. Then the heat given to the gas _______ J.

22 / 75

22.  In a Young's double slit experiment set up, the two slits are kept 0.4. mm apart and screen is placed at 1 m from slits. If a thin transparent sheet of thickness 20 µm is introduced in front of one of the slits then center bright fringe shifts by 20 mm on the screen. The refractive index of transparent sheet is given by  α /10 , where α is _____.

23 / 75

23. The terminal velocity of a metallic ball of radius 6 mm in a viscous fluid is 20 cm/s. The terminal velocity of another ball of same material and having radius 3 mm in the same fluid will be _____cm/s.

24 / 75

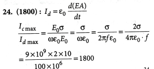
24. An electromagnetic wave of frequency 100 MHz propagates through a medium of conductivity, σ = 10 mho/m. The ratio of maximum conduction current density to maximum displacement current density is _______

[Take = 1/4πε_0 = 9 × 10^9 Nm^2/C^2 ]

25 / 75

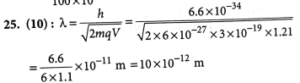
25. A particle having electric charge 3 × 10^19 C and mass 6 × 10^-27 kg is accelerated by applying an electric potential of 1.21 V. Wavelength of the matter wave associated with the particle is α × 10^-12 m. The value of α is _______. (Take Planck's constant = 6.6 × 10^-34 J.s)

26 / 75

Chemistry  Section- A (Multiple Choice Questions)

1.Match list -I with list -II

List-I Reagents List-II Reaction name (Involving aldehydes)
A. H₂, Pd-BaSO4 I. Etard reaction
B. SnCl2, HCI II. Rosenmund reduction
C. CrO2Cl2, CS2 III. Gattermann-Koch reaction
D. CO, HCl, Anhyd. AlCl3 IV. Stephen reaction

Choose the correct answer from the options given below:

27 / 75

2. On heating a mixture of common salt and K_2Cr_2O_7 in equal amount along with concentrated H₂SO₄ in a test tube, a gas is evolved. Formula of the gas evolved and oxidation state of the central metal atom in the gas respectively are

28 / 75

3. The correct increasing order of C - Н(А), С — О(В), C=O(C) and C= N(D) bonds in terms of covalent bond length is

29 / 75

4. Given below are two statements:

Statement I: The correct order in terms of atomic/ ionic radii is Al > Mg > Mg^2+ > Al^3+.

Statement II: The correct order in terms of the magnitude of electron gain enthalpy is Cl > Br > S > O.

In the light of the above statements, choose the correct answer from the options given below:

30 / 75

5.  Decomposition of A is a first order reaction at T (K) and is given by A_(g) → B_(g) + C_(g). In a closed 1 L vessel, at 1 bar A_(g) is allowed to decompose at T (K). After 100 minutes, the total pressure was 1.5 bar. What is the rate constant (in min^-1) of the reaction? (log 2 = 0.3)

31 / 75

6. Given below are some of the statements about Mn and Mn_2O_7. Identify the correct statements.

A. Mn forms the oxide Mn_2O_7, in which Mn is in its highest oxidation state.

B. Oxygen stabilizes the Mn in higher oxidation states by forming multiple bonds with Mn.

C. Mn_2O_7 is an ionic oxide.

D. The structure of Mn_₂O_7 consists of one bridged oxygen.

Choose the correct answer from the options given below:

32 / 75

7. Consider the following spectral lines for atomic hydrogen:

A. First line of Paschen series

B. Second line of Balmer series

C. Third line of Paschen series

D. Fourth line of Brackett series

The correct arrangement of the above lines in ascending order of energy is:

33 / 75

8. The correct statements are:

A. Activation energy for enzyme catalysed hydrolysis of sucrose is lower than that of acid catalysed hydrolysis.

B. During denaturation, secondary and tertiary structures of a protein are destroyed but primary structure remains intact.

C. Nucleotides are joined together by glycosidic linkage between C_₁ and C_4 carbons of the pentose sugar.

D. Quaternary structure of proteins represents overall folding of the polypeptide chain.

Choose the correct answer from the options given below:

34 / 75

9. Match  list -I  with list -II.

List-I Pair of Compounds List-II Type of Isomers
A. and but-1-ene 2-Methylpropene I. Stereoisomers
B. Cis-but-2-ene and trans-but-2-ene II. Position isomers
C. 2-Butanol and diethyl ether III. Chain isomers
D. But-1-ene and but-2-ene IV. Functional group isomers

Choose the correct answer from the options given below:

35 / 75

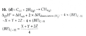
10. Consider the following data:

Δ_f H° (methane, g) = -X kJ mol^-¹

Enthalpy of sublimation of graphite = Y kJ mol^-¹

Dissociation enthalpy of H₂ = Z kJ mol^-¹.

The bond enthalpy of C—H bond is given by

36 / 75

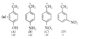
11. The correct order of reactivity of the following benzyl halides towards reaction with KCN is

37 / 75

12. Given below are four compounds:

(A) n-propyl choride

(B) iso-propyl chloride

(C) sec-butyl chloride

(D) neo-pentyl chloride Percentage of carbon in the one which exhibits optical isomerism is

38 / 75

13. For a closed circuit Daniell cell, which of the following plots is the accurate one at a given temperature?

39 / 75

14. Given below are two statements:

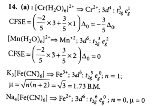
Statement I: Crystal Field Stabilization Energy (CFSE) of [Cr(H_2O)_6]^2+ is greater than that of [Mn(H_2O)_6]^2+.

Statement II: Potassium ferricyanide has a greater spin-only magnetic moment than sodium ferrocyanide. In the light of the above statements, choose the correct answer from the options given below:

40 / 75

15. The correct order of the rate of the reaction for the following reaction with respect to nucleophiles is

41 / 75

16. Given below are two statements:

Statement I: The correct order in terms of bond dissociation enthalpy is Cl_2 > Br_₂ > F_2 > I_2.

Statement II: The correct trend in the covalent character of the metal halides is [SnCl_4 > SnCl_2], [PbCl_4 > PbCl_2] and [UF_4 > UF_6].

In the light of the above statements, choose the correct answer from the options given below:

42 / 75

17. Aqueous HCl reacts with MnO_2(s) to form MnCl_2(aq) Cl_2(g) and H_2O_(l). What is the weight (in g) of Cl_₂ liberated when 8.7 of MnO_2(s) is reacted with excess aqueous HCl solution?

(Given: Molar mass in g mol^-¹: Mn = 55, Cl = 35.5, O = 16, H = 1)

43 / 75

18. Given below are two statements:

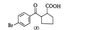
Statement I: Compound (X), shown below, dissolves in NaHCO_3 solution and has two chiral carbon atoms.

Statement II: Compound (Y), shown below, has two carbons with sp³ hybridization, one carbon with sp² and one carbon with sp hybridization

In the light of the above statements, choose the correct answer from the options given below:

44 / 75

19.

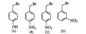
Consider the above sequence of reactions. The number of bromine atom(s) in the final product (P) will be

45 / 75

20. By usual analysis, 1.00 g of compound (X) gave 1.79 g of magnesium pyrophosphate. The percentage of phosphorus in compound (X) is (Nearest integer) (Given, molar mass in g mol^-¹: O=16, Mg = 24, P = 31)

46 / 75

SECTION-B (NUMERICAL VALUE TYPE QUESTIONS

21. Identify the metal ions among Co^2+, Ni^2+, Fe^2+, V^³+ and Ti^²+ having a spin-only magnetic moment value more than 3.0 B.M. The sum of unpaired electrons present in the high spin octahedral complexes formed by those metal ions is ___________.

47 / 75

22. MX is a sparingly soluble salt that follows the given solubility equilibrium at 298 K.

MX_(s) ⇌ M^+_(aq) + X^-_(aq); K_sp = 10^-10

If the standard reduction potential for

then the value of the standard reduction potential for the metal/metal insoluble salt electrode E°_x^-/MX_(s)/M is  _________ mV (nearest integer)

[Given: 2.303RT/F = 0.059V]

48 / 75

23. A substance 'X' (1.5 g) dissolved in 150 g of a solvent 'Y' (molar mass = 300 g mol^-¹) led to an elevation of the boiling point by 0.5 K. The relative lowering in the vapour pressure of the solvent Y is _____ × 10^-2.(Nearest integer)

[Given: K_b of the solvent = 5.0 K kg mol^-¹]

Assume the solution to be dilute and no association or dissociation of X takes place in solution.

49 / 75

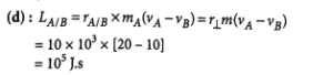
24. The first and second ionization constants of H_₂X are 2.5 × 10^-8 and 1.0 × 10^-13 respectively. The concentration of X^2- in 0.1 M H_2X solution is ______ × 10^-15 M. (Nearest integer)

50 / 75

25. The osmotic pressure of a living cell is 12 atm at 300 K. The strength of sodium chloride solution that is isotonic with the living cell at this temperature is ___________ g L^-¹. (Nearest integer)

Given: R = 0.08 L atm K^-¹ mol^-1

Assume complete dissociation of NaCl. (Given: Molar mass of Na and Cl are 23 and 35.5 g mol^-¹ respectively.)

51 / 75

Maths (multiple choice question)

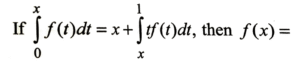
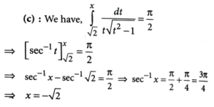
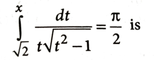
  1. where

 

52 / 75

2. The function f (x) = e^ ax +e^-ax, a > 0 is monotonically increasing for

 

53 / 75

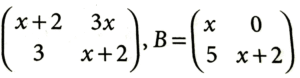
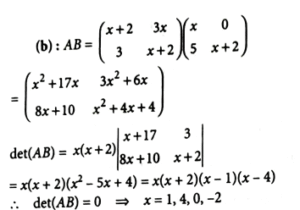
3.Let A =  .  Then all solutions of the equation det (AB) = 0 is

 

54 / 75

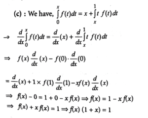
4.

55 / 75

5. The mean and variance of 7 observations are  8 and 16 respectively. If the observations are 2, x, 4, 10, 12, y, 14. Then the value of x - y is

56 / 75

6. 

57 / 75

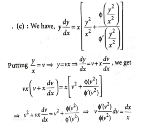
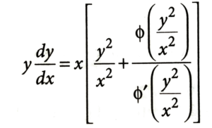
7. The solution of the differential equation

  is (where c is a constant)

 

58 / 75

8. tan 100° + tan125° +tan 100° tan 125°=

59 / 75

9. If the integral ∫  5 tan x/ tan x-2 dx = a ln |sin x -2 cos x|+k, then a is equal to

60 / 75

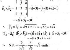
10. The shortest distance between the skew lines r^→ = (i^+2j^+3k^)+ λ (i^+3j^+2k^) and r^→ = (4i^+5j^+6k^) + μ (2i^+3j^+k^) is

61 / 75

11. Let  = a^→ = -i^- k^, b^→ = -i^ +j^ and c^→ = i^ +2j^+3k^ be three given vectors. If r^→ is  a vector such that r^→ × b^→ = c^→ × b^→ and r^→.a^→ = 0, then the value of r^→.b^→ is _____________ .

62 / 75

12. If f (x) = cos (log_e x), then f (x). f(y) -1/2 [f(xy)+f (x/y)] is equal to __________ .

63 / 75

13. ∫ 2^x/ √ 1-4^x dx =

64 / 75

14. Let g(x) = 1 + x - [x], [x] is the greatest integer not greater than x.

If f (x) = {-1, x < 0   0, x = 0, then for all x, f(g(x))  1, x > 0 equals

65 / 75

15.

66 / 75

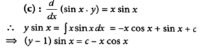
16. If sin x dy/dx + y cos x = x sin x, then (y - 1)  sin x =

67 / 75

17.

68 / 75

18. The solution for x of the equation

69 / 75

19. If z_1, z_2 and z_3 are complex numbers such that  |z-1| = |z_2|= |z_3|= |1/z_1+1/z_2+1/z_3|=1, then |z_1+z_2+z_3|

70 / 75

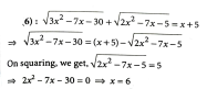
20. If √3x^2-7x -30 + √ 2x^2-7x-5 = x + 5, then x is equal to _______.

71 / 75

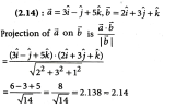
21. The projection of a^→ = 3i^-j^+5k^ on b^→  = 2i^+3j^+k^ is __________ .

72 / 75

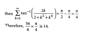
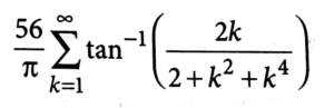
22. The value of  _______ .

73 / 75

23. Out of 800 boys in a school, 224 played cricket, 240 played hockey and 336 played basketball. Of the total, 64 played both basketball and hockey; 80 played cricket and basketball and 40 played cricket and hockey; 24 played all the three games. The number of boys who did not play any game is __________

74 / 75

24. The number of ways in which we can choose 5 letters from the word INTERNATIONAL, is k. Then k/121 is  ______.

75 / 75

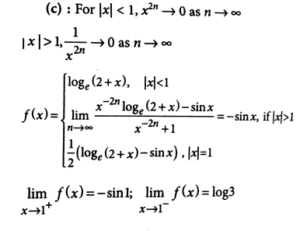
25. The domain of the function f(x) =1/ √|x|-x is

Your score is

The average score is 11%