Username or Email Address
Password
Remember Me Forgot Password?
Log In
Get New Password
Your time starts now
Time out !!!!!
IIT-JEE 2026
FT1 JEE -MATHS
Greetings from LEARN TO LEAD ACADEMY !!!!
The number of attempts remaining is 2
Greetings from LEARN TO LEAD ACADEMY !!!! All the best !!!!!
1 / 25
2 / 25
2. The number of non-empty equivalence relations on the set {1, 2, 3} is
3 / 25
3. Let A = {1, 3, 7, 9, 11} and B = {2, 4, 5, 7, 8, 10, 12}. Then, the total number of one-one maps f : A →B, such that f (1) + f (3) = 14, is
4 / 25
4. Let R = {(1,2), (2,3) (3,3)} be a relation defined on the set {1, 2, 3, 4}. Then the minimum number of elements, needed to be added in R so that R becomes an equivalence relation, is
5 / 25
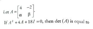
5.
6 / 25
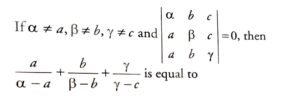
6.
7 / 25
7. Let A be a square matrix such that AA^T = I. Then, 1/2 A [(A+A^T)²+(A-A^T)²] is equal to
8 / 25
8.
9 / 25
9.
10 / 25
10.
11 / 25
11.
12 / 25
12. If the function f(x) = sin 3x + α sin x - β cos 3x/x³ , x ∈ R, is continuous at x = 0, then f(0) is equal to
13 / 25
13. Let f : [-1,2] →R be given by
f(x) = 2x²+x+[x²]-[x], where [t] denotes the greatest integer less than or equal to t. The number of points, where f is not continuous, is
14 / 25
14. Let [x] denote the greatest integer function and let m and n, respectively be the numbers of the points, where the function f(x) = [x] + |x - 2|, -2
15 / 25
15. Let f(x) = |2x² +5|x|-3|, x ∈ R. If m and in denote the number of points where f is not continuous and not differentiable respectively, then m + n is equal to
16 / 25
16. Let f(x) = ∫x³ √3 - x² dx. If 5 f (√2) = -4, then f(1) is equal to
17 / 25
17. For x ∈ (-Π/2, Π/2), if
y (x) = ∫ cosec x + sin x /cosec x sec x + tan x sin²x dx and lim x →(Π/2)^- y (x) = 0, then y (Π/4) is equal to
18 / 25
18. If I (x) = ∫e ^sin² x (cos x sin 2x - sin x ) dx and I(0) =1, then I (Π/3) is equal to
19 / 25
19. The area (in sq. units) of the region described by {(x, y): y² ≤ 2x and y ≥ 4x - 1} is
20 / 25
20. The area (in square units) of the region enclosed by the ellipse x² +3y² = 18 in the first quadrant below
the line y = x is
21 / 25
21. The area bounded by the curve y = |x ² - 9| and the line y = 3 is
22 / 25
22. The area of the region {(x, y) : |x − y |≤ y ≤ 4√x} is
23 / 25
23. The area of the region in the first quadrant inside the circle x²+y² = 8 and outside the parabola y²=2x is equal to
24 / 25
24. The area (in sq units) of the region bounded by the parabola y² =4 (x-2) and the line y = 2x -8, is
25 / 25
25. The area of the region {(x, y): x² ≤ y ≤8-x², y ≤7} is
Your score is
The average score is 12%
LTL Building Wings for Future Generations!
-- Select Program --School ProgramCollege Program
NEETIIT-JEEFoundation Class 4 to 10OlympiadsSpeed MathsSainik Entrance
BANKINGSSC & RAILWAYSCATMATTANCETIELTS / TOEFLGRE/GMAT
WhatsApp us